First-Principle Study of Two-Dimensional SiP2 for Photocatalytic Water Splitting with Ultrahigh Carrier Mobility
Abstract
1. Introduction
2. Computational Methods
3. Results and Discussion
3.1. Structural and Stability Performance
3.2. Band Structure and Carrier Mobility
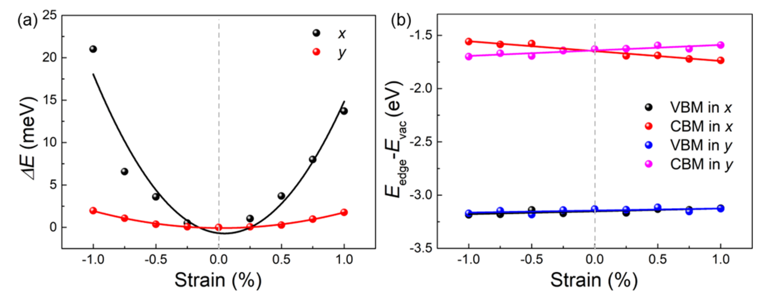
3.3. Hydrogen Evolution Reaction Performance
4. Conclusions
Author Contributions
Funding
Data Availability Statement
Acknowledgments
Conflicts of Interest
References
- Geim, A.K.; Novoselov, K.S. The rise of graphene. Nat. Mater. 2007, 6, 183–191. [Google Scholar] [CrossRef]
- Hou, Y.; Wei, Y.; Yang, D.; Wang, K.; Ren, K.; Zhang, G. Enhancing the Curie Temperature in Cr2Ge2Te6 via Charge Doping: A First-Principles Study. Molecules 2023, 28, 3893. [Google Scholar] [CrossRef]
- Qin, H.; Zhang, G.; Ren, K.; Pei, Q.-X. Thermal Conductivities of PtX2 (X = S, Se, and Te) Monolayers: A Comprehensive Molecular Dynamics Study. J. Phys. Chem. C 2023, 127, 8411–8417. [Google Scholar] [CrossRef]
- Cui, Q.; Ren, K.; Zheng, R.; Zhang, Q.; Yu, L.; Li, J. Tunable thermal properties of the biphenylene and the lateral heterostructure formed with graphene: A molecular dynamics investigation. Front. Phys. 2022, 10, 1085367. [Google Scholar] [CrossRef]
- Ye, H.; Ren, K.; Wang, P.; Wang, L. The investigation of the NH3-SCR performance of a copper-based AEI-CHA intergrown zeolite catalyst. Front. Chem. 2022, 10, 1069824. [Google Scholar] [CrossRef]
- Di Bartolomeo, A. Emerging 2D Materials and Their Van Der Waals Heterostructures. Nanomaterials 2020, 10, 579. [Google Scholar] [CrossRef]
- Ren, K.; Shu, H.; Wang, K.; Qin, H. Two-dimensional MX2Y4 systems: Ultrahigh carrier transport and excellent hydrogen evolution reaction performances. Phys. Chem. Chem. Phys. 2023, 25, 4519–4527. [Google Scholar] [CrossRef]
- Wang, K.; Ren, K.; Hou, Y.; Cheng, Y.; Zhang, G. Physical insights into enhancing magnetic stability of 2D magnets. J. Appl. Phys. 2023, 133, 110902. [Google Scholar] [CrossRef]
- Ren, K.; Ma, X.; Liu, X.; Xu, Y.; Huo, W.; Li, W.; Zhang, G. Prediction of 2D IV–VI semiconductors: Auxetic materials with direct bandgap and strong optical absorption. Nanoscale 2022, 14, 8463–8473. [Google Scholar] [CrossRef]
- Shu, H.; Niu, Y.X.; Guo, J. Electronic structures and optical properties of arsenene and antimonene under strain and an electric field. J. Mater. Chem. 2018, 6, 83–90. [Google Scholar] [CrossRef]
- Peng, Q.; Chao, L.; Wei, J.; De, S. A first-principles study of the mechanical properties of g-GeC. Mech. Mater. 2013, 64, 135–141. [Google Scholar] [CrossRef]
- He, J.; Ding, G.; Zhong, C.; Li, S.; Li, D.; Zhang, G. Remarkably enhanced ferromagnetism in a super-exchange governed Cr2Ge2Te6 monolayer via molecular adsorption. J. Mater. Chem. C 2019, 7, 5084–5093. [Google Scholar] [CrossRef]
