Abstract
Based on the principles of mass conservation, chemical equilibrium, and electron charge neutrality, a thermodynamic equilibrium system was established for the nickel-cobalt-manganese sulfate leaching solution in the recovery process of spent lithium-ion batteries. By changing the ion concentration in the system, calculating the pH value, and identifying the complexes of Cu2+, Fe3+, PO43−, Al3+, and F− in the system, the results were obtained and used to draw the thermodynamic diagram. The solution thermodynamic calculation and experiment were combined to purify the nickel-cobalt-manganese-rich leachate. The results show that the main Cu2+, Fe3+, PO43−, Al3+, and F− impurity ions could all be reduced to less than 10 ppm under the optimized process parameters.
1. Introduction
In the Li-ion battery recycling industry, the waste lithium-ion battery black powder obtained by mechanical crushing and sorting process is often mixed with a small amount of Fe scraps, Cu scraps, Al scraps, and electrolytes containing Li salt, such as LiPF6, which reacts with the leaching agent in the leaching process and enter the leaching solution in the form of ions []. If the corresponding impurity removal treatment is not carried out, the presence of these impurity ions will affect the purity and performance of subsequently recovered products [,].
At present, the commonly used methods for iron removal from leaching solution in industrial production mainly include the goethite method, jarosite method, and Fe(OH)3 hydrolysis method [,,,]. The advantage of the goethite method is that it can remove large particles of iron slag and has a low metal content in the impurity removal slag, but the concentration of Fe3+ should be strictly controlled to be less than 1 g/L in the process of iron precipitation, and goethite crystal seeds must be added to the liquid to be removed in advance []. The mechanism of iron removal using the jarosite method is shown in Equation (1). The jarosite method produces a large amount of slag, but the concentration of Fe3+ in the leaching solution of waste lithium-ion batteries is relatively low, generally at 2–3 g/L, and H2SO4 is often used as the leaching agent in industrial production to ensure the leaching solution contains a large amount of SO42−; in addition, because NaOH is used to adjust the pH of the leaching solution, no additional Na2SO4 is required. It is worth noting that H+ can be produced in the process of depositing iron, so it is necessary to periodically add NaOH to adjust the pH of the solution to stabilize it between 1.5 and 1.8, and the removal rate of Fe is above 99.5% []. The Fe(OH)3 hydrolysis method is based on the property that Fe3+ is easily hydrolyzed into Fe(OH)3 precipitation to settle iron, and adjusts the pH of the leaching solution to 3.53. At 25 ℃, the Fe3+ concentration in the leaching solution can be reduced to 10−6 mol/L. However, Fe(OH)3 often exists in the leaching solution in an amorphous colloidal form, making it difficult to filter, and the generated colloidal Fe(OH)3 will absorb a certain amount of other metal ions such as Ni2+ and Co2+, resulting in the loss of the target metal ions [,].
3Fe2(SO4)3 + 12H2O + Na2SO4 ⇌ Na2Fe6(SO4)4(OH)12 + 6H2SO4
The Al3+ impurity ions can be removed by simply adjusting the pH. When the pH of the leaching solution is adjusted to >5, the Al3+ in the solution is precipitated in the form of Al(OH)3, and the removal rate of Al3+ can reach 99.8% []. However, Ni2+ in the leach solution of waste lithium-ion batteries starts to precipitate when the pH is about 7, so it is necessary to control the pH of the leach solution between 4.5 and 5, in which case a Al3+ removal rate of more than 98% can be achieved [,]. The main methods used to remove Cu2+ from the leaching solution include extraction [,], Fe powder replacement [], and Na2S2O3 []. M5640 is the commonly used extraction agent for copper extraction. Yang et al. [] used M5640 to extract copper from a solution containing Ni2+ and Co2+. Under the best conditions, the extraction rate of copper ions was higher than 99.8%. Extractive copper removal has the advantage of high purity, but the extractant is expensive and the extractant itself has certain toxicity, which may cause secondary environmental pollution. Based on this, Li et al. [] used the Fe powder replacement method to remove copper from a leach solution containing Ni, Co, and Mn plasma. Under the best conditions, the concentration of Cu2+ in the leach solution could be reduced to 0.175 ppm at the lowest. The removal of copper by Fe powder replacement avoids the introduction of organic extractant, but after the removal of copper, Fe2+ is introduced into the liquid, which needs to be further oxidized into Fe3+ for removal, which increases the workload of purification and impurity removal. Compared with the above two methods of removing Cu, the Na2S2O3 method has more potential for industrial large-scale application; the principle applied is that in a neutral or acidic environment, Na2S2O3 and Cu2+ can undergo complexation, heating the solution, and Cu2+ precipitates in the form of CuS (Equation (2)). However, other ions such as Ni2+, Co2+, and Mn2+ do not have this ability, thus causing the problem of Cu separation. Hu et al. [] used Na2S2O3 to remove copper from a solution containing Ni2+. Under optimal conditions, the removal rate of Cu was above 98%, while the loss rate of Ni was below 1%.
Na2S2O3 + Cu2+ + H2O ⇌ CuS + H2SO4 + 2Na+
For the removal of nonmetallic F and P impurity ions in the leaching solution, no relevant reports could be found, but the experience of removing F in zinc electrolyte can be used for reference. The pH of the leaching solution can be adjusted to between 5 and 7, and then insoluble alkali metal oxides or rare earth carbonate (La, Ce, etc.) can be added to achieve the purpose of deep removal of F [,]. Since both AlPO4 and FePO4 are in the form of precipitates, Al, Fe, and P can be removed at the same time by controlling the pH of the leach solution. Ping et al. [] use iron salts for phosphorus removal. Under the condition of a system pH value of 4.7 and Fe/P = 2, P was precipitated and removed in the form of FePO4. Based on the above analysis, F− and PO42− in the leaching solution of waste lithium-ion batteries can be removed by coprecipitation reaction with Al3+ and Fe3+, respectively.
