Functionalization and Coordination Effects on the Structural Chemistry of Pendant Arm Derivatives of 1,4,7-trithia-10-aza-cyclododecane ([12]aneNS3)
Abstract
1. Introduction
2. Materials and Methods
2.1. Materials and Methods
2.2. X-ray Diffraction Analyses
2.3. Synthesis of L20
2.4. Synthesis of L21
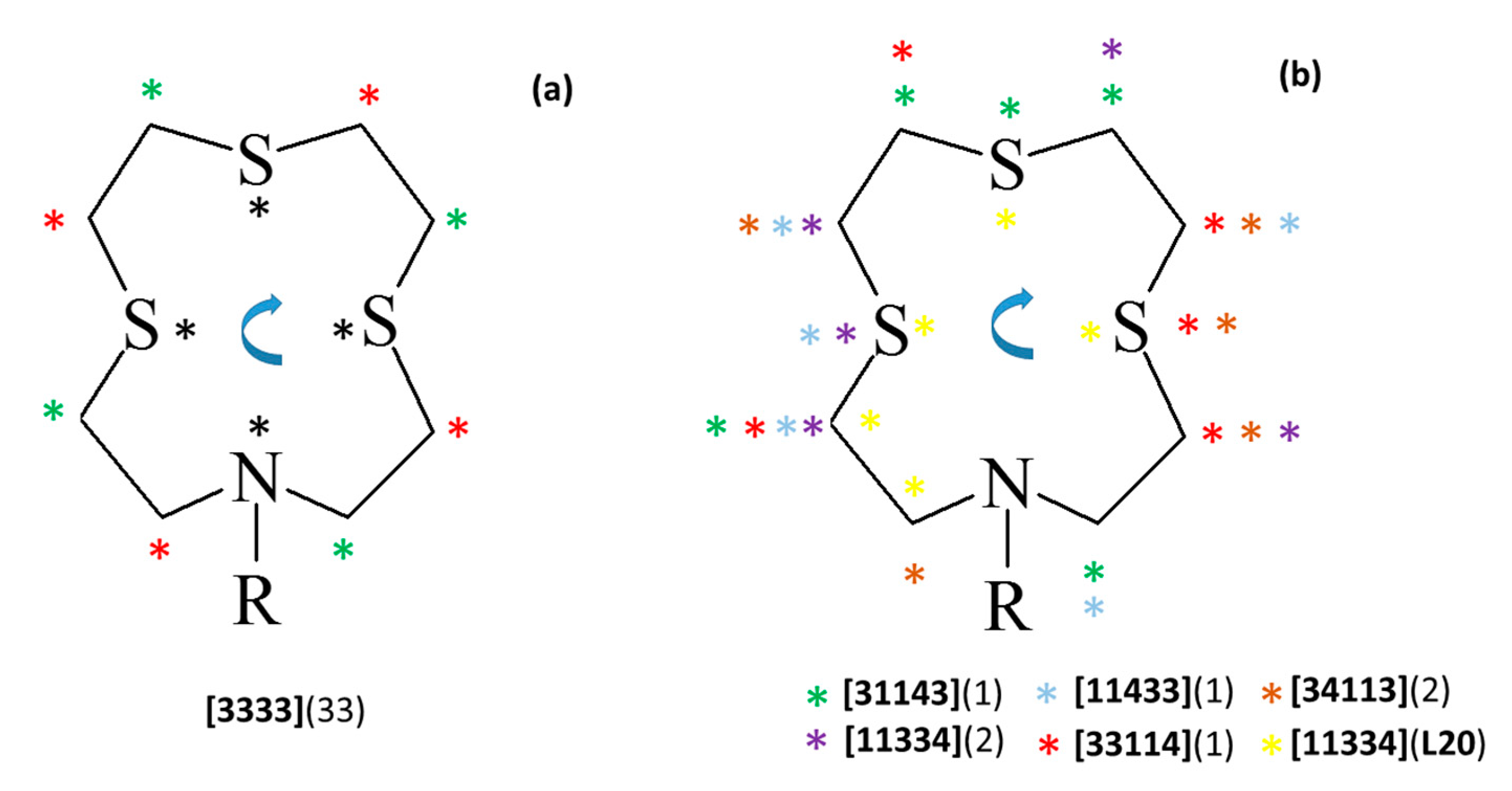
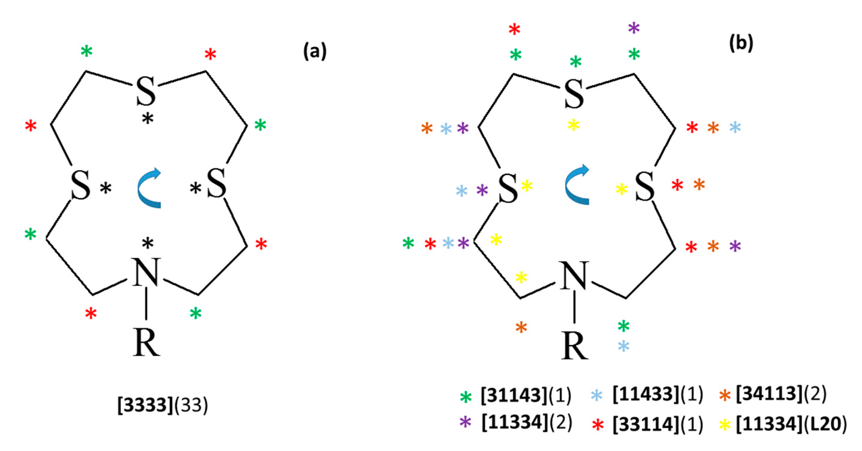
3. Results and Discussion
4. Conclusions
Supplementary Materials
Author Contributions
Funding
Data Availability Statement
Acknowledgments
Conflicts of Interest
References
- Glenny, M.W.; van de Water, L.G.A.; Vere, J.M.; Blake, A.J.; Wilson, C.; Driessen, W.L.; Reedijk, J.; Schröder, M. Improved synthetic methods to mixed-donor thiacrown ethers. Polyhedron 2006, 25, 599–612. [Google Scholar] [CrossRef]
- Glenny, M.W.; van de Water, J.M.; Driessen, W.L.; Reedijk, J.; Blake, A.J.; Wilson, C.; Schröder, M. Conformational and stereochemical flexibility in cadmium(II) complexes of aza-thioether macrocycles. Dalton Trans. 2004, 13, 1953–1959. [Google Scholar] [CrossRef] [PubMed]
- Donamaría, R.; Lippolis, V.; López-de-Luzuriaga, J.M.; Monge, M.; Nieddu, M.; Olmos, M.E. Tuning Au(I)∙∙∙Tl(I) Interactions via Mixed Thia-Aza Macrocyclic Ligands: Effects in the Structural and Luminescence Properties. Inorg. Chem. 2017, 56, 12551–12563. [Google Scholar] [CrossRef]
- Donamaría, R.; Lippolis, V.; López-de-Luzuriaga, J.M.; Monge, M.; Nieddu, M.; Olmos, M.E. Influence of the Number of Metallophilic Interactions and Structures on the Optical Properties of Heterometallic Au/Ag Complexes with Mixed-Donor Macrocyclic Ligands. Inorg. Chem. 2018, 57, 11099–11112. [Google Scholar] [CrossRef]