- He, J.; Ding, G.; Zhong, C.; Li, S.; Li, D.; Zhang, G. Cr2TiC2-based double MXenes: Novel 2D bipolar antiferromagnetic semiconductor with gate-controllable spin orientation toward antiferromagnetic spintronics. Nanoscale 2018, 11, 356–364. [Google Scholar] [CrossRef] [PubMed]
- Chen, M.; Li, J.; Zhang, J.; Ma, Y.; Dong, H.; Li, W.; Bekyarova, E.; Al-Hadeethi, Y.F.; Chen, L.; Hedhili, M.N.; et al. Evolution of cellulose acetate to monolayer graphene. Carbon 2021, 174, 24–35. [Google Scholar] [CrossRef]
- Xue, F.; Zhang, C.; Ma, Y.; Wen, Y.; He, X.; Yu, B.; Zhang, X. Integrated Memory Devices Based on 2D Materials. Adv. Mater. 2022, 34, 2201880. [Google Scholar] [CrossRef] [PubMed]
- Wang, G.; Zhi, Y.; Bo, M.; Xiao, S.; Li, Y.; Zhao, W.; Li, Y.; Li, Y.; He, Z. 2D Hexagonal Boron Nitride/Cadmium Sulfide Heterostructure as a Promising Water-Splitting Photocatalyst. Phys. Status Solidi 2019, 257, 1900431. [Google Scholar] [CrossRef]
- Wang, G.-Z.; Zhang, L.; Li, Y.; Zhao, W.; Kuang, A.; Li, Y.; Xia, L.; Li, Y.; Xiao, S. Biaxial strain tunable photocatalytic properties of 2D ZnO/GeC heterostructure. J. Phys. D Appl. Phys. 2020, 53, 015104. [Google Scholar] [CrossRef]
- Wang, G.; Li, Z.; Wu, W.; Guo, H.; Chen, C.; Yuan, H.; Yang, S.A. A two-dimensional h-BN/C2N heterostructure as a promising metal-free photocatalyst for overall water-splitting. Phys. Chem. Chem. Phys. 2020, 22, 24446–24454. [Google Scholar] [CrossRef]
- Wang, G.; Gong, L.; Li, Z.; Wang, B.; Zhang, W.; Yuan, B.; Zhou, T.; Long, X.; Kuang, A. A two-dimensional CdO/CdS heterostructure used for visible light photocatalysis. Phys. Chem. Chem. Phys. 2020, 22, 9587–9592. [Google Scholar] [CrossRef]
- Ouyang, Y.; Ling, C.; Chen, Q.; Wang, Z.; Shi, L.; Wang, J. Activating Inert Basal Planes of MoS2 for Hydrogen Evolution Reaction through the Formation of Different Intrinsic Defects. Chem. Mater. 2016, 28, 4390–4396. [Google Scholar] [CrossRef]
- Conley, H.J.; Wang, B.; Ziegler, J.I.; Haglund, R.F., Jr.; Pantelides, S.T.; Bolotin, K.I. Bandgap Engineering of Strained Monolayer and Bilayer MoS2. Nano Lett. 2013, 13, 3626–3630. [Google Scholar] [CrossRef] [PubMed]
- Sun, M.; Chou, J.-P.; Ren, Q.; Zhao, Y.; Yu, J.; Tang, W. Tunable Schottky barrier in van der Waals heterostructures of graphene and g-GaN. Appl. Phys. Lett. 2017, 110, 173105. [Google Scholar] [CrossRef]
- Liu, X.; Zhang, G.; Zhang, Y.-W. Topological Defects at the Graphene/h-BN interface Abnormally Enhance Its Thermal Conductance. Nano Lett. 2016, 16, 4954–4959. [Google Scholar] [CrossRef]
- Fujishima, A.; Honda, K. Electrochemical photocatalysis of water at semiconductor electrode. Nature 1972, 238, 5358. [Google Scholar] [CrossRef]
- Tan, C.; Cao, X.; Wu, X.-J.; He, Q.; Yang, J.; Zhang, X.; Chen, J.; Zhao, W.; Han, S.; Nam, G.-H.; et al. Recent Advances in Ultrathin Two-Dimensional Nanomaterials. Chem. Rev. 2017, 117, 6225–6331. [Google Scholar] [CrossRef] [PubMed]