Based on the existing literature and related reports, this study proposed the idea of purifying the enrichment solution by first removing copper in the form of Cu2S and then removing other impurity ions. Adopting this method can not only achieve a better copper removal effect, but also avoid the loss of major metals during the impurity removal process. Compared with the iron powder replacement method, this method can avoid introducing other difficult-to-treat impurity ions into the solution. The thermodynamic calculation of aqueous solution can not only help to understand the mechanism of the reaction process, but also narrow the range of experimental conditions.
2. Experimental
This section proposes the construction of a Li+-Ni2+-Co2+-Mn2+-Cu2+-S2−-H2O (298 K), Li+-Ni2+-Co2+-Mn2+-Fe3+-Al3+-F−-PO43−-H2O (298 K), Li+-Ni2+-Co2+-Mn2+-Al3+-F−-H2O (298 K), and Li+-Ni2+-Co2+-Mn2+-F−-H2O (298 K) solution thermodynamic equilibrium system. The possible types of ions, complexes, precipitates, and reaction equilibria in each solution system are shown in Tables S1–S3, respectively. The corresponding ion concentrations in the initial solution system are shown in Table 1, and the ion concentrations obtained at each impurity removal stage are shown in Table 2. The theoretical conditions of Cu2+, Fe3+, PO43−, Al3+, and F− were calculated to guide the subsequent optimization experiments.

Table 1.
The types and concentrations of main ions in the Ni-Co-Mn-rich solution before purification.

Table 2.
Change in ion concentrations in the solution (uniformly converted to 200 mL initial solution volume) after purification and impurity removal at each step.
In the experiment, a magnetic stirring water bath was used for precipitation and impurity removal experiments. ICP = OES detection technology was used to detect the concentration of solution ions in different impurity removal stages, and the impurity ion removal rate was calculated. The relevant formula is shown in (3).
- η: the removal rate of impurity ions;
- c0: the initial concentration of impurity ions in the leaching solution;
- V0: the corresponding initial volume of the leaching solution in a single impurity removal experiment;
- c1: the concentration of impurity ions in the solution after impurity removal;
- V1: the solution volume of the solution after impurity removal.
2.1. Removal of Cu2+ by Na2S2O3
Figure 1 shows the variation trend of impurity ion and main metal ion concentrations with the pH value of the Li+-Ni2+-Co2+-Mn2+-Cu2+-S2−-H2O (298 K) system. Figure 1 shows that when n(S2−) = n(Cu2+) and the pH of the solution is 0, the residual Cu2+ and the molar concentration of S2− in the solution can be reduced to 10−7.5 mol/L. At this time, the Cu2+ and S2− in the solution are completely transformed into a CuS precipitation. When the pH value of the solution ranges from 0 to 6.8, Cu2+ exists in the slag in the form of CuS precipitation, while Ni, Co, and Mn are free in the solution in the form of ions. When the pH value of the solution is higher than 6.8, the concentration of nickel, cobalt, and manganese ions in the solution drops sharply, while the concentration of lithium ions remains unchanged. Combined with the results of Figure S1b–e, it can be seen that lithium in the solution mainly exists in the form of Li+ and LiSO4−, while Ni2+, Co2+, and Mn2+ in the solution begin to transform into their respective hydroxides and enter the slag phase.

Figure 1.
Variation trend of impurity ion and main metal ion concentrations with the pH value of Li+-Ni2+-Co2+-Mn2+-Cu2+-S2−-H2O (298 K) system when n(S2−) = n (Cu2+).
Based on the above analysis, it can be seen that Cu2+ can be effectively separated from Ni2+, Co2+, and Mn2+ by Cu removal in the form of CuS at a solution temperature of 25 ℃ at pH ≈ 1, and Ni2+, Co2+, and Mn2+ do not precipitate. However, the direct addition of S2− containing compounds in acidic environments tends to produce polluting H2S gases, requiring additional gas collection devices. Therefore, this paper proposes to use Na2S2O3 as the sulfur source of the copper removal agent. In the reaction mechanism, Na2S2O3 first combines with Cu2+ in the solution to form CuS2O3, and the unstable CuS2O3 is further decomposed into CuS in the hot solution, thus achieving the purpose of removing the copper impurity in the solution. The total reaction equation is shown in Equation (3).
Na2S2O3 + Cu2++H2O ⇌ CuS + H2SO4 + 2Na+
In the process of copper removal with Na2S2O3, the precipitation of NiS, CoS, and MnS can be avoided by controlling the acidity of the solution and the amount of Na2S2O3, to achieve the purpose of separation from copper ions.