- Habata, Y.; Noto, K.; Osaka, F. Substituents Effects on the Structures of Silver Complexes with Monoazatrithia-12-Crown-4 Ethers Bearing Substituted Aromatic Rings. Inorg. Chem. 2007, 46, 6529–6534. [Google Scholar] [CrossRef] [PubMed]
- Hodorogea, A.M.; Silvestru, A.; Lippolis, V.; Pop, A. Group 12 metal complexes of mixed thia/aza and thia/oxa/aza macrocyclic ligands. Polyhedron 2022, 216, 115650. [Google Scholar] [CrossRef]
- Ogawa, T.; Koike, K.; Matsumoto, J.; Kajita, Y.; Masuda, H. Synthesis and characterization of tricarbonyl-molybdenum complexes bearing monoaza-trithia-macrocyclic ligands. Inorg. Chim. Acta 2013, 401, 101–106. [Google Scholar] [CrossRef]
- Habata, Y.; Osaka, F. Dimetallo[3.3]para- and metacyclophanes by self-assembly of pyridylmethyl armed-monoazatrithia- and monoazadithiaoxa-12-crown-4 ethers with Ag+. Dalton Trans. 2006, 15, 1836–1841. [Google Scholar] [CrossRef]
- Aragoni, M.C.; Arca, M.; Bencini, A.; Caltagirone, C.; Garau, A.; Isaia, F.; Light, M.E.; Lippolis, V.; Lodeiro, C.; Mameli, M.; et al. Zn2+/Cd2+ optical discrimination by fluorescent chemosensors based on 8-hydroxyquinoline derivatives and sulfur-containing macrocyclic units. Dalton Trans. 2013, 42, 14516–14530. [Google Scholar] [CrossRef]
- Bazzicalupi, C.; Caltagirone, C.; Cao, Z.; Chen, Q.; Di Natale, C.; Garau, A.; Lippolis, V.; Lvova, L.; Liu, H.; Lundström, I.; et al. Multimodal Use of New Coumarin-Based Fluorescent Chemosensors: Towards Highly Selective Optical Sensors for Hg2+ Probing. Chem. Eur. J. 2013, 19, 14639–14653. [Google Scholar] [CrossRef]
- Aragoni, M.C.; Arca, M.; Bencini, A.; Blake, A.J.; Caltagirone, C.; Decortes, A.; Demartin, F.; Devillanova, F.A.; Faggi, E.; Dolci, L.S.; et al. Coordination Chemistry of N-aminopropyl pendant arm derivatives of mixed N/S-, and N/S/O-donor macrocycles, and construction of selective fluorimetric chemosensors for heavy metal ions. Dalton Trans. 2005, 18, 2994–3004. [Google Scholar] [CrossRef]
