Study of La Doping on the Electronic Structure and Magneto-Optical Properties of ZnO by GGA+U Method
Abstract
1. Introduction
2. Calculation Model and Method
2.1. Calculation Model
2.2. Calculation Method
3. Results and Discussion
3.1. Doping System Structure and Stability Analysis
3.2. Analysis of Energy Band Structure
3.3. Density of States Analysis
3.4. Orbital Charge Analysis
3.5. Analysis of Population Value and Bond Length
3.6. Analysis of Differential Charge Density
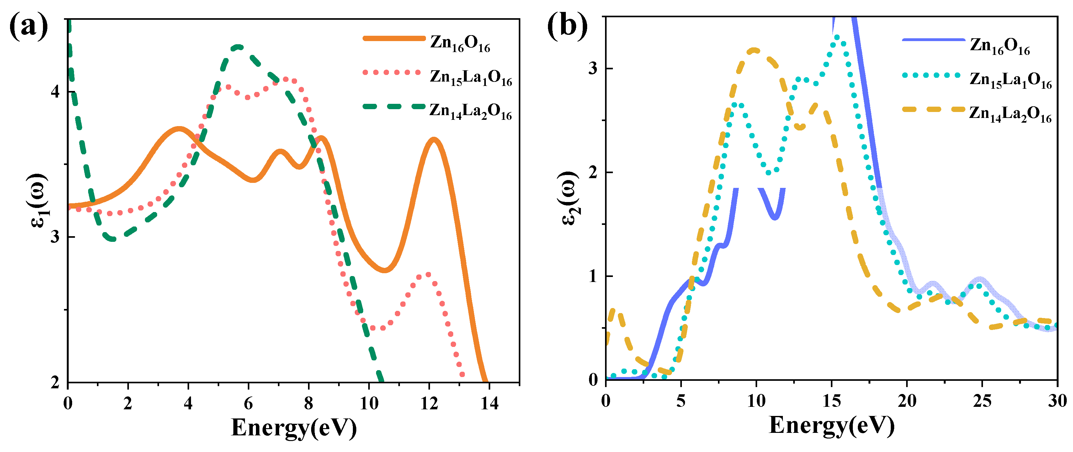
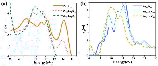
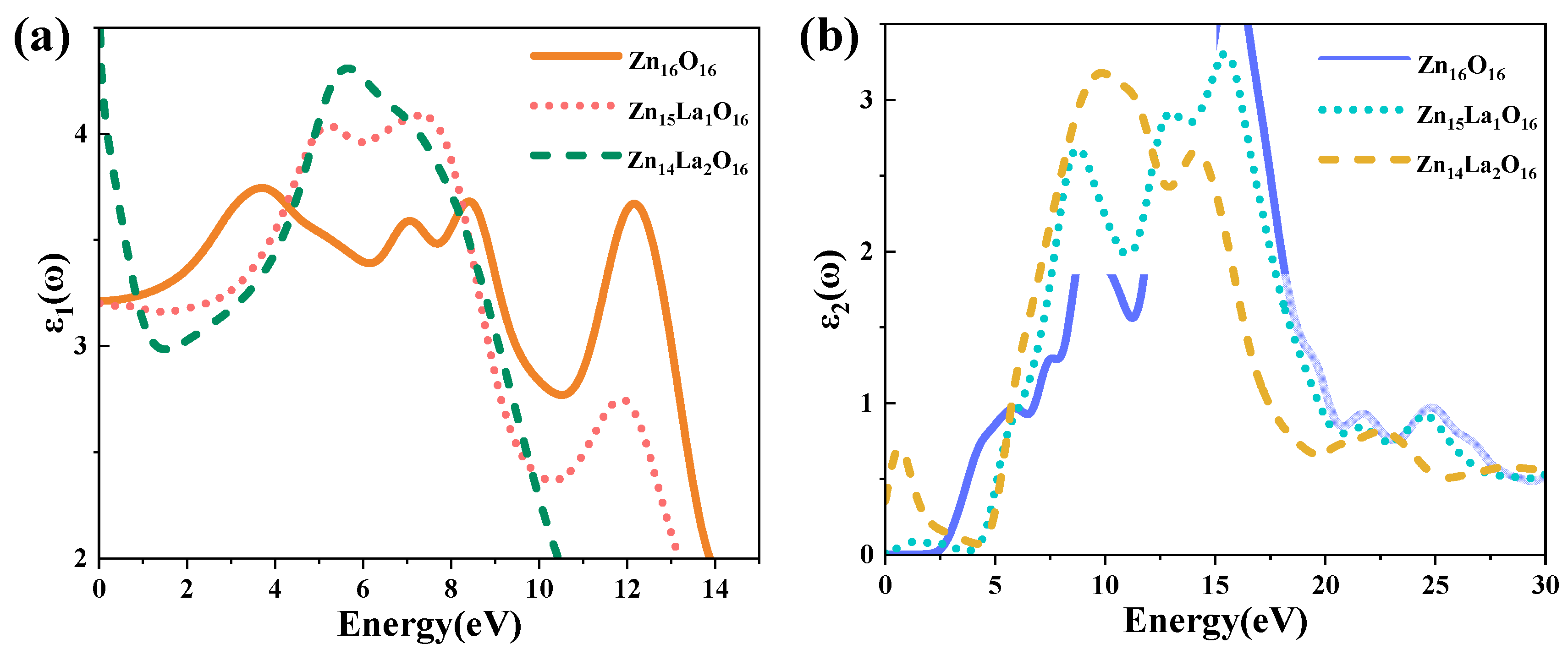
3.7. Optical Properties
3.8. Magnetic Properties
4. Conclusions
Author Contributions
Funding
Data Availability Statement
Conflicts of Interest
References
- Djurisic, A.B.; Ng, A.; Chen, X.Y. ZnO nanostructures for optoelectronics:material properties and device applications. Prog. Quantum Electron. 2010, 34, 191–259. [Google Scholar] [CrossRef]
- Tirumalareddygari, S.R.; Guddeti, P.R.; Ramakrishna Reddy, K.T. A critical study of the optical and electrical properties of transparent and conductive Mo-doped ZnO films by adjustment of Mo concentration. Appl. Surf. Sci. 2018, 458, 333–343. [Google Scholar] [CrossRef]
- Tay, Y.Y.; Tan, T.T.; Li, S. Determinants of the structured and structureless green emissions of ZnO. Solid State Commun. 2011, 151, 372–376. [Google Scholar] [CrossRef]
- Ozgur, U.; Alivov, Y.I.; Liu, C.; Teke, A.; Reshchikov, M.; Dogan, S.; Avrutin, V.; Cho, S.; Morkoc, H. A compre hensive review of ZnO materials and devices. J. Appl. Phys. 2005, 98, 41301. [Google Scholar] [CrossRef]
- Santosh, S.; Gupta, K.; Sudarshan, R. Optical nanomaterials with focus on rare earth doped oxide: A Review. Mater. Today Commun. 2021, 27, 102277. [Google Scholar]
- Li, H.; Li, W.; Gu, S.; Wang, F.; Zhou, H. In-built Tb4+/Tb3+ redox centers in terbium-doped bismuth molybdate nanograss for enhanced photo catalytic activity. Catal. Sci. Technol. 2016, 6, 3510–3519. [Google Scholar] [CrossRef]
- Li, Y.; Wang, R.; Zheng, W.; Li, Y. Silica-coated Ga (III)-doped ZnO: Yb3+, Tm3+ upconver sionnanoparticles for high-resolution in vivo bioimaging using near infrared to near-infrared upconversion emission. Inorg. Chem. 2019, 58, 8230–8236. [Google Scholar] [CrossRef]
- Yao, N.; Huang, J.; Fu, K.; Deng, X.; Ding, M.; Xu, X. Rare earth ions doped phosphors for dye-sensitized solar cells applications. RSC Adv. 2016, 6, 17546–17559. [Google Scholar] [CrossRef]
- Vettumperumal, R.; Kalyanaraman, S.; Thangavel, R. Optical constants and near infrared emission of Er doped ZnO sol–gel thin films. J. Lumin. 2015, 158, 493–500. [Google Scholar] [CrossRef]