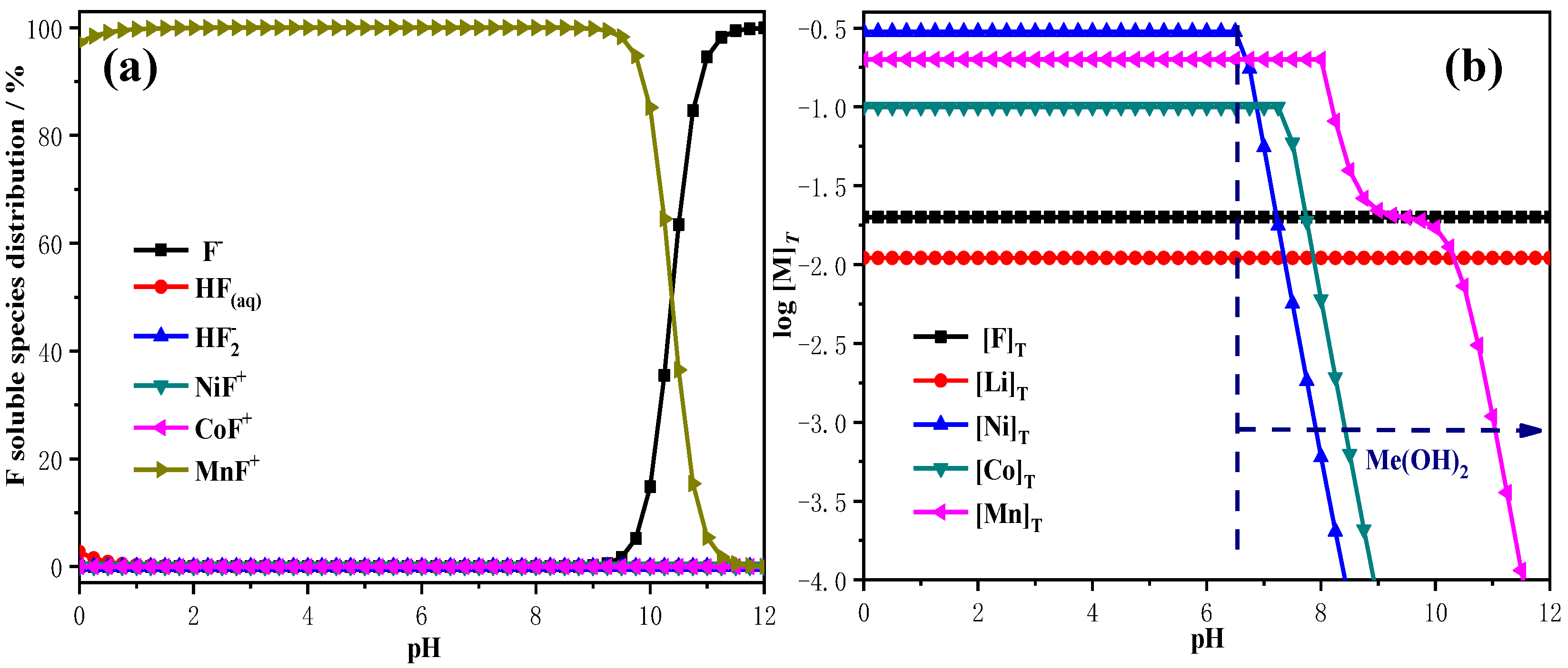
2.2. Removal of Fe3+ and PO43−
Figure 2 presents the concentration of main metal ions and the change in the concentration of impurity ions with the change in the pH value of the Li+-Ni2+-Co2+-Mn2+-Fe3+-Al3+-F−-PO43−-H2O (298 K) system. Figure S2b,d reveal that when pH ≈ 1.8, the concentration of [Fe]T begins to decline, and Fe3+ in the leaching solution begins to precipitate in the form of Fe(OH)3, while the concentration of other impurity elements does not change. When the pH of the leaching solution is ≈2.0, the concentration of [P]T shows a decreasing trend. According to the analysis in Figure S2a,c,e,f, it can be seen that PO43− in the solution begins to combine with Al3+ to generate AlPO4 precipitation. When the pH of the leaching solution rises to 2.5, the residual concentration of [Fe]T and [P]T in the solution can be reduced to less than 10−5 mol/L, which can be considered as complete precipitation. When the pH of the leaching solution increases to about 3.5, the concentration of [Al]T begins to drop sharply, and the residual Al3+ in the solution begins to precipitate in the form of Al(OH)3. When the pH is about 4.3, the [Al]T in the solution drops below 10−5 mol/L, which could be considered complete precipitation. When the pH of the leaching solution is ≥6.8, Ni, Co, and Mn in the solution are precipitated successively, while lithium and fluorine (Figure S2g,h) still exist in the solution in the form of ions. Combined with Figure S2b,c,f, it can be seen that when the pH range is between 2.5 and 3.5, the iron and phosphorus in the solution enter the slag phase in the form of Fe(OH)3(s) and AlPO4(s) precipitation. The molar mass fraction of Fe(OH)3(s) and AlPO4(s) is close to 100% compared with [Fe]T and [P]T. In the pH range of 3.5~4.5, the slag phase is mainly composed of Fe(OH)3, Al(OH)3, and AlPO4, among which the AlPO4 precipitates will reverse dissolve, so that the phosphorus in the solution exists as H2PO4−. With increasing pH, AlPO4 further reverse dissolves into Co3(PO4)2 and Al(OH)3 and re-enters the slag phase, resulting in the loss of Co.

Figure 2.
The change in the concentration of main metal ions and the concentration of impurity ions with the change in the pH value of the Li+-Ni2+-Co2+-Mn2+-Fe3+-Al3+-F−-PO43−-H2O (298 K) system.
Based on the above analysis, it can be seen that the simultaneous removal of iron and phosphorus can be achieved by simply adjusting the pH of the solution. To ensure the efficient removal of iron and phosphorus and reduce the loss of main metal ions, the simultaneous removal of iron and phosphorus can be controlled within the pH range of 3~3.5.
2.3. Removal of Al3+
Figure 3 shows the changing trends of ion concentration [M]T and molar proportion of the Al component in the Li+-Ni2+-Co2+-Mn2+-Al3+-F−-H2O (298 K) system as a function of pH. It can be seen that Al3+ began to precipitate in the form of Al(OH)3 when pH = 3.5, and the residual concentration of [Al]T in the solution dropped below 10−5 mol/L when pH = 4.5. The molar percentage of Al(OH)3 is close to 100%, which can be considered complete precipitation. This result indicates that AlF3 precipitation will not be generated in the solution system at this time, and the Al3+ and F− impurities cannot be removed at the same time by directly adjusting pH. When pH > 10.3 continued to rise, Al(OH)3 in the slag phase began to reverse dissolve into Al(OH)4−, resulting in a gradual increase in the concentration of aluminum in the solution. It is worth noting that when pH > 6.8, Co2+ in the leaching solution began to precipitate in the form of Co(OH)2. Therefore, the operation range of Al3+ can be controlled in the pH range of 4.5–6.8, and experimental verification was conducted on this basis.

Figure 3.
Change curves of ion concentration [M]T and molar proportion of Al component in the Li+-Ni2+-Co2+-Mn2+-Al3+-F−-H2O (298 K) system as a function of pH: (a) [M]T; (b) Al.