- Love, J.B.; Vere, J.M.; Glenny, M.W.; Blake, A.J.; Schröder, M. Ditopic azathioethers macrocycles as hosts for transition metal salts. Chem. Commun. 2001, 2678–2679. [Google Scholar] [CrossRef]
- Glenny, M.W.; Lacombe, M.; Love, J.B.; Blake, A.J.; Lindoy, L.F.; Luckay, R.C.; Gloe, K.; Antonioli, B.; Wilson, C.; Schröder, M. Design and synthesis of heteroditopic aza-thioether macrocycles for metal extraction. New J. Chem. 2006, 30, 1755–1767. [Google Scholar] [CrossRef]
- Hoover, L.R.; Pryor, T.; Weitgenant, J.A.; Williams, P.E.; Storhoff, B.N.; Huffman, J.C. 4’ Diphenylphosphino and bromo derivatives of 10-phenyl-1,4,7-trithia-10-aza-cyclododecane 4-R-C6H4N(CH2CH2S)2CH2CH2SCH2CH2. Phosphorus Sulfur Silicon Relat. Elem. 1997, 122, 155–166. [Google Scholar] [CrossRef]
- Habata, Y.; Seo, J.; Otawa, S.; Osaka, F.; Noto, K.; Lee, S.S. Synthesis of diazahexathia-24-crown-8 derivatives structures of Ag+ complexes. Dalton Trans. 2006, 18, 2202–2206. [Google Scholar] [CrossRef] [PubMed]
- Masuri, S.; Cadoni, E.; Cabiddu, M.G.; Isaia, F.; Demuru, M.G.; Moraň, L.; Buček, D.; Vaňhara, P.; Havel, J.; Pivetta, T. The first copper(II) complex with 1,10-phenanthroline and salubrinal with interesting biochemical properties. Metallomics 2020, 12, 891–901. [Google Scholar] [CrossRef]
- Strohalm, M.; Kavan, D.; Novak, P.; Volný, M.; Havliček, V. mMass 3: Cross-platform Software Environment for Precise Analysis of Mass Spectrometric Data. Anal. Chem. 2010, 82, 4648–4651. [Google Scholar] [CrossRef]
- SAINT, Version 6.36a; Bruker AXS Inc.: Fitchburg, WI, USA, 2002.
