Crystal Structure Analysis and Characterization of NADP-Dependent Glutamate Dehydrogenase with Alcohols Activity from Geotrichum candidum
Abstract
1. Introduction
2. Materials and Methods
2.1. Microorganisms and Materials
2.2. Expression and Purification of GcGDH
2.3. Crystallization
2.4. Data Collection
2.5. Structure Determination
2.6. Determination of Enzyme Activity and Kinetic Parameters
2.7. Mutagenesis
2.8. Reaction with Hexanol and Isoamyl Alcohol as Substrates
3. Results and Discussion
3.1. Gene Cloning and Sequence Analysis
3.2. Expression and Purification of GcGDH
3.3. Data Collection and Structural Determination of GcGDH
3.4. Comparative Analysis of GcGDH
3.5. Substrate Specificity and Metal Ion Influence
3.6. Effects of pH and Temperature on the Enzyme Activity
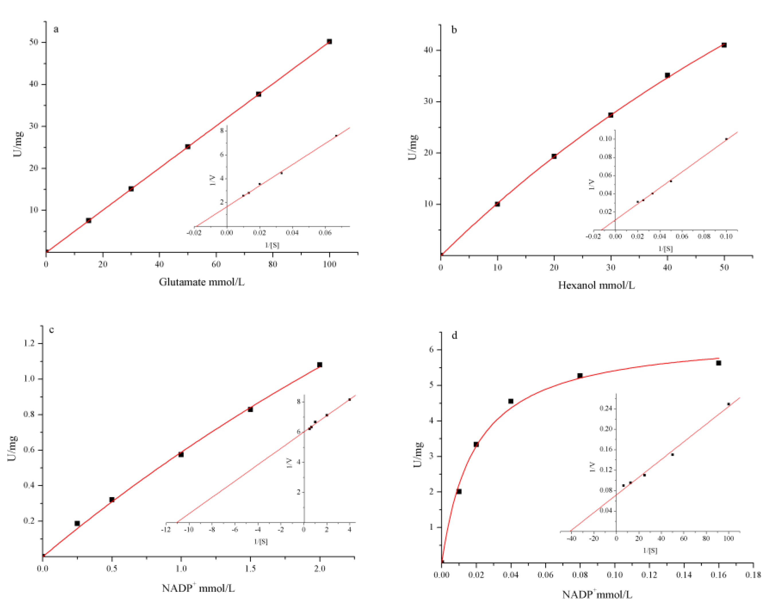
3.7. Kinetic Parameters
3.8. Construction of Lys 113 Mutants
3.9. Products of Hexanol and Isoamyl Alcohol Enzymatic Conversion
Supplementary Materials
Author Contributions
Funding
Data Availability Statement
Conflicts of Interest
References
- Soares, C.; das Ros, L.U.; da Rocha, A.S.; Machado, L.S.; Bellaver, B.; Zimmer, E.R. The glutamatergic system in alzheimer’s disease: A systematic review with meta-analysis. Alzheimer’s Dement. 2022, 18, e064821. [Google Scholar] [CrossRef]
- Kim, D.-H.; Choi, Y.; Park, S.-S.; Kim, S.-Y.; Han, M.J. Attenuating effect ofLactobacillus brevisG101 on the MSG symptom complex in a double-blind, placebo-controlled study. Nutr. Res. Pract. 2015, 9, 673–676. [Google Scholar] [CrossRef]
- Ferraro, G.; D’angelo, M.; Sulpice, R.; Stitt, M.; Valle, E.M. Reduced levels of NADH-dependent glutamate dehydrogenase decrease the glutamate content of ripe tomato fruit but have no effect on green fruit or leaves. J. Exp. Bot. 2015, 66, 3381–3389. [Google Scholar] [CrossRef]
- Qu, Y.; Meng, Y.; Zhang, C.; Ren, Y.; Dong, G.; Chen, W. Cloning, expression and bioinformatics analysis of glutamate dehydrogenase cDNA from Bacillus subtilis natto. J. Shanxi Norm. Univ. (Nat. Sci. Ed.) 2017, 45, 82–86. [Google Scholar] [CrossRef]
- Hudson, R.C.; Daniel, R.M. l-glutamate dehydrogenases: Distribution, properties and mechanism. Comp. Biochem. Physiol. Part B Comp. Biochem. 1993, 106, 767–792. [Google Scholar] [CrossRef] [PubMed]
- Zhang, J.; Shi, J.; Lv, H.; Liu, Y. Induction of hexanol dehydrogenase in Geotrichum spp. by the addition of hexanol. Appl. Microbiol. Biotechnol. 2012, 97, 1279–1287. [Google Scholar] [CrossRef] [PubMed]
- Zhu, J.; Lu, K.; Xu, X.; Wang, X.; Shi, J. Purification and characterization of a novel glutamate dehydrogenase from Geotrichum candidum with higher alcohol and amino acid activity. AMB Express 2017, 7, 9. [Google Scholar] [CrossRef] [PubMed]
- Styger, G.; Jacobson, D.; Bauer, F.F. Identifying genes that impact on aroma profiles produced by Saccharomyces cerevisiae and the production of higher alcohols. Appl. Microbiol. Biotechnol. 2011, 91, 713–730. [Google Scholar] [CrossRef] [PubMed]