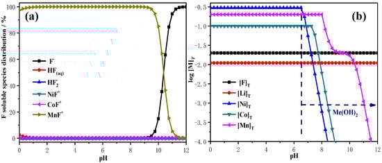
2.4. Removal of F−
After the removal of Al3+, the residual impurity ions in the leaching solution are mainly F−, and the equilibrium relationship between possible components in the solution is shown in Table S3. Based on Table S3, the thermodynamic system of Li+-Ni2+-CO2+-Mn2+-F−-H2O (298 K) solution is constructed, and the thermodynamic calculation results are shown in Figure 4. As mentioned above, when pH = 6.8, Ni2+ in the leaching solution began to precipitate in the form of Ni(OH)2, and cobalt and manganese ions precipitated successively in the form of hydroxides as the pH increased. In addition, it can be seen in Figure 4a,b that lithium always exists in the form of ions in the leaching solution, while fluorine exists in the form of F− when the pH > 11, and in the form of MnF+ complex when the pH of the leaching solution is less than 10. In the presence of MnF+ complexes, it is necessary to introduce impurity ions such as Ca2+ and Mg2+ into the leaching solution in order to form CaF2 and MgF2 precipitates and achieve a better fluoride removal effect. In addition, since the leaching solution is mainly sulfate, the upper concentration of Ca2+ in the current solution system is not sufficient to achieve the purpose of F− removal, according to the solubility product of CaSO4. At present, for the removal of F−, adsorbents are often used for adsorption and impurity removal, and the impurity removal effect is significant []. Therefore, rare earth oxides are used in this subsection to remove fluorine from the leaching solution.

Figure 4.
The thermodynamic calculation curve of the Li+-Ni2+-Co2+-Mn2+-F−-H2O system at 298 K: (a) log[M]T; (b) the formal mole fraction of F in solution.
3. Experimental Optimization
3.1. Optimization of Cu2+ Removal Process
Based on thermodynamic calculation and analysis, Na2S2O3 was used as the copper removal agent for the copper removal experiment, and the influences of the acidity of the solution, amount of sodium thiosulfate added, reaction temperature, and reaction time on the copper removal rate were investigated successively. The results are shown in Figure S3.
As can be seen from Figure S3, the removal rate of Cu2+ can be improved by decreasing the acidity of the solution, increasing the temperature of the reaction system, increasing the addition amount of Na2S2O3, and extending the reaction time. Under optimal conditions, the removal rate of copper reaches 99.8%, while the loss rates of main metal ions such as lithium, nickel, cobalt, and manganese are all below 0.2%. Among the above four influencing factors, decreasing the acidity of the solution and increasing the amount of Na2S2O3 have the greatest influence on the Cu2+ removal effect. This is because the mechanism of copper removal by Na2S2O3 is that CuS2O3 decomposition generates CuS and precipitates. In an acidic environment, Na2S2O3 is unstable and prone to disproportionation reaction, as shown in Equations (5) and (6) [], resulting in loss of thiosulfate, thus reducing the Cu2+ removal rate. Therefore, increasing the amount of Na2S2O3 and reducing the acidity are the main measures to maintain the concentration of thiosulfate in the system, and also the main influencing factors to promote the copper removal reaction. The best condition for removing copper is an acidity of 0.1 mol/L H2SO4, a reaction temperature of 75 ℃, and an actual reaction time of 180 min, and the addition of the amount of Na2S2O3 was 3 times the molar amount of Cu2+.
Na2S2O3 + Cu2+ + 2H2SO4 ⇌ CuS2O3 + Na2SO4 + SO2 + 2H2O
CuS2O3 + 2H3O+ ⇌ CuS + SO2 + 3H2O
Figure 5 represents the results of XRD and SEM characterization of the slag obtained under the best conditions. As shown in Figure 5a, the characteristic peaks of the slag phase are mainly CuS, which confirms the formation of CuS. In addition, no obvious characteristic peak of the S phase was found in the slag phase, which may be due to the poor crystallization properties of the slag phase and the low content of the S phase in the slag phase. As shown in Figure 5b, the microstructure of the slag phase mainly presents fine particle aggregates, and the average particle size of primary particles is less than 1 μm, indicating that CuS particles grow slowly when Na2S2O3 is used for copper removal, which is beneficial to the synthesis of ultrafine CuS powders.

Figure 5.
Phase characterization of copper removal slag by XRD (a) and SEM (b).