- Ren, K.; Wang, S.; Luo, Y.; Chou, J.-P.; Yu, J.; Tang, W.; Sun, M. High-efficiency photocatalyst for water splitting: A Janus MoSSe/XN (X = Ga, Al) van der Waals heterostructure. J. Phys. Phys. D. Appl. Phys. 2020, 53, 185504. [Google Scholar] [CrossRef]
- Huang, Z.; Ren, K.; Zheng, R.; Wang, L.; Wang, L. Ultrahigh Carrier Mobility in Two-Dimensional IV–VI Semiconductors for Photocatalytic Water Splitting. Molecules 2023, 28, 4126. [Google Scholar] [CrossRef]
- Zhou, L.; Huang, J.; Windgaetter, L.; Ong, C.S.; Zhao, X.; Zhang, C.; Tang, M.; Li, Z.; Qiu, C.; Latini, S.; et al. Unconventional excitonic states with phonon sidebands in layered silicon diphosphide. Nat. Mater. 2022, 21, 773–778. [Google Scholar] [CrossRef]
- Blöchl, P.E. Projector augmented-wave method. Phys. Rev. B 1994, 50, 17953. [Google Scholar] [CrossRef]
- Capelle, K. A bird’s-eye view of density-functional theory. Braz. J. Phys. 2006, 36, 1318–1343. [Google Scholar] [CrossRef]
- Kresse, G.; Joubert, D. From ultrasoft pseudopotentials to the projector augmented-wave method. Phys. Rev. B 1999, 59, 1758–1775. [Google Scholar] [CrossRef]
- Perdew, J.P.; Burke, K.; Ernzerhof, M. Generalized gradient approximation made simple. Phys. Rev. Lett. 1996, 77, 3865–3868. [Google Scholar] [CrossRef] [PubMed]
- Heyd, J.; Peralta, J.; Scuseria, G.E.; Martin, R.L. Energy band gaps and lattice parameters evaluated with the Heyd-Scuseria-Ernzerhof screened hybrid functional. J. Chem. Phys. 2005, 123, 174101. [Google Scholar] [CrossRef]
- Togo, A.; Tanaka, I. First principles phonon calculations in materials science. Scr. Mater. 2015, 108, 1–5. [Google Scholar] [CrossRef]
- Togo, A.; Oba, F.; Tanaka, I.J.P.R.B. First-principles calculations of the ferroelastic transition between rutile-type and CaCl2-type SiO2 at high pressures. Phys. Rev. B 2008, 78, 134106. [Google Scholar] [CrossRef]
- Zhuang, H.L.; Hennig, R.G. Computational Search for Single-Layer Transition-Metal Dichalcogenide Photocatalysts. J. Phys. Chem. C 2013, 117, 20440–20445. [Google Scholar] [CrossRef]
- Ren, K.; Shu, H.; Huo, W.; Cui, Z.; Yu, J.; Xu, Y. Mechanical, electronic and optical properties of a novel B2P6 monolayer: Ultrahigh carrier mobility and strong optical absorption. Phys. Chem. Chem. Phys. 2021, 23, 24915–24921. [Google Scholar] [CrossRef]
- Zhang, Q.; Ren, K.; Zheng, R.; Huang, Z.; An, Z.; Cui, Z. First-Principles Calculations of Two-Dimensional CdO/HfS2 Van der Waals Heterostructure: Direct Z-Scheme Photocatalytic Water Splitting. Front. Chem. 2022, 10, 879402. [Google Scholar] [CrossRef]
- Li, J.; Huang, Z.; Ke, W.; Yu, J.; Ren, K.; Dong, Z. High solar-to-hydrogen efficiency in Arsenene/GaX (X = S, Se) van der Waals heterostructure for photocatalytic water splitting. J. Alloy. Compd. 2021, 866, 158774. [Google Scholar] [CrossRef]
