Up-Conversion Photoluminescence in Thulia and Ytterbia Co-Doped Yttria-Stabilized Zirconia Single Crystals
Abstract
:1. Introduction
2. Materials and Methods
2.1. Crystal Growth
2.2. Characterization
3. Results and Discussion
3.1. Structure Analysis
3.2. Absorption Spectra and Judd-Ofelt Analysis
3.3. Luminescence Properties
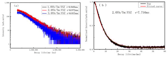
3.4. Luminescence Decay Kinetics
3.5. Color Chromaticity Coordinates
4. Conclusions
Author Contributions
Funding
Data Availability Statement
Acknowledgments
Conflicts of Interest
References
- Yan, Z.; Xu, W.; Ying, Z.; Yan, L.; Xi, Y. Optical temperature sensing of up-conversion luminescence materials: Fundamentals and process. J. Alloys Compd. 2020, 817, 152691. [Google Scholar]
- Naresh, V.; Adusumalli, V.; Park, Y.; Lee, N. NIR triggered NaYF4:Yb3+,Tm3+@NaYF4/CsPb(Br1-x/Ix)3 composite for up-converted white-light emission and dual-model anti-counterfeiting applications. Mater. Today Chem. 2022, 23, 100752. [Google Scholar] [CrossRef]
- Zhang, W.; Ji, X.; Chen, K.; Wang, C.; Sun, S. Thermochromic performance of a new temperature sensitive pigment based on rhodamine derivative in both liquid and solid systems. Prog. Org. Coat. 2019, 137, 105280. [Google Scholar] [CrossRef]
- Peng, Z.; Wen, W.; Li, W.; Ya, W.; Sheng, T.; Ze, C.; Shou, X.; Bernard, G.; Wen, D. Up-conversion luminescence and Judd-Ofelt analysis of Nd2O3-doped yttria stabilized zirconia single crystals. Crystengcomm 2022, 24, 5977–5986. [Google Scholar]
- Yong, Z.; Peng, L.; Xiang, L.; Hao, C.; Guo, X.; Zheng, Q. Up-conversion nanoparticles/PMMA composites for light-emitting applications. Nano 2021, 15, 2050023. [Google Scholar]
- Xi, J.; Zhong, Z.; Tian, Z.; Ce, L.; Zhuang, L.; Wei, Y.; Xin, W.; Xue, S.; Xu, Z.; Hong, S.; et al. Enhanced up-conversion luminescence intensity of NaY(MoO4)2:Ho3+/Yb3+ phosphor by doping with Mg2+ ions for use in high-efficiency optical temperature senser. J. Lumines. 2022, 245, 118759. [Google Scholar]
- Qiu, H.; Qi, W.; Feng, H.; Zheng, X.; Lei, Z.; Su, Z. Multicolor coding up-conversion nanoplatform for rapid screening of multiple foodborne pathogens. ACS Appl. Mater. Interfaces 2021, 13, 26782–26789. [Google Scholar]
- Xiao, F.; Lai, G.; Yi, H.; Qi, Z. Uniform spheres of α-NaYF4:RE3+ (RE = Eu, Tb, Ce, Er, and Tm): Template-free synthesis, multi-color photoluminescence, and their application in cellular imaging. Crystals 2020, 10, 119. [Google Scholar]
- Xiang, L.; Yun, W.; Pan, Z.; Wan, G. Highly sensitivity, selectivity chemosensor for methyl orange using upconversion NaBiF4: Yb/Tm nanosheets. J. Solid State Chem. 2021, 301, 122307. [Google Scholar]
- Joshi, R.; Perala, R.; Shelar, S.; Ballal, A.; Singh, B.; Ning, R. Super Bright Red Upconversion in NaErF4: 0.5%Tm @NaYF4: 20%Yb Nanoparticles for Anti-counterfeit and Bioimaging Applications. ACS Appl. Mater. Interfaces 2021, 13, 3481–3490. [Google Scholar] [CrossRef] [PubMed]
- Dai, W.; Wen, W.; Xiao, T.; Bernard, G.; Shou, X.; Wen, D. Upconversion visible light emission in Yb/Pr co-doped yttria-stabilized zirconia (YSZ) single crystals. Crystals 2021, 11, 1328. [Google Scholar]