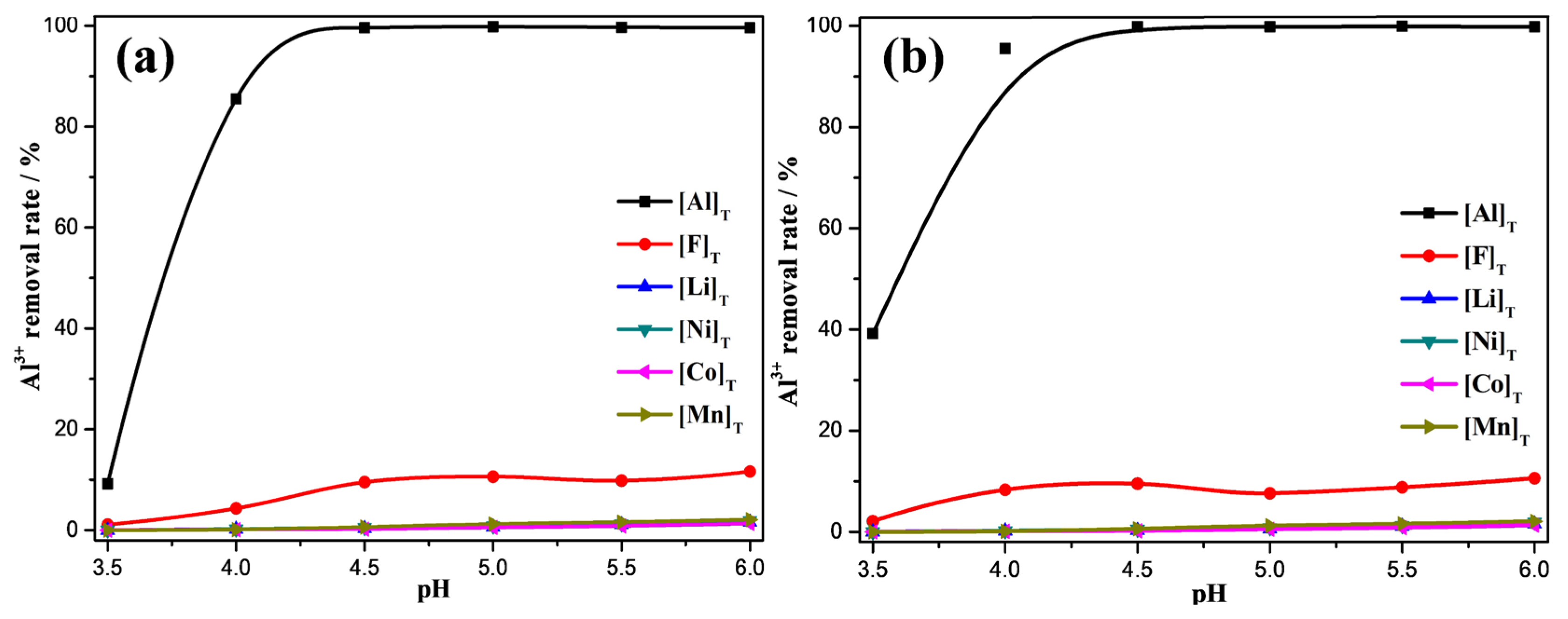
3.2. Optimization of Fe3+ and PO43− Removal Process
Figure 6 shows the change curve of residual concentration of main ions in solution with pH at different temperatures. The main factors affecting the removal rate of Fe3+ and PO43− are solution pH and reaction system temperature. With the increase in pH of the solution, Fe3+ and PO43− in solution co-precipitated when the pH of the solution was 3.5, the concentration of residual iron and phosphorus in the solution dropped below 5 ppm, and the removal rates of iron and phosphorus were over 99.8% and 97.8%, respectively. In this process, part of Al3+ precipitates in the form of AlPO4 and Al(OH)3, and the precipitation of Al(OH)3 leads to the entraining loss of main metal ions. To obtain a better effect of iron and phosphorus removal, the pH of impurity removal can be controlled at about 3.5. The precipitation reaction is endothermic, and increasing the temperature of the solution increases the trend of ion precipitation. However, when pH = 4, the removal rates of Fe3+ and PO43− do not increase significantly, while the loss of Ni, Co, and Mn increases. From the perspective of energy consumption and economy, the impurity removal temperature should be 25 ℃. Under optimized process conditions, the ion concentration in the solution after iron and phosphorus removal is shown in Table 2.

Figure 6.
Removal rate and depletion rate of ions in solution at different pH values (t = 60 min, 400 rpm) (a) 25 ℃; (b) 50 ℃.
Figure 7 represents the results of XRD and SEM characterization of the slag obtained at pH = 3.5. From XRD characterization, it can be seen that the slag phase is composed of irregular amorphous fine particles, indicating poor crystallization performance. The XRD lines of the samples are composed of burr lines with no characteristic peaks and the characteristic peaks of Fe(OH)3 and AlPO4 phases cannot be observed. Based on this, to verify the efficient removal of iron and phosphate ions from the leaching solution, SEM-EDS surface scanning was carried out on the slag. The results showed that the slag was composed of elements O, Fe, S, Al, P, S, and a small amount of Mn, and the main components were Fe, Al, and P compounds according to the mass ratio of each element. It can be inferred that the main phase composition of the slag is Fe(OH)3, AlPO4, and a small amount of Al(OH)3, which is in agreement with the theoretical calculation and conditional experimental results.

Figure 7.
SEM-EDS images of Fe-P residue at pH = 3.5.
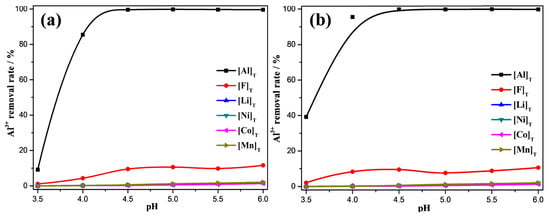
3.3. Optimization of Al3+ Removal Process
Figure 8 reveals the curves of the Al3+ removal rate with pH at different temperatures. When the leaching solution is adjusted to pH = 4.5, the residual concentration of Al3+ in the solution can be reduced to below 3 ppm, and the removal rate of Al3+ is more than 99.9%. When the pH of the leaching solution is greater than 5, the precipitation trend of the main metal ions in the leaching solution increases, resulting in the loss of Ni2+, Co2+, and Mn2+. As shown in Figure 8b, the initial removal rate of Al3+ (pH = 3.5) increases when the temperature is raised, and the removal rate of Al3+ is also close to 100%. In addition, the colloidal Al(OH)3 formed in the aluminization process is a good F− adsorbent [], so about 10% of F− can be removed at the same time as aluminum is removed.

Figure 8.
The concentration of Al3+ and main ions in the leaching solution varies with pH: (a) T = 25 ℃, t = 60 min, 400 rpm; (b) T = 50 ℃, t = 60 min, 400 rpm.
To reduce energy consumption, the temperature of Al3+ should be controlled at 25 ℃. Under optimized process conditions, the ion concentration in the solution after further removal of aluminum is shown in Table 2.
Figure 9 represents the results of SEM-EDS characterization of the slag obtained under the best conditions (pH = 4.5, reaction temperature 25 ℃, rotation speed 400 rpm, and reaction time 60 min).

Figure 9.
SEM-EDS element distribution of the Al slag.