- Alberdi-Cedeño, J.; Ibargoitia, M.L.; Guillén, M.D. Monitoring of minor compounds in corn oil oxidation by direct immersion-solid phase microextraction-gas chromatography/mass spectrometry. New oil oxidation markers. Food Chem. 2019, 290, 286–294. [Google Scholar] [CrossRef]
- Veenstra, G.; Webb, C.; Sanderson, H.; Belanger, S.E.; Fisk, P.; Nielsen, A.; Kasai, Y.; Willing, A.; Dyer, S.; Penney, D.; et al. Human health risk assessment of long chain alcohols. Ecotoxicol. Environ. Saf. 2009, 72, 1016–1030. [Google Scholar] [CrossRef]
- Zheng, N.; Jiang, S.; He, Y.; Chen, Y.; Zhang, C.; Guo, X.; Ma, L.; Xiao, D. Production of low-alcohol Huangjiu with improved acidity and reduced levels of higher alcohols by fermentation with scarless ALD6 overexpression yeast. Food Chem. 2020, 321, 126691. [Google Scholar] [CrossRef] [PubMed]
- Munir, I.; Swati, Z.A.; Rashid, M.H.; Yamaji, R.; Inui, H.; Nakano, Y. Separation and Properties of Two Novel NADP+-dependent Alcohol Dehydrogenases from Euglena gracilis. Z. Pak. J. Biol. Sci. 2006, 9, 2743–2747. [Google Scholar] [CrossRef]
- Xu, W.S.; Jiang, Z.Y.; Wu, H. Progress in Structure and Kinetic Mechanism of Alcohol Dehydrogenase. Chin. J. Org. Chem. 2005, 25, 629–633. [Google Scholar] [CrossRef]
- Totir, M.; Echols, N.; Nanao, M.; Gee, C.; Moskaleva, A.; Gradia, S.; Iavarone, A.T.; Berger, J.M.; May, A.P.; Zubieta, C.; et al. Macro-to-Micro Structural Proteomics: Native Source Proteins for High-Throughput Crystallization. PLoS ONE 2012, 7, e32498. [Google Scholar] [CrossRef]
- Contesini, F.J.; De Alencar Figueira, J.; Kawaguti, H.Y.; De Barros Fernandes, P.C.; De Oliveira Carvalho, P.; Da Graça Nascimento, M.; Sato, H.H. Potential Applications of Carbohydrases Immobilization in the Food Industry. Int. J. Mol. Sci. 2013, 14, 1335–1369. [Google Scholar] [CrossRef]
- Sharkey, M.A.; Oliveira, T.F.; Engel, P.C.; Khan, A.R. Structure of NADP+-dependent glutamate dehydrogenase from Escherichia coli—Reflections on the basis of coenzyme specificity in the family of glutamate dehydrogenases. FEBS J. 2013, 280, 4681–4692. [Google Scholar] [CrossRef] [PubMed]
- Son, H.F.; Kim, I.-K.; Kim, K.-J. Structural insights into domain movement and cofactor specificity of glutamate dehydrogenase from Corynebacterium glutamicum. Biochem. Biophys. Res. Commun. 2015, 459, 387–392. [Google Scholar] [CrossRef]
- Smith, T.J.; E Peterson, P.; Schmidt, T.; Fang, J.; A Stanley, C. Structures of bovine glutamate dehydrogenase complexes elucidate the mechanism of purine regulation. J. Mol. Biol. 2001, 307, 707–720. [Google Scholar] [CrossRef]
- Bhuiya, M.W.; Sakuraba, H.; Ohshima, T.; Imagawa, T.; Katunuma, N.; Tsuge, H. The First Crystal Structure of Hyperthermostable NAD-dependent Glutamate Dehydrogenase from Pyrobaculum islandicum. J. Mol. Biol. 2005, 345, 325–337. [Google Scholar] [CrossRef]