- SMART, Version 5.624; Bruker AXS Inc.: Fitchburg, WI, USA, 2001.
- Altomare, A.; Cascarano, G.; Giacovazzo, C.; Guagliardi, A.; Burla, M.C.; Polidori, G.; Camalli, M. SIR92—A program for automatic solution of crystal structures by direct methods. J. Appl. Crystallogr. 1994, 27, 435–436. [Google Scholar] [CrossRef]
- CrysAlisPro, Version 1.171.37.35; Agilent Technologies: Oxfordshire, UK, 2014; Release 13-08-2014 CrysAlis171.NET.
- Sheldrick, G.M. SHELXT—Integrated Space-Group and Crystal-Structure Determination. Acta Crystallogr. Sect. A 2015, 71, 3–8. [Google Scholar] [CrossRef]
- Sheldrick, G.M. Crystal Structure Refinement with SHELXL. Acta Crystallogr. Sect. C 2015, 71, 3–8. [Google Scholar] [CrossRef]
- Dolomanov, O.V.; Bourhis, L.J.; Gildea, R.J.; Howard, J.A.K.; Puschmann, H. OLEX2: A Complete Structure Solution, Refinement and Analysis Program. J. Appl. Crystallogr. 2009, 42, 339–341. [Google Scholar] [CrossRef]
- Dale, J. Exploratory Calculations of Medium and Large Rings. Acta Chem. Scand. 1973, 27, 1115–1129. [Google Scholar] [CrossRef]
- Simone, R.E.; Glick, M.D. Structures of the macrocyclic polythiaether 1,4,8,11-tetrathiacyclotetradecane and implications for transition-metal chemistry. J. Am. Chem. Soc. 1976, 98, 762–767. [Google Scholar]
- Riley, D.P.; Oliver, J.D. Synthesis and crystal structure of a novel rhodium(I) complex of an inside-out hexathia crown ether. Inorg. Chem. 1983, 22, 3361–3363. [Google Scholar] [CrossRef]
- Blake, A.J.; Gould, R.O.; Halcrow, M.A.; Schröder, M. Conformational studies on [16]aneS4. Structures of α- and β-[16]aneS4 ([16]aneS4 = 1,5,9,13-tetrathiacyclohexadecane). Acta Crystallogr. Sect. B 1993, 49, 773–779. [Google Scholar] [CrossRef]
- Wolf, R.E.; Hartman, J.-A.R.; Storey, J.M.E.; Foxman, B.M.; Cooper, S.R. Crown thioether chemistry: Structural and conformational studies of tetrathia-12-crown-4, pentathia-15-crown-5, and hexathia-18-crown-6. Implications for ligand design. J. Am. Chem. Soc. 1987, 109, 4328–4335. [Google Scholar] [CrossRef]
- Bovil, M.J.; Chadwick, D.J.; Sutherland, I.O. Molecular mechanics calculations for ethers. The conformations of some crown ethers and the structure of the complex of 18-crown-6 with benzylammonium thiocyanate. J. Chem. Soc. Perkin Trans. 1980, 2, 1529–1543. [Google Scholar] [CrossRef]
- Mark, J.E.; Flory, P.J. The Configuration of the Polyoxyethylene Chain. J. Am. Chem. Soc. 1965, 87, 1415–1423. [Google Scholar] [CrossRef]







| L12 [3333] | L20 [11334] | L21∙CHCl3 [3333] | |
|---|---|---|---|
| N1−C2−C3−S4 | −172.90(14) | −66.0(3) | 172.32(9) |
| C2−C3−S4−C5 | 77.12(18) | 88.4(3) | −74.74(12) |