As can be seen, the slag phase is mainly composed of amorphous and irregular particles, and the main elements are O, Al, and some other trace elements such as S, F, Ni, and Mn. The mass ratio between O and Al is close to 3:1, so it can be inferred that the main composition of the slag phase is Al(OH)3. As Al(OH)3 is a colloid with a positive charge, it can adsorb charged particles and will absorb a certain amount of F− into the precipitation phase, which is consistent with the results of conditional experiments []. A small number of elements such as Ni and Mn were observed in the precipitation phase, which may be because Al(OH)3 was coated with a small number of main metal ions during the nucleation and growth process, leading to the loss of these elements. In addition, the elements Cu, Fe, and P were not detected in the precipitation phase, which further confirmed the good removal effect of Cu, Fe, and P impurity ions in the leaching solution.
3.4. Optimization of the F− Removal Process
Figure S4 illustrates the influence of different factors on the F− removal rate and main metal ion loss rate. In the process of using rare earth oxides to remove fluorine, the main factors affecting the F− removal rate are reaction temperature, solution pH, amount of defluorination agent, and precipitation adsorption time. The effect of temperature on the F− removal rate is shown in Figure S4a. With the increase in reaction temperature, the F− removal rate presents a gradually decreasing trend. Due to the different adsorption equilibrium states of F− and defluorinated agents at different temperatures, the thermal motion intensity of F− in high-temperature aqueous solutions is high, making it difficult for defluorinated agents to adsorb and capture F−, and thus making it difficult to achieve the dynamic adsorption equilibrium of F− []. The macroscopic manifestation is a decrease in the removal rate of F−. The effect of pH on the fluoride removal rate is shown in Figure S4b. With the increase in pH, the removal rate of F− shows a gradually increasing trend. The reason for this is that at low pH, the tendency of rare earth oxides themselves to react with H+ in solution is increased, which destroys the active site on the surface of their particles and reduces their fluoride removal performance. However, increasing pH reduces the binding tendency of F− and H+, making it easier to remove F− in solution with the coordination of a fluoride removal agent. The influence of the amount of defluorination agent on the defluorination rate is shown in Figure S4c. With the increase in the amount of defluorination agent, the rate of defluorination showed a trend of gradual increase. This is because the increase in the amount of defluorination agent provided a large number of F− coordination active sites, and increased the total adsorption of F− and the total contact area between F− and the defluorination agent, so that more F− could be adsorbed and removed. The effect of precipitation and adsorption time on the F− removal rate is shown in Figure S4d. With the increase in reaction time, the removal rate of F− shows a trend of gradual increase, which is because precipitation adsorption is a slow process. With the extension of time, precipitation adsorption gradually tends to balance and reaches the maximum adsorption amount. Combined with the experimental data, the optimal conditions for F− removal were 25 ℃ and pH = 6.0, and the dosage of the defluorination agent was 6 g/L and 120 min.
Figure 10 is the map of the XRD characterization patterns of rare earth oxides before and after fluoride removal. It can be seen that rare earth oxides are mainly composed of CeO2, La2O3, Y2O3, and La2O(CO3)2, and the characteristic peaks of major phases before and after fluoride removal do not change significantly, indicating that there is no chemical transformation of rare earth oxides during the process of fluoride removal. The ICP-OES test of the defluorinated leaching solution showed that rare earth elements did not enter the leaching solution and no other impurity ions were introduced. Figure 11 shows the SEM-EDS surface scanning characterization of rare earth oxides before and after fluoride removal. As can be seen from Figure 11a, the defluorination agent before defluorination is mainly composed of elements O, La, Ce, and Y, which is consistent with the XRD analysis results. After defluorination (Figure 11b), the defluorination agent mainly consists of O, La, Ce, Y, and F elements, which indicates that during the defluorination process, the rare earth oxides physically adsorb F− to achieve the purpose of removing fluorine.

Figure 10.
XRD characterization of rare earth salt before and after fluoride removal.

Figure 11.
SEM-EDS distribution of rare earth salts: (a) before fluoride removal; (b) after fluoride removal.
In summary, the concentration of the main ions in the solution after impurity removal at each step is shown in Table 2. It can be seen that in the whole purification process, the loss of main metal ions in the leaching solution is less than 4%, and the concentration of the remaining main impurity ions in the solution is less than 10 ppm.
4. Conclusions
This study took the leaching solution of waste lithium-ion battery black powder as the research object, with sulfuric acid as the leaching agent. A thermodynamic equilibrium system corresponding to the types and contents of impurity ions in the leaching solution was established, and based on the theoretical calculation an economically effective method for removing Cu2+, Al3+, Fe3+, PO43−, and F− from the leaching solution was proposed. A systematic study was conducted of the entire process and the following main conclusions were drawn:
- (1)
- For solution systems containing multiple impurity ions at the same time, a corresponding thermodynamic model for solid-phase precipitation can be constructed to infer the types of precipitation that can be generated under corresponding pH conditions. On the basis of theory, corresponding experiments were conducted to determine the optimal process parameters for impurity ion removal, ultimately achieving the removal of impurity ions.
- (2)
- On the basis of theoretical calculations, in this study Na2S2O3 was first added to the leaching solution to precipitate and remove Cu2+ in the form of CuS. Then, the pH value of the solution system was adjusted according to the coprecipitation principle, so that Fe3+, PO43− and Al3+ were precipitated and removed in the form of Fe(OH)3, AlPO4, and Al(OH)3, respectively. Finally, rare earth oxides were used as defluorination agents for F− removal work.
- (3)
- The optimal removal conditions for Cu2+ are as follows: the acidity of the solution system is 0.1 mol/L H2SO4, 75 ℃, 120 min, and the addition of the amount of Na2S2O3 was 3 times the molar amount of Cu2+. Under these conditions, Cu2+ can be removed in the form of CuS, with a removal rate of 99.8% for Cu2+ and a loss rate of main metals below 0.2%.