- Prakash, P.; Punekar, N.S.; Bhaumik, P. Structural basis for the catalytic mechanism and α-ketoglutarate cooperativity of glutamate dehydrogenase. J. Biol. Chem. 2018, 293, 6241–6258. [Google Scholar] [CrossRef]
- Morais-Júnior, M.-A.D. The NADP+-dependent glutamate dehydrogenase of the yeast Kluyveromyces marxianus responds to nitrogen repression similarly to Saccharomyces cerevisiae. Brazi. J. Microbiol. 2003, 34, 334–338. [Google Scholar] [CrossRef]
- Wang, Q.-S.; Zhang, K.-H.; Cui, Y.; Wang, Z.-J.; Pan, Q.-Y.; Liu, K.; Sun, B.; Zhou, H.; Li, M.-J.; Xu, Q.; et al. Upgrade of macromolecular crystallography beamline BL17U1 at SSRF. Nucl. Sci. Tech. 2018, 29, 68. [Google Scholar] [CrossRef]
- Vonrhein, C.; Flensburg, C.; Keller, P.; Sharff, A.; Smart, O.; Paciorek, W.; Womack, T.; Bricogne, G. Data processing and analysis with the autoPROCtoolbox. Acta Crystallogr. Sect. D Biol. Crystallogr. 2011, 67, 293–302. [Google Scholar] [CrossRef] [PubMed]
- Evans, P.R.; Murshudov, G.N. How good are my data and what is the resolution? Acta Crystallogr. Sect. D Biol. Crystallogr. 2013, 69, 1204–1214. [Google Scholar] [CrossRef] [PubMed]
- Sammito, M.; Millán, C.; Frieske, D.; Rodríguez-Freire, E.; Borges, R.J.; Usón, I. ARCIMBOLDO_LITE: Single-workstation implementation and use. Acta Crystallogr. Sect. D Biol. Crystallogr. 2015, 71, 1921–1930. [Google Scholar] [CrossRef] [PubMed]
- Adams, P.D.; Afonine, P.V.; Bunkóczi, G.; Chen, V.B.; Davis, I.W.; Echols, N.; Headd, J.J.; Hung, L.-W.; Kapral, G.J.; Grosse-Kunstleve, R.W.; et al. PHENIX: A comprehensive Python-based system for macromolecular structure solution. Acta Crystallogr. Sect. D Biol. Crystallogr. 2010, 66, 213–221. [Google Scholar] [CrossRef] [PubMed]
- Chen, V.B.; Arendall, W.B., III; Headd, J.J.; Keedy, D.A.; Immormino, R.M.; Kapral, G.J.; Murray, L.W.; Richardson, J.S.; Richardson, D.C. MolProbity: All-atom structure validation for macromolecular crystallography. Acta Crystallogr. D Biol. Crystallogr. 2010, 66, 12–21. [Google Scholar] [CrossRef]
- Zhu, J.; Shi, J.; Pan, Z. Purification and Characterization of a Hexanol-Degrading Enzyme Extracted from Apple. J. Agric. Food Chem. 2012, 60, 3246–3252. [Google Scholar] [CrossRef]
- Choudhury, R.; Punekar, N. Aspergillus terreus NADP-glutamate dehydrogenase is kinetically distinct from the allosteric enzyme of other Aspergilli. Mycol. Res. 2009, 113, 1121–1126. [Google Scholar] [CrossRef] [PubMed]
- Thompson, J.D.; Gibson, T.J.; Plewniak, F.; Jeanmougin, F.; Higgins, D.G. The CLUSTAL_X windows interface: Flexible strategies for multiple sequence alignment aided by quality analysis tools. Nucleic Acids Res. 1997, 25, 4876–4882. [Google Scholar] [CrossRef]
- Tamura, K.; Dudley, J.; Nei, M.; Kumar, S. MEGA4: Molecular Evolutionary Genetics Analysis (MEGA) Software Version 4.0. Mol. Biol. Evol. 2007, 24, 1596–1599. [Google Scholar] [CrossRef] [PubMed]