- Van de Walle, C.G.; Martin, R.M. “Absolute” deformation potentials: Formulation and ab initio calculations for semiconductors. Phys. Rev. Lett. 1989, 62, 2028. [Google Scholar] [CrossRef]
- Qiao, J.; Kong, X.; Hu, Z.-X.; Yang, F.; Ji, W. High-mobility transport anisotropy and linear dichroism in few-layer black phosphorus. Nat. Commun. 2014, 5, 4475. [Google Scholar] [CrossRef] [PubMed]
- Ren, K.; Yan, Y.; Zhang, Z.; Sun, M.; Schwingenschlögl, U. A family of LixBy monolayers with a wide spectrum of potential applications. Appl. Surf. Sci. 2022, 604, 154317. [Google Scholar] [CrossRef]
- Dai, J.; Zeng, X.C. Titanium Trisulfide Monolayer: Theoretical Prediction of a New Direct-Gap Semiconductor with High and Anisotropic Carrier Mobility. Angew. Chem. Int. Ed. 2015, 54, 7572–7576. [Google Scholar] [CrossRef] [PubMed]
- Luo, Y.; Ren, C.; Xu, Y.; Yu, J.; Wang, S.; Sun, M. A first principles investigation on the structural, mechanical, electronic, and catalytic properties of biphenylene. Sci. Rep. 2021, 11, 19008. [Google Scholar] [CrossRef]






| Material | Direction | Carrier | m* (me) | Ei (eV) | C (N/m) | μ (cm2·V−1·s−1) |
|---|---|---|---|---|---|---|
| SiP2 | x | e− | 0.138 | 2.600 | 454 | 14,254 |
| h+ | –2.807 | 0.930 | 1926 | |||
| y | e− | 1.713 | 0.190 | 70 | 33,153 | |
| h+ | –0.681 | 0.520 | 3915 |
Disclaimer/Publisher’s Note: The statements, opinions and data contained in all publications are solely those of the individual author(s) and contributor(s) and not of MDPI and/or the editor(s). MDPI and/or the editor(s) disclaim responsibility for any injury to people or property resulting from any ideas, methods, instructions or products referred to in the content. |
© 2023 by the authors. Licensee MDPI, Basel, Switzerland. This article is an open access article distributed under the terms and conditions of the Creative Commons Attribution (CC BY) license (https://creativecommons.org/licenses/by/4.0/).
Share and Cite
Li, J.; Pan, H.; Sun, H.; Zheng, R.; Ren, K. First-Principle Study of Two-Dimensional SiP2 for Photocatalytic Water Splitting with Ultrahigh Carrier Mobility. Crystals 2023, 13, 981. https://doi.org/10.3390/cryst13060981
Li J, Pan H, Sun H, Zheng R, Ren K. First-Principle Study of Two-Dimensional SiP2 for Photocatalytic Water Splitting with Ultrahigh Carrier Mobility. Crystals. 2023; 13(6):981. https://doi.org/10.3390/cryst13060981
Chicago/Turabian StyleLi, Jianping, Hao Pan, Haiyang Sun, Ruxin Zheng, and Kai Ren. 2023. "First-Principle Study of Two-Dimensional SiP2 for Photocatalytic Water Splitting with Ultrahigh Carrier Mobility" Crystals 13, no. 6: 981. https://doi.org/10.3390/cryst13060981
APA StyleLi, J., Pan, H., Sun, H., Zheng, R., & Ren, K. (2023). First-Principle Study of Two-Dimensional SiP2 for Photocatalytic Water Splitting with Ultrahigh Carrier Mobility. Crystals, 13(6), 981. https://doi.org/10.3390/cryst13060981