- Khuili, M.; Fazouan, N.; Abou El Makarim, H.; Atmani, E.; Rai, D.; Houmad, M. First-principles calculations of rare earth (RE=Tm, Yb, Ce) doped ZnO: Structural, optoelectronic, magnetic, and electrical properties. Vacuum 2020, 181, 109603. [Google Scholar] [CrossRef]
- Zhang, X.J.; Mi, B.W.; Wang, X.C.; Bai, H.L. First-principles prediction of electronic structure and magnetic ordering of rare-earth metals doped ZnO. J. Alloys Compd. 2014, 617, 828–833. [Google Scholar] [CrossRef]
- Reed, A.E.; Weinstock, R.B.; Weinhold, F. Natural population analysis. J. Chem. Phys. 1985, 83, 735–746. [Google Scholar] [CrossRef]
- Segall, M.D.; Shah, R.; Pickard, C.J.; Payne, M. Population analysis in plane wave electronic structure calculations. Mol. Phys. 1996, 89, 571–577. [Google Scholar]
- Hirshfeld, F.L. Bonded-atom fragments for describing molecular charge densities. Chim. Acta 1977, 44, 129–138. [Google Scholar] [CrossRef]
- Glendening, E.D.; Landis, C.R.; Weinhold, F. Natural bond orbital methods. Wiley Interdiscip. Rev. Comput. Mol. Sci. 2011, 2, 1–42. [Google Scholar] [CrossRef]
- Kavitha, E.; Sundaraganesan, N.; Sebastian, S.; Kurt, M. Molecular structure, anharmonic vibrational frequencies and NBO analysis of naphthalene acetic acid by density functional theory calculations. Spectrochim. Acta Part Mol. Biomol. Spectrosc. 2010, 77, 612–619. [Google Scholar] [CrossRef]
- James, C.; Raj, A.A.; Reghunathan, R.; Jayakumar, V.S.; Joe, I.H. Structural conformation and vibrational spectroscopic studies of 2,6-bis(p-N,N-dimethyl benzylidene)cyclohexanone using density functional theory. J. Raman Spectrosc. 2006, 37, 1381–1392. [Google Scholar] [CrossRef]
- Mouras, R.; Fontana, M.D.; Bourson, P.; Postnikov, A.V. Lattice site of Mg ion in LiNbO3 crystal determined by raman spectroscopy. J. Phys. Condens. Matter 2000, 12, 5053–5059. [Google Scholar] [CrossRef]
- Anisimov, V.I.; Zaanen, J.; Andersen, O.K. Band theory and mott insulators: Hubbard U instead of stoner I. Phys. Rev. Condens. Matter 1991, 44, 943–954. [Google Scholar] [CrossRef] [PubMed]
- Segall, M.D.; Lindan PJ, D.; Probert, M.J.; Pickard, C.J.; Hasnip, P.J.; Clark, S.J.; Payne, M.C. First-principles simulation: Ideas, illustrations and the CASTEP code. J. Phys. Condens. Matter 2002, 14, 2717–2744. [Google Scholar] [CrossRef]
- Freysoldt, C.; Grabowski, B.; Hickel, T.; Neugebauer, J.; Kresse, G.; Janotti, A.; Van de Walle, C.G. First-principles calculations for point defects in solids. Rev. Mod. Phys. 2014, 86, 253–305. [Google Scholar] [CrossRef]
- Pham, A.; Assadi, M.H.N.; Yu, A.B.; Li, S. Critical role of Fock exchange in characterizing dopant geometry and magnetic interaction in magnetic semiconductors. Phys. Rev. 2014, 89, 155110. [Google Scholar] [CrossRef]