| C3−S4−C5−C6 | 75.95(19) | 74.0(3) | −72.83(12) |
| S4−C5−C6−S7 | −168.74(13) | 175.40(17) | 170.11(8) |
| C5−C6−S7−C8 | 65.4(2) | 59.4(3) | −70.10(12) |
| C6−S7−C8−C9 | 67.8(2) | 63.3(3) | −68.69(12) |
| S7−C8−C9−S10 | −173.99(13) | −166.01(19) | 173.80(8) |
| C8−C9−S10−C11 | 73.4(2) | 68.5(3) | −70.48(12) |
| C9−S10−C11−C12 | 75.6(2) | 66.8(3) | −75.57(12) |
| S10−C11−C12−N1 | −165.24(17) | −155.5(2) | 166.58(10) |
| C11−C12−N1−C2 | 64.8(3) | 166.2(3) | −67.18(6) |
| C12−N1−C2−C3 | 69.1(2) | −73.8(4) | −69.40(5) |
Disclaimer/Publisher’s Note: The statements, opinions and data contained in all publications are solely those of the individual author(s) and contributor(s) and not of MDPI and/or the editor(s). MDPI and/or the editor(s) disclaim responsibility for any injury to people or property resulting from any ideas, methods, instructions or products referred to in the content. |
© 2023 by the authors. Licensee MDPI, Basel, Switzerland. This article is an open access article distributed under the terms and conditions of the Creative Commons Attribution (CC BY) license (https://creativecommons.org/licenses/by/4.0/).
Share and Cite
Caltagirone, C.; Aragoni, M.C.; Arca, M.; Blake, A.J.; Demartin, F.; Garau, A.; Podda, E.; Pop, A.; Lippolis, V.; Silvestru, C. Functionalization and Coordination Effects on the Structural Chemistry of Pendant Arm Derivatives of 1,4,7-trithia-10-aza-cyclododecane ([12]aneNS3). Crystals 2023, 13, 616. https://doi.org/10.3390/cryst13040616
Caltagirone C, Aragoni MC, Arca M, Blake AJ, Demartin F, Garau A, Podda E, Pop A, Lippolis V, Silvestru C. Functionalization and Coordination Effects on the Structural Chemistry of Pendant Arm Derivatives of 1,4,7-trithia-10-aza-cyclododecane ([12]aneNS3). Crystals. 2023; 13(4):616. https://doi.org/10.3390/cryst13040616
Chicago/Turabian StyleCaltagirone, Claudia, Maria Carla Aragoni, Massimiliano Arca, Alexander John Blake, Francesco Demartin, Alessandra Garau, Enrico Podda, Alexandra Pop, Vito Lippolis, and Cristian Silvestru. 2023. "Functionalization and Coordination Effects on the Structural Chemistry of Pendant Arm Derivatives of 1,4,7-trithia-10-aza-cyclododecane ([12]aneNS3)" Crystals 13, no. 4: 616. https://doi.org/10.3390/cryst13040616
APA StyleCaltagirone, C., Aragoni, M. C., Arca, M., Blake, A. J., Demartin, F., Garau, A., Podda, E., Pop, A., Lippolis, V., & Silvestru, C. (2023). Functionalization and Coordination Effects on the Structural Chemistry of Pendant Arm Derivatives of 1,4,7-trithia-10-aza-cyclododecane ([12]aneNS3). Crystals, 13(4), 616. https://doi.org/10.3390/cryst13040616