- Tomita, T.; Yin, L.; Nakamura, S.; Kosono, S.; Kuzuyama, T.; Nishiyama, M. Crystal structure of the 2-iminoglutarate-bound complex of glutamate dehydrogenase from Corynebacterium glutamicum. FEBS Lett. 2017, 591, 1611–1622. [Google Scholar] [CrossRef]
- Geng, F.; Ma, C.-W.; Zeng, A.-P. Reengineering substrate specificity of E. coli glutamate dehydrogenase using a position-based prediction method. Biotechnol. Lett. 2017, 39, 599–605. [Google Scholar] [CrossRef] [PubMed]
- Ni, Y.; Wang, J.; Qian, B.; Song, G.; Yao, X.; Zhang, J.-H. Purification and Side Chain Selective Chemical Modifications of Glutamate Dehydrogenase from Bacillus subtilis Natto. Appl. Biochem. Biotechnol. 2014, 172, 3593–3605. [Google Scholar] [CrossRef] [PubMed]
- Gosling, A.; Zachariou, M.; Straffon, M. Purification and characterisation of a 4-hydroxy benzaldehyde dehydrogenase cloned from Acinetobacter baylyi. Enzym. Microb. Technol. 2008, 43, 417–422. [Google Scholar] [CrossRef]
- Fredua-Agyeman, R.; Abdel-Megeed, A.; Mueller, R. Erratum to: Purification and biochemical characterization of recombinant alcohol dehydrogenase from the psychrophilic bacterium Pseudomonas frederiksbergensis. J. Polym. Environ. 2011, 19, 818. [Google Scholar] [CrossRef]
- Ding, H.-T.; Du, Y.-Q.; Liu, D.-F.; Li, Z.-L.; Chen, X.-J.; Zhao, Y.-H. Cloning and expression in E. coli of an organic solvent-tolerant and alkali-resistant glucose 1-dehydrogenase from Lysinibacillus sphaericus G10. Bioresour. Technol. 2011, 102, 1528–1536. [Google Scholar] [CrossRef]
- Munawar, N.; Engel, P.C. Overexpression in a non-native halophilic host and biotechnological potential of NAD+-dependent glutamate dehydrogenase from Halobacterium salinarum strain NRC-36014. Extremophiles 2012, 16, 463–476. [Google Scholar] [CrossRef]
- Yahyaoui, F.E.L.; Wongs-Aree, C.; Latché, A.; Hackett, R.; Grierson, D.; Pech, J.-C. Molecular and biochemical characteristics of a gene encoding an alcohol acyl-transferase involved in the generation of aroma volatile esters during melon ripening. JBIC J. Biol. Inorg. Chem. 2002, 269, 2359–2366. [Google Scholar] [CrossRef]
- Koenig, K.; Andreesen, J.R. Molybdenum Involvement in Aerobic Degradation of 2-Furoic Acid by Pseudomonas putida Fu1. Appl. Environ. Microbiol. 1989, 55, 1829–1834. [Google Scholar] [CrossRef]
- Zarnt, G.; Schräder, T.; Andreesen, J.R. Degradation of tetrahydrofurfuryl alcohol by Ralstonia eutropha is initiated by an inducible pyrroloquinoline quinone-dependent alcohol dehydrogenase. Appl. Environ. Microbiol. 1997, 63, 4891–4898. [Google Scholar] [CrossRef] [PubMed]
- Geerlof, A.; Rakels, J.J.L.; Straathof, A.J.J.; Heijnen, J.J.; Jongejan, J.A.; Duine, J.A. Description of the Kinetic Mechanism and the Enantioselectivity of Quinohaemoprotein Ethanol Dehydrogenase from Comamonas testosteroni in the Oxidation of Alcohols and Aldehydes. JBIC J. Biol. Inorg. Chem. 1994, 226, 537–546. [Google Scholar] [CrossRef] [PubMed]