- Cococcioni, M.; de Gironcoli, S. Linear response approach to the calculation of the effective interaction parameters in the LDA+U method. Phys. Rev. 2005, 71, 035105. [Google Scholar] [CrossRef]
- Ma, X.; Wu, Y.; Lv, Y. Correlation effects on lattice relaxation and electronic structure of ZnO within the GGA+U formalism. J. Phys. Chem. 2013, 117, 26029–26039. [Google Scholar]
- Iyi, N.; Kitamura, K.; Izumi, F.; Yamamoto, J.K.; Hayashi, T.; Asano, H.; Kimura, S. Comparative study of defect structures in lithium niobate with different compositions. J. Solid State Chem. 1992, 101, 340–352. [Google Scholar] [CrossRef]
- Li, F.; Zhang, C.; Zhao, M. Magnetic and optical properties of Cu-doped ZnO nanosheet:First-principles calculations. Phys. Low-Dimens. Syst. Nanostr. 2013, 53, 101–105. [Google Scholar] [CrossRef]
- Sousa, S.F.; Fernandes, P.A.; Ramos, M.J. General performance of density functionals. J. Phys. Chem. 2007, 111, 10439–10452. [Google Scholar] [CrossRef] [PubMed]
- Assadi, M.H.N.; Zhang, Y.B.; Li, S. Predominant role of defects in magnetic interactions in codoped ZnO:Co. J. Phys. Condens. Matter 2010, 22, 296004. [Google Scholar] [CrossRef]
- Shakir, M.; Faraz, M.; Sherwani, M.A.; Al-Resayes, S.I. Photocatalytic degradation of the paracetamol drug using lanthanum doped ZnO nanoparticles and their in-vitro cytotoxicity assay. J. Lumin. 2016, 176, 159–167. [Google Scholar] [CrossRef]
- He, H.Y.; Huang, J.F.; Fei, J.; Lu, J. La-doping content effect on the optical and electrical properties of La-doped ZnO thin films. J. Mater. Sci. Mater. Electron. 2015, 26, 1205–1211. [Google Scholar] [CrossRef]
- Phuruangrat, A.; Dumrongrojthanath, P.; Yayapao, O.; Arin, J.; Thongtem, S.; Thongtem, T. Photocatalytic activity of La-doped ZnO nanostructure materials synthesized by sonochemical method. Rare Met. 2016, 5, 390–395. [Google Scholar] [CrossRef]
- Ma, X.; Miao, L.; Bie, S.; Jiang, J. Synergistic effect of V/N-codoped anatase TiO2 photocatalysts. Solid State Commun. 2010, 150, 689–692. [Google Scholar] [CrossRef]
- Long, R.; English, N.J. First-principles calculation of nitrogen-tungsten codoping effects on the band structure of anatase-titania. Appl. Phys. Lett. 2009, 94, 132102. [Google Scholar] [CrossRef]
- Bomila, R.; Srinivasan, S.; Gunasekaran, S.; Manikandan, A. Enhanced photocatalytic degradation of methylene blue dye, opto-magnetic and antibacterial behaviour of pure and La-doped ZnO nanoparticles. J. Supercond. Nov. Magn. 2018, 31, 855–864. [Google Scholar] [CrossRef]