- Shou, X.; Xiao, T.; Fen, L.; Lei, Z.; Yu, H.; Bernard, G.; Wen, D. Growth and optical properties of thulia-doped cubic yttria stabilized zirconia single crystals. Ceram. Int. 2019, 45, 15974–15979. [Google Scholar]
- Chang, L.; Aleksandr, A.; Maxim, M.; Aleksandr, A.; Victor, A. Microwave sol-gel synthesis and upconversion photoluminescence properties of CaGd2(WO4)4:Er3+/Yb3+ phosphors with incommensurately modulated structure. J. Solid State Chem. 2015, 228, 160–166. [Google Scholar]
- Sushil, R.; Manisha, M.; Vineet, R. Er3+-Yb3+/Er3+-Yb3+-Li+/Er3+-Yb3+-Zn2+:Gd2O3 nanophosphors for efficient frequency upconverter and temperature sensing applications. Mater. Res. Bull. 2018, 106, 66–73. [Google Scholar]
- Chang, L.; Aleksandr, A.; Maxim, M.; Aleksandr, O.; Victor, A. Structural and spectroscopic effects of Li+ substitution for Na+ in LixNa1-xCaGd0.5Ho0.05Yb0.45(MoO4)3 scheelite-type upconversion phosphors. Molecules 2021, 26, 7357. [Google Scholar]
- Krishna, K.; Upadhyay, M.; Kesarwani, V.; Kumar, K. Blue frequency upconversion emission and optical thermometry of Ca3(PO4)2: Tm3+/Yb3+. Optik 2023, 273, 170477. [Google Scholar] [CrossRef]
- Yan, W.; Mei, L.; Er, X.; Shou, X.; Yu, H.; Wen, D. Luminescent properties and first-principles calculations of (Cr,Ca):YAG crystals. Int. J. Mod. Phys. B 2017, 31, 1744070. [Google Scholar]
- Wen, D.; Zhen, C.; Yan, M.; Xiu, C.; Ding, X.; Yu, H. Micro-defects and optical properties of YAG:Ce crystals prepared by optical floating zone method. Int. J. Mod. Phys. B 2017, 31, 1744068. [Google Scholar]
- Xiu, C.; Xiao, L.; Xiao, C.; Shou, X.; Ding, X.; Wen, D. Preparation, characterization and optical properties of Dy-doped yttrium aluminum garnet. Int. J. Mod. Phys. B 2017, 31, 1744071. [Google Scholar]
- Fen, L.; Xiao, T.; Shou, X.; Xiang, W.; Bernard, G.; Wen, D. Micro-defects and luminescence of thulium-doped yttrium aluminum garnet single crystals. Physica B 2022, 628, 413568. [Google Scholar]
- Fen, L.; Bernard, G.; Xiao, T.; Xiang, W.; Dan, C.; Wen, D. Luminescence and EPR properties of high quality ruby crystals prepared by the optical floating zone method. Opt. Mater. 2019, 91, 183–188. [Google Scholar]
- Li, S.; Long, Z.; Lei, L. Quantitative effect of Zr content on the structure and Water-Gas shift reaction activities of supported on Ceria-Zirconia. Crystals 2018, 8, 261. [Google Scholar]
- Hua, C.; Xian, Q.; Bin, L.; Yu, L.; Yu, Z.; Rui, T.; Mei, Z.; Qi, Z. Synthesis and room-temperature ultraviolet photoluminescence properties of zirconia nanowires. Adv. Funct. Mater. 2004, 14, 243–246. [Google Scholar]
- Soares, M.R.N.; Ferro, M.; Costa, F.M.; Monteiro, T. Upconversion luminescence and blackbody radiation in tetragonal YSZ co-doped with Tm3+ and Yb3+. Nanoscale 2015, 7, 19958–19969. [Google Scholar] [CrossRef]
- Xiao, T.; Shou, X.; Lei, Z.; Fen, L.; Bernard, G.; Wen, D. Preparation and optical properties of Ho3+-doped YSZ single crystals. Appl. Phys. A-Mater. Sci. Process. 2018, 124, 853. [Google Scholar]
- Yashima, M.; Ohtake, K.; Kakihana, M.; Arashi, H.; Yoshimura, M. Determination of tetragonal-cubic phase boundary of Zr1− xRxO2−x/2 (R = Nd, Sm, Y, Er and Yb) by Raman scattering. J. Phys. Chem. Solids 1996, 57, 17–24. [Google Scholar] [CrossRef]