| GcGDH | |
|---|---|
| Data collection | |
| Space group | P212121 |
| Unit-cell parameters (Å,°) | a = 177.611, b = 190.185, c = 202.552, α = 90°, β = 90°, γ = 90° |
| Number of reflections | 291,687 |
| Wavelength (Å) | 0.97915 |
| Resolution (Å) | 202.56-2.3059 (2.43–2.31) |
| Rmerge (%) | 21.2 (98.4) |
| I/σ(I) (last shell) | 1.75 (at 2.29 Å) |
| Completeness (%) | 97.3 (100) |
| Multiplicity (%) | 14.3 (14.5) |
| Bond lengths (Å) | 0.014 |
| Bond angles (°) | 1.509 |
| Refinement | |
| Resolution (Å) | 95.093–2.306 |
| Rwork/Rfree (%) | 27.35/32.07 |
| Bond lengths (Å) | 0.010 |
| Bond angles (°) | 1.185 |
| Ramachandran plot statistics (%) | |
| Favored/Allowed | 89.64/7.12 |
| Outliers | 3.24 |
| Error estimates | |
| Coordinate error (maximum-likelihood based) | 0.40 |
| Phase error (degrees, maximum-likelihood based) | 33.31 |
| Substrate | GDH Purified from pET-28as-GDH (%) Relative Activity a |
|---|---|
| Methanol | - |
| Ethanol | - |
| 1-propanol | - |
| 1-butanol | - |
| Isobutanol | - |
| Hexanol | 100 |
| Isoamyl alcohol | 21.39 ± 2.20 a |
| MSG | 100 |
| α-ketoglutarate | 140.19 ± 1.37 |
Disclaimer/Publisher’s Note: The statements, opinions and data contained in all publications are solely those of the individual author(s) and contributor(s) and not of MDPI and/or the editor(s). MDPI and/or the editor(s) disclaim responsibility for any injury to people or property resulting from any ideas, methods, instructions or products referred to in the content. |
© 2023 by the authors. Licensee MDPI, Basel, Switzerland. This article is an open access article distributed under the terms and conditions of the Creative Commons Attribution (CC BY) license (https://creativecommons.org/licenses/by/4.0/).
Share and Cite
Zhu, J.; Hou, H.; Li, K.; Xu, X.; Jiang, C.; Shao, D.; Shi, J.; Yin, D. Crystal Structure Analysis and Characterization of NADP-Dependent Glutamate Dehydrogenase with Alcohols Activity from Geotrichum candidum. Crystals 2023, 13, 980. https://doi.org/10.3390/cryst13060980
Zhu J, Hou H, Li K, Xu X, Jiang C, Shao D, Shi J, Yin D. Crystal Structure Analysis and Characterization of NADP-Dependent Glutamate Dehydrogenase with Alcohols Activity from Geotrichum candidum. Crystals. 2023; 13(6):980. https://doi.org/10.3390/cryst13060980
Chicago/Turabian StyleZhu, Jing, Hai Hou, Kun Li, Xiaoguang Xu, Chunmei Jiang, Dongyan Shao, Junling Shi, and Dachuan Yin. 2023. "Crystal Structure Analysis and Characterization of NADP-Dependent Glutamate Dehydrogenase with Alcohols Activity from Geotrichum candidum" Crystals 13, no. 6: 980. https://doi.org/10.3390/cryst13060980
APA StyleZhu, J., Hou, H., Li, K., Xu, X., Jiang, C., Shao, D., Shi, J., & Yin, D. (2023). Crystal Structure Analysis and Characterization of NADP-Dependent Glutamate Dehydrogenase with Alcohols Activity from Geotrichum candidum. Crystals, 13(6), 980. https://doi.org/10.3390/cryst13060980