- Lu, J.G.; Fujita, S.; Kawaharamura, T.; Nishinaka, H.; Kamada, Y.; Ohshima, T.; Ye, Z.Z.; Zeng, Y.J.; Zhang, Y.Z.; Zhu, L.P. Carrier concentration dependence of band gap shift in n-type ZnO: Al films. J. Appl. Phys. 2007, 101, 083705. [Google Scholar] [CrossRef]
- Schleife, A.; Rodl, C.; Fuchs, F.; Furthmueller, J.; Bechstedt, F. Optical and energy-loss spectra of MgO, ZnO, and CdO from ab initio many-body calculations. Phys. Rev. 2009, 80, 035112. [Google Scholar] [CrossRef]
- Li, H.; Lv, Y.; Li, J.; Yu, K. Experimental and first-principles studies of structural and optical properties of rare earth (RE=La, Er, Nd) doped ZnO. J. Alloys Compd. 2014, 617, 102–107. [Google Scholar]
- Hu, Y.; Zeng, H.; Du, J.; Hu, Z.; Zhang, S. The structural, electrical and optical properties of Mg-doped ZnO with differrent interstitial Mg concentration. Mater. Chem. Phys. 2016, 182, 15–21. [Google Scholar] [CrossRef]
- Zhang, L. First-Principles Study on the Electronic Structure and Optical Properties of La-Doped ZnO; North University of China: Shanxi, China, 2021. [Google Scholar]
- Xu, G.X. Quantum Chemistry Secondary Volume; Science Press: Beijing, China, 2022. (In Chinese) [Google Scholar]
- Sun, C.Q. Oxidation Electronics: Bond-Band-Barrier correlation and its applications. Prog. Mater. Sci. 2003, 48, 521–685. [Google Scholar] [CrossRef]
- Segall, M.D.; Pickard, C.J.; Shah, R.; Payne, M.C. Population analysis in plane-wave electronic structure calculations of bulk materials. Phys. Rev. 1996, 54, 16317–16320. [Google Scholar] [CrossRef]
- Wu, H.C.; Chen, H.H.; Zhu, Y.R. Effects of Al-impurity type on formation energy, crystal structure, electronic structure, and optical properties of ZnO by using density functional theory and the hubbard-U method. Materials 2016, 9, 647. [Google Scholar] [PubMed]
- Sha, S.L. First-Principles Study of Effect of Different Valence States Mo-Doping and Point Defect on the Magnetic and Optical Properties of ZnO; Inner Mongolia University of Technology: Hohhot, China, 2021. [Google Scholar]
- Huang, K. Solid Physics; Higher Education Press: Beijing, China, 2002. (In Chinese) [Google Scholar]
- Fang, R.C. Solid State Spectroscopy; University of Science and Technology of China Press: Hefei, China, 2001. (In Chinese) [Google Scholar]
- Shen, X.C. Spectra and Optical Properties of Semiconductors, 2nd ed.; Science Press: Beijing, China, 2002. (In Chinese) [Google Scholar]
- Yang, R.Y.; Yan, H.X.; Xiao, Y.; Guo, Z.H. The optical properties of one-dimensional ZnO: A first-principles study. Chem. Phys. Lett. 2007, 446, 98–102. [Google Scholar] [CrossRef]
- Zhang, X.D.; Guo, M.L.; Li, W.X.; Liu, C.L. First-principles study of electronic and optical properties in wurtzite Zn1−xCdxO. J. Appl. Phys. 2008, 103, 063721. [Google Scholar]