- (4)
- The optimal removal conditions for Fe3+ and PO43− are the pH of the solution system is 3.5 and the temperature is 25 ℃. Under optimal conditions, Fe3+ and PO43− can be precipitated and removed in the form of FePO4, with a removal rate of 99.8% for Fe3+ and 97.8% for PO43−;
- (5)
- The optimal removal conditions for Al3+ are the pH of the solution system is 4.5 and the temperature is 25 ℃. Under optimal conditions, the removal rate of aluminum is close to 99%, and the concentration of Al3+ in the solution is less than 3 ppm.
- (6)
- The optimal removal conditions for F− are as follows: the pH of the solution system is 6.0, 25 ℃, and the dose of the dilution agent is 6 g/L and 120 min. Under the optimal F− removal conditions, the removal rate of F− can reach 97.1%, the main metal loss rate is less than 0.6%, and the concentration of F− in the solution is less than 10 ppm.
- (7)
- Various studies have been conducted on the removal of impurity ions from the leaching solution of acid-based waste lithium-ion batteries using aluminum ash, but most methods have problems such as incomplete impurity removal, introduction of new impurity ions, high cost of impurity removal reagents, and complex impurity removal processes. Compared with the above issues, the method proposed in this article is relatively simple and can simultaneously precipitate and remove multiple ions, with a good impurity removal effect. It provides a reference for impurity removal work in solution systems where multiple impurity ions coexist.
Supplementary Materials
The following supporting information can be downloaded at: https://www.mdpi.com/article/10.3390/cryst13060858/s1, Table S1: Main element content in nickel rich cobalt manganese slag; Table S2: Thermodynamic parameters of Li+-Ni2+-Co2+-Mn2+-Cu2+-S2−-H2O solution system, Table S3: Thermodynamic parameters of Li+-Ni2+-Co2+-Mn2+-Fe3+-Al3+-F--PO43--H2O solution system; Figure S1: The variation curve of ion concentration with pH in Li+-Ni2+-CO2+-Mn2+-Cu2+-S2− H2O (298 K) system solution; Figure S2: The curve between the concentration of other impurity ions and the concentration of main metal ions and pH change; Figure S3: The main factors affecting the removal rate of copper ions and the loss rate of main metal ions include; Figure S4: The effects of different factors on fluoride removal rate and main metal ion loss rate.
Author Contributions
Data curation, investigation, writing—original draft. formal analysis, J.Y. and Y.Z.; Resources, F.L., Z.Z., M.J. and L.J.; writing—review and editing, P.Z., Z.L. and Z.Z.; project administration, L.J.; funding acquisition, F.L., M.J. and L.J. All authors have read and agreed to the published version of the manuscript.
Funding
This work was supported by Hunan Provincial Natural Science Foundation (2022JJ10074), and the National Key Research and Development Program of China (2018YFE0203400).
Institutional Review Board Statement
Not applicable.
Informed Consent Statement
Not applicable.
Data Availability Statement
The data used for research described in this manuscript are available upon request from corresponding authors: lxjiang@csu.edu.cn (L.J.)
Conflicts of Interest
The authors declare no conflict of interest.
References
- Dutta, D.; Kumari, A.; Panda, R.; Jha, S.; Gupta, D.; Goel, S.; Jha, M.K. Close loop separation process for the recovery of Co, Cu, Mn, Fe and Li from spent lithium-ion batteries. Sep. Purif. Technol. 2018, 200, 327–334. [Google Scholar] [CrossRef]
- Minsang, J.; Sanghyuk, P.; Song, J.; Kwon, K. Incorporation of Cu into Li[Ni1/3Co1/3Mn1/3]O2cathode: Elucidating its electrochemical properties and stability. J. Alloys Compd. 2018, 764, 112–121. [Google Scholar]
- Beak, M.; Park, J.; Park, S.; Jeong, S.; Kang, J.; Choi, W.; Yoon, W.; Kwon, K. Understanding the effect of nonmetallic impurities in regenerated cathode materials for lithium-ion battery recycling by tracking down impurity elements. J. Hazard. Mater. 2022, 425, 127907. [Google Scholar] [CrossRef] [PubMed]
- Natarajanm, S.; Aravindan, V. Recycling strategies for spent Li-ion battery mixed cathodes. ACS Energy Lett. 2018, 3, 2101–2103. [Google Scholar] [CrossRef]
- Chang, Y.; Zhai, X.; Li, B.; Fu, Y. Removal of iron from acidic leach liquor of lateritic nickel ore by goethite precipitate. Hydrometallurgy 2010, 101, 84–87. [Google Scholar] [CrossRef]
- Liu, P.F.; Zhang, Y.F.; Wang, L.; You, S.; Bo, J. Thermodynamics and nucleation mechanism of ammonium jarosite in sulfuric acid solution. J. Cryst. Growth 2017, 478, 52–57. [Google Scholar] [CrossRef]
- Silva, M.D.F.D.; Oliveira, M.R.D.S.; Santos, I.D.D.; Rouse, P.R.; Mansur, M.B. Iron Precipitation Strategies from Nickel Laterite Ore Sulfuric Acid Leach Liquor. Miner. Process. Extr. Metall. Rev. 2020, 19, 28–39. [Google Scholar]
- Das, G.K.; Li, J. Iron Removal as Goethite from Synthetic Laterite Leach Solutions. ACS Omega 2023, 8, 11931–11940. [Google Scholar] [CrossRef]
- Izadi, A.; Mohebbi, A.; Amiri, M.; Izadi, N. Removal of iron ions from industrial copper raffinate and electrowinning electrolyte solutions by chemical precipitation and ion exchange. Miner. Eng. 2017, 113, 23–35. [Google Scholar] [CrossRef]