- Jin, Z.; Zeng, X.; Xin, W.; Sheng, G.; Xin, L.; Fei, G. Ferroelectric and spectroscopic properties of Ho3+/Yb3+ co-doped Pb(Mg1/3Nb2/3)O3-32PbTiO3 crystal. Crystals 2022, 12, 225. [Google Scholar]
- Judd, B.R. Optical absorption intensities of rare-earth ions. Phys. Rev. 1962, 127, 750. [Google Scholar] [CrossRef]
- Ofelt, G.S. Intensities of crystal spectra of rare-earth ions. J. Chem. Phys. 1962, 37, 511–520. [Google Scholar] [CrossRef]
- Xiao, T.; Shou, X.; Fen, L.; Xiang, W.; Bernard, G.; Ding, X.; Wen, D. Highly efficient up-conversion green emission in Ho/Yb co-doped yttria-stabilized zirconia single crystals. J. Lumines. 2019, 209, 95–101. [Google Scholar]
- Xiong, J.; Peng, H.; Zhao, C.; Huang, Y.; Zhang, L.; He, M.; Chen, G. Crystal growth, spectroscopic characterization, and laser performance of Tm: LiLuF4 crystal. Laser Phys. Lett. 2009, 6, 868–871. [Google Scholar] [CrossRef]
- Ermeneux, F.; Goutaudier, C.; Moncorge, R.; Cohen-Adad, M.; Bettinelli, M.; Cavalli, E. Growth and fluorescence properties of Tm3+ doped YVO4 and Y2O3 single crystals. Opt. Mater. 1997, 8, 83–90. [Google Scholar] [CrossRef]
- Caird, J.; DeShazer, L.; Nella, J. Characteristics of room-temperature 2.3-µm laser emission from Tm3+ in YAG and YAlO3. IEEE J. Quantum Electron. 1975, 11, 874–881. [Google Scholar] [CrossRef]
- Weber, M.; Varitimos, T.; Matsinger, B. Optical intensities of rare-earth ions in yttrium orthoaluminate. Phys. Rev. B. 1973, 8, 47–53. [Google Scholar] [CrossRef]
- Guo, J.; Chao, T.; Zhen, Y.; Jian, L.; Zhao, Z.; Bai, W. Thermal properties and polarized spectral analysis of Tm3+: SrWO4 crystal. Solid State Commun. 2005, 134, 583–588. [Google Scholar]
- Gao, S.; Zhu, Z.; Wang, Y.; Li, J.; Tu, C. Polarized spectroscopic characterization and energy transfer of Tm3+-, Ho3+-BaLaGa3O7: New promising 2.0 µm laser crystals. Laser Phys. 2014, 24, 085004. [Google Scholar] [CrossRef]
- Xing, H.; Rui, W.; Yi, W.; Pei, Z.; Si, Z.; Zhen, C.; Yi, Z.; Gui, Z. A novel crystal Tm: Lu0.8Gd0.8Y0.4SiO5 with potential for broadband tunable lasing. Infrared Phys. Technol. 2018, 88, 81–86. [Google Scholar]
- Lisiecki, R.; Ryba-Romanowski, W.; Lukasiewicz, T. Relaxation of excited states fo Tm3+ and Tm3+- Eu3+ energy transfer in YVO4 crystal. Appl. Phys. B-Lasers Opt. 2006, 83, 255–259. [Google Scholar] [CrossRef]
- Kei, Y.; Tian, F.; Sheng, Z.; Cheng, L.; Tao, L.; Wei, M.; Zheng, Z.; Qing, W.; Liang, S.; Piotr, S.; et al. Spectral and laser performance of a Tm3+:ScYSiO5 crystal. J. Alloys Compd. 2017, 712, 412–417. [Google Scholar]










| Samples | Composition (mol%) | ||
|---|---|---|---|
| YSZ | Tm2O3 | Yb2O3 | |
| 1.0Yb/Tm: YSZ | 98.5 | 0.5 | 1.0 |
| 2.0Yb/Tm: YSZ | 97.5 | 0.5 | 2.0 |
| 3.0Yb/Tm: YSZ | 96.5 | 0.5 | 3.0 |
| 4.0Yb/Tm: YSZ | 95.5 | 0.5 | 4.0 |
| 5.0Yb/Tm: YSZ | 94.5 | 0.5 | 5.0 |
| Samples | Cell Parameters (Å) a = b = c |
|---|---|
| 1.0Yb/Tm: YSZ | 5.1590 |
| 2.0Yb/Tm: YSZ | 5.1581 |
| 3.0Yb/Tm: YSZ | 5.1580 |
| 4.0Yb/Tm: YSZ | 5.1555 |
| 3H6 | (nm) | Doubly Reduced Matrix Elements | Oscillator Strengths (10−20 cm2) | |||