- Yoon, D.H.; Muksin, K.; Raju, S. Structural, and magnetic properties of Co-doped and Mn-doped ZnO nanocrystalline DMS prepared by the facile polyvinyl alcohol gel method. J. Supercond. Nov. Magn. 2017, 30, 203–208. [Google Scholar] [CrossRef]
- Liu, H.; Zhang, J.M. Effect of two identical 3d transition-metal atoms M doping (M=V, Cr, Mn, Fe, Co, and Ni) on the structural, electronic, and magnetic properties of ZnO. Phys. Status Solidi B-Basic Solid State Phys. 2017, 254, 1700098. [Google Scholar] [CrossRef]
- Zamiri, R.; Lemos, A.F.; Reblo, A.; Ahangar, H.A.; Ferreira, J.M.F. Effects of rare-earth (Er, La and Yb) doping on morphology and structure properties of ZnO nanostructures prepared by wet chemical method. Ceram. Int. 2014, 40, 523–529. [Google Scholar] [CrossRef]
- Ali, D.; Butt, M.Z.; Muneer, I. Synthesis and characterization of sol-gel derived La and Sm doped ZnO thin films: A solar light photocatalyst for methylene blue. Thin Solid Film 2019, 679, 86–98. [Google Scholar] [CrossRef]
- Asikuzun, E.; Ozturk, O.; Arda, L.; Tasci, A.T.; Kartal, F.; Terzioglu, C. High-quality C-axis oriented non-vacuum Er doped ZnO thin films. Ceram. Int. 2016, 42, 8085–8091. [Google Scholar] [CrossRef]
- Young, S.L.; Chen, H.Z.; Kao, M.C.; Kung, C.Y.; Lin, C.C.; Lin, T.T.; Horng, L.; Shih, Y.T.; Ou, C.J.; Lin, C.H. Magnetic properties of La-doped and Cu-doped ZnO nanowires fabricated by hyderothermal method. Int. J. Mod. Phys. 2013, 27, 1362006. [Google Scholar] [CrossRef]
- Li, W.L. Effect of La/Cu-Doping and Point Defect on the Magnetic and Optical Properties of ZnO by First-Principle; Inner Mongol University of Technology: Hohhot, China, 2019. [Google Scholar]







| Model | a/Å | b/Å | c/Å | α | β | γ | V/Å3 | Ef/eV |
|---|---|---|---|---|---|---|---|---|
| Zn16O16 | 6.821 | 6.821 | 10.942 | 90.00° | 90.00° | 120.00° | 440.898 | - |
| Zn15La1O16 | 6.909 | 6.909 | 10.979 | 90.00° | 90.00° | 119.99° | 453.885 | −6.505 |
| Zn14La2O16a1 | 7.056 | 7.064 | 10.758 | 90.00° | 89.89° | 120.01° | 464.264 | −12.519 |
| Zn14La2O16a2 | 7.232 | 7.090 | 10.459 | 90.06° | 90.02° | 120.64° | 461.378 | −11.962 |
| Zn14La2O16a3 | 7.091 | 7.091 | 10.457 | 89.93° | 90.07° | 118.65° | 461.387 | −11.956 |
| Zn14La2O16a4 | 7.096 | 7.096 | 10.568 | 89.99° | 89.99° | 119.97° | 460.942 | −12.496 |
| Model | Atom | s | p | d | Total /eV | Net Charge/e |
|---|---|---|---|---|---|---|
| Zn16O16 | Zn (spin up) | 0.20 | 0.34 | 4.99 | 5.54 | 0.93 |
| Zn (spin down) | 0.20 | 0.34 | 4.99 | 5.54 | - | |
| O (spin up) | 0.92 | 2.55 | 0.00 | 3.46 | −0.93 | |
| O (spin down) | 0.92 | 2.55 | 0.00 | 3.46 | - | |