- Ma, X.; Dang, R.; Liu, J.; Li, J.; Kang, Y.; Gong, Y.; Zhang, Z.; Ma, Y. Study on the formation process for Co2+-Ni2+-Fe3+-CO32-LDHs prepared by trisodium citrate complexing agent-assisted homogeneous precipitation method. Instrum. Sci. Technol. 2016, 19, 51–63. [Google Scholar] [CrossRef]
- Feitknecht, W.; Michaelis, W. Uber die Hydrolyse von Eisen(III) Perchlorat-Lsungen. Helv. Chim. Acta 2004, 45, 212–224. [Google Scholar] [CrossRef]
- Bian, R.; Su, T.; Chen, Y.; Qu, Z.; Liu, C.; Huo, Y.; Li, T. High-performance Al separation and Zn recovery from a simulated hazardous sludge. Arab. J. Chem. 2021, 14, 102996. [Google Scholar] [CrossRef]
- Li, H.; Kuang, G.; Hu, S.; Guo, H.; Jin, R.; Vekariya, R.L. Removal of aluminum from leaching solution of lepidolite by adding ammonium. JOM 2016, 68, 2653–2658. [Google Scholar] [CrossRef]
- Türk, O.K.; Zoungrana, A.; Çakmakci, M. Chemical precipitation and membrane distillation process for the treatment of acidic anodic oxidation wastewaters. J. Environ. Chem. Eng. 2022, 10, 108036. [Google Scholar] [CrossRef]
- Peeters, N.; Binnemans, K.; Riaño, S. Solvometallurgical recovery of cobalt from lithium-ion battery cathode materials using deep-eutectic solvents. Green Chem. 2020, 22, 4210–4221. [Google Scholar] [CrossRef]
- Aksamitowski, P.; Filipowiak, K.; Wieszczycka, K. Selective extraction of copper from Cu-Zn sulfate media by new generation extractants. Sep. Purif. Technol. 2019, 222, 22–29. [Google Scholar] [CrossRef]
- Granata, G.; Tsendorj, U.; Liu, W.; Tokoro, C. Direct recovery of copper nanoparticles from leach pad drainage by surfactant-assisted cementation with iron powder. Colloids Surf. A Physicochem. Eng. Asp. 2019, 580, 123719. [Google Scholar] [CrossRef]
- Ban, Y.; Li, L.; Liu, C.; Yan, Y.; Gao, J.; Zhang, J.; Gao, J. Enhancing sludge dewatering and heavy metal removal by bioleaching with Na2S2O3 as substrates. Water Sci. Technol. 2018, 78, 1545–1555. [Google Scholar] [CrossRef]
- Yang, R.; Wang, S.; Duan, H.; Yuan, X.H.; Huang, Z.J.; Guo, H.; Yang, X.J. Efficient separation of copper and nickel from ammonium chloride solutions through the antagonistic effect of TRPO on Acorga M5640. Hydrometallurgy 2016, 163, 18–23. [Google Scholar] [CrossRef]
- Li, J.; Li, X.; Hu, Q.; Wang, Z.; Zheng, J.; Wu, L.; Zhang, L. Study of extraction and purification of Ni, Co and Mn from spent battery material. Hydrometallurgy 2009, 99, 7–12. [Google Scholar] [CrossRef]
- Wang, X.K.; Li, Y.B.; Zhang, Z.L.; Qiao, R.R.; Li, Y.; Liu, S.B. Study on the reaction behavior of copper ions in sodium thiosulfate sulfide waste acid. J. Taiyuan Univ. Technol. 2022, 53, 27–35. [Google Scholar]
- Li, J.; Zhang, H.; Zhang, J.; Xiao, Q.; Du, X.; Qi, T. Efficient removal of fluoride by complexation extraction: Mechanism and thermodynamics. Environ. Sci. Technol. 2019, 53, 9102–9108. [Google Scholar] [CrossRef] [PubMed]
- Tian, Z.L.; Guo, W.C.; Zhang, Z.J.; Lai, Y.Q.; Ye, S.L.; Li, J. Removal of fluorine ions from industrial zinc sulfate solution by a layered aluminum-based composite. Hydrometallurgy 2017, 171, 222–227. [Google Scholar] [CrossRef]
- Ping, Q.; Zhang, B.; Zhang, Z.; Lu, X.; Li, Y. Speciation analysis and formation mechanism of iron-phosphorus compounds during chemical phosphorus removal process. Chemosphere 2023, 310, 136852. [Google Scholar] [CrossRef] [PubMed]
- Gai, W.Z.; Deng, Z.Y. A comprehensive review of adsorbents for fluoride removal from water: Performance, water quality assessment and mechanism. Environ. Sci. Water Res. Technol. 2021, 7, 1362–1386. [Google Scholar] [CrossRef]
- Barathi, M.; Kumar, A.K.; Kumar, C.U.; Rajesh, N. Graphene oxide-aluminium oxyhydroxide interaction and its application for the effective adsorption of fluoride. RSC Adv. 2014, 4, 53711–53721. [Google Scholar] [CrossRef]
- Ye, D. Practical Inorganic Compound Thermodynamics Data Book; Metallurgical Industry Press: Beijing, China, 1981. [Google Scholar]
- Hu, C.Y.; Lo, S.L.; Kuan, W.H. Effects of the molar ratio of hydroxide and fluoride to Al(III) on fluoride removal by coagulation and electrocoagulation. J. Colloid Interface Sci. 2005, 283, 472–476. [Google Scholar] [CrossRef]
- Zhang, H.Q.; Chen, G.H.; Cai, X.; Fu, J.T.; Zhang, P.F.; Yu, H. Experimental study on iron removal and copper recovery from copper leaching solution through oxidation hydrolysis. Min. Metall. Eng. 2020, 194, 123–126. [Google Scholar]
Disclaimer/Publisher’s Note: The statements, opinions and data contained in all publications are solely those of the individual author(s) and contributor(s) and not of MDPI and/or the editor(s). MDPI and/or the editor(s) disclaim responsibility for any injury to people or property resulting from any ideas, methods, instructions or products referred to in the content. |
© 2023 by the authors. Licensee MDPI, Basel, Switzerland. This article is an open access article distributed under the terms and conditions of the Creative Commons Attribution (CC BY) license (https://creativecommons.org/licenses/by/4.0/).