|---|---|---|---|---|---|---|
| ‖U2‖2 | ‖U2‖4 | ‖U2‖6 | Fexp | Fcal | ||
| 1D2 | 359.62 | 0 | 0.3156 | 0.0928 | 0.0556 | 0.0533 |
| 1G4 | 482.73 | 0.0483 | 0.0748 | 0.0125 | 0.0914 | 0.0309 |
| 3F2 + 3F3 | 679.96 | 0 | 0.3164 | 1.0922 | 0.2338 | 0.2093 |
| 3H4 | 781.75 | 0.2373 | 0.1090 | 0.5947 | 0.1957 | 0.2028 |
| 3H5 | 1193.25 | 0.1074 | 0.2314 | 0.6383 | 0.2802 | 0.1714 |
| 3F4 | 1688.91 | 0.5375 | 0.7261 | 0.2382 | 0.3893 | 0.3465 |
| RMS ΔS (10−20 cm2) | 0.077 | |||||
| Crystal | Ω2 (10−20 cm2) | Ω4 (10−20 cm2) | Ω6 (10−20 cm2) | Ω4/Ω6 | Ref |
|---|---|---|---|---|---|
| LLF | 0.93 | 1.19 | 1.75 | 0.68 | [31] |
| YVO4 | 9 | 1.05 | 2.7 | 0.389 | [32] |
| SrWO4 | 7.41 | 0.25 | 0.98 | 0.15 | [33] |
| YAG | 0.7 | 1.2 | 0.5 | 2.4 | [34] |
| YAP | 0.67 | 2.30 | 0.74 | 3.108 | [34] |
| YLF | 2.42 | 1.28 | 0.90 | 1.422 | [35] |
| SrGdGa3O7 | 1.29 | 1.08 | 0.47 | 2.3 | [36] |
| YSZ | 0.41 | 0.12 | 0.15 | 0.80 | This work |
| Initial Level | Final Level | (nm) | Aed | β | τrad (ms) |
|---|---|---|---|---|---|
| 1G4 | 3F2 | 1634 | 3.193 | 0.56 | 1.764 |
| 3F3 | 1494 | 14.006 | 2.47 | ||
| 3H4 | 1177 | 59.520 | 10.50 | ||
| 3F4 | 763 | 210.582 | 37.15 | ||
| 3H5 | 666 | 42.751 | 7.54 | ||
| 3H6 | 488 | 236.809 | 41.78 | ||
| 3H4 | 3H5 | 2166 | 4.981 | 1.40 | 2.819 |
| 3F4 | 1432 | 27.057 | 7.63 | ||
| 3H6 | 801.8 | 322.641 | 90.97 |
| Sample | CIE x | CIE y |
|---|---|---|
| 1.0Yb/Tm: YSZ | 0.1080 | 0.2661 |
| 2.0Yb/Tm: YSZ | 0.1164 | 0.2521 |
| 3.0Yb/Tm: YSZ | 0.1116 | 0.2528 |
| 4.0Yb/Tm: YSZ | 0.1057 | 0.2576 |
Disclaimer/Publisher’s Note: The statements, opinions and data contained in all publications are solely those of the individual author(s) and contributor(s) and not of MDPI and/or the editor(s). MDPI and/or the editor(s) disclaim responsibility for any injury to people or property resulting from any ideas, methods, instructions or products referred to in the content. |
© 2023 by the authors. Licensee MDPI, Basel, Switzerland. This article is an open access article distributed under the terms and conditions of the Creative Commons Attribution (CC BY) license (https://creativecommons.org/licenses/by/4.0/).
Share and Cite
Huang, D.; Xiao, T.; Fu, B.; Xu, S.; Huang, Y.; Deng, W.; Zhou, Z. Up-Conversion Photoluminescence in Thulia and Ytterbia Co-Doped Yttria-Stabilized Zirconia Single Crystals. Crystals 2023, 13, 460. https://doi.org/10.3390/cryst13030460
Huang D, Xiao T, Fu B, Xu S, Huang Y, Deng W, Zhou Z. Up-Conversion Photoluminescence in Thulia and Ytterbia Co-Doped Yttria-Stabilized Zirconia Single Crystals. Crystals. 2023; 13(3):460. https://doi.org/10.3390/cryst13030460
Chicago/Turabian StyleHuang, Danni, Tong Xiao, Beibei Fu, Shoulei Xu, Yuyang Huang, Wen Deng, and Zhukun Zhou. 2023. "Up-Conversion Photoluminescence in Thulia and Ytterbia Co-Doped Yttria-Stabilized Zirconia Single Crystals" Crystals 13, no. 3: 460. https://doi.org/10.3390/cryst13030460
APA StyleHuang, D., Xiao, T., Fu, B., Xu, S., Huang, Y., Deng, W., & Zhou, Z. (2023). Up-Conversion Photoluminescence in Thulia and Ytterbia Co-Doped Yttria-Stabilized Zirconia Single Crystals. Crystals, 13(3), 460. https://doi.org/10.3390/cryst13030460