| Zn15La1O16 | Zn (spin up) | 0.19 | 0.36 | 4.99 | 5.54 | 0.93 |
| Zn (spin down) | 0.19 | 0.36 | 4.99 | 5.54 | - | |
| O (spin up) | 0.91 | 2.56 | 0.00 | 3.47 | −0.95 | |
| O (spin down) | 0.91 | 2.56 | 0.00 | 3.47 | - | |
| La (spin up) | 0.15 | −0.22 | 0.68 | 0.62 | 1.77 | |
| La (spin down) | 0.15 | −0.22 | 0.68 | 0.62 | - | |
| Zn14La2O16 | Zn (spin up) | 0.26 | 0.36 | 5.00 | 5.62 | 0.76 |
| Zn (spin down) | 0.26 | 0.36 | 5.00 | 5.62 | - | |
| O (spin up) | 0.93 | 2.53 | 0.00 | 3.46 | −0.92 | |
| O (spin down) | 0.93 | 2.53 | 0.00 | 3.46 | - | |
| La (spin up) | 0.25 | −0.17 | 0.71 | 0.79 | 1.42 | |
| La (spin down) | 0.25 | −0.17 | 0.71 | 0.79 | - |
| Model | Bond Type | Population Value | Bond Length |
|---|---|---|---|
| Zn16O16 | Zn-Omax | 1.08 | 1.966 |
| Zn-Omin | 0.12 | 1.975 | |
| Zn15La1O16 | Zn-Omax | 0.32 | 2.052 |
| Zn-Omin | 0.41 | 1.966 | |
| La-O (//c) | 0.27 | 2.313 | |
| La-O (⊥c) | 0.3 | 2.264 | |
| Zn14La2O16 | Zn-Omax | 0.25 | 2.166 |
| Zn-Omin | 0.39 | 2.050 | |
| La-O (//c) | 0.27 | 2.303 | |
| La-O (⊥c) | 0.18 | 2.376 |
Disclaimer/Publisher’s Note: The statements, opinions and data contained in all publications are solely those of the individual author(s) and contributor(s) and not of MDPI and/or the editor(s). MDPI and/or the editor(s) disclaim responsibility for any injury to people or property resulting from any ideas, methods, instructions or products referred to in the content. |
© 2023 by the authors. Licensee MDPI, Basel, Switzerland. This article is an open access article distributed under the terms and conditions of the Creative Commons Attribution (CC BY) license (https://creativecommons.org/licenses/by/4.0/).
Share and Cite
Wu, Q.; Zhang, B.; Liu, G.; Ning, J.; Shao, T.; Zhang, F.; Xue, S. Study of La Doping on the Electronic Structure and Magneto-Optical Properties of ZnO by GGA+U Method. Crystals 2023, 13, 754. https://doi.org/10.3390/cryst13050754
Wu Q, Zhang B, Liu G, Ning J, Shao T, Zhang F, Xue S. Study of La Doping on the Electronic Structure and Magneto-Optical Properties of ZnO by GGA+U Method. Crystals. 2023; 13(5):754. https://doi.org/10.3390/cryst13050754
Chicago/Turabian StyleWu, Qiao, Bohang Zhang, Gaihui Liu, Jing Ning, Tingting Shao, Fuchun Zhang, and Suqin Xue. 2023. "Study of La Doping on the Electronic Structure and Magneto-Optical Properties of ZnO by GGA+U Method" Crystals 13, no. 5: 754. https://doi.org/10.3390/cryst13050754
APA StyleWu, Q., Zhang, B., Liu, G., Ning, J., Shao, T., Zhang, F., & Xue, S. (2023). Study of La Doping on the Electronic Structure and Magneto-Optical Properties of ZnO by GGA+U Method. Crystals, 13(5), 754. https://doi.org/10.3390/cryst13050754

