Ultra-High-Speed Growth of GaAs Solar Cells by Triple-Chamber Hydride Vapor Phase Epitaxy
Abstract
1. Introduction
2. Materials and Methods
3. Results
3.1. GaAs Reaction Processes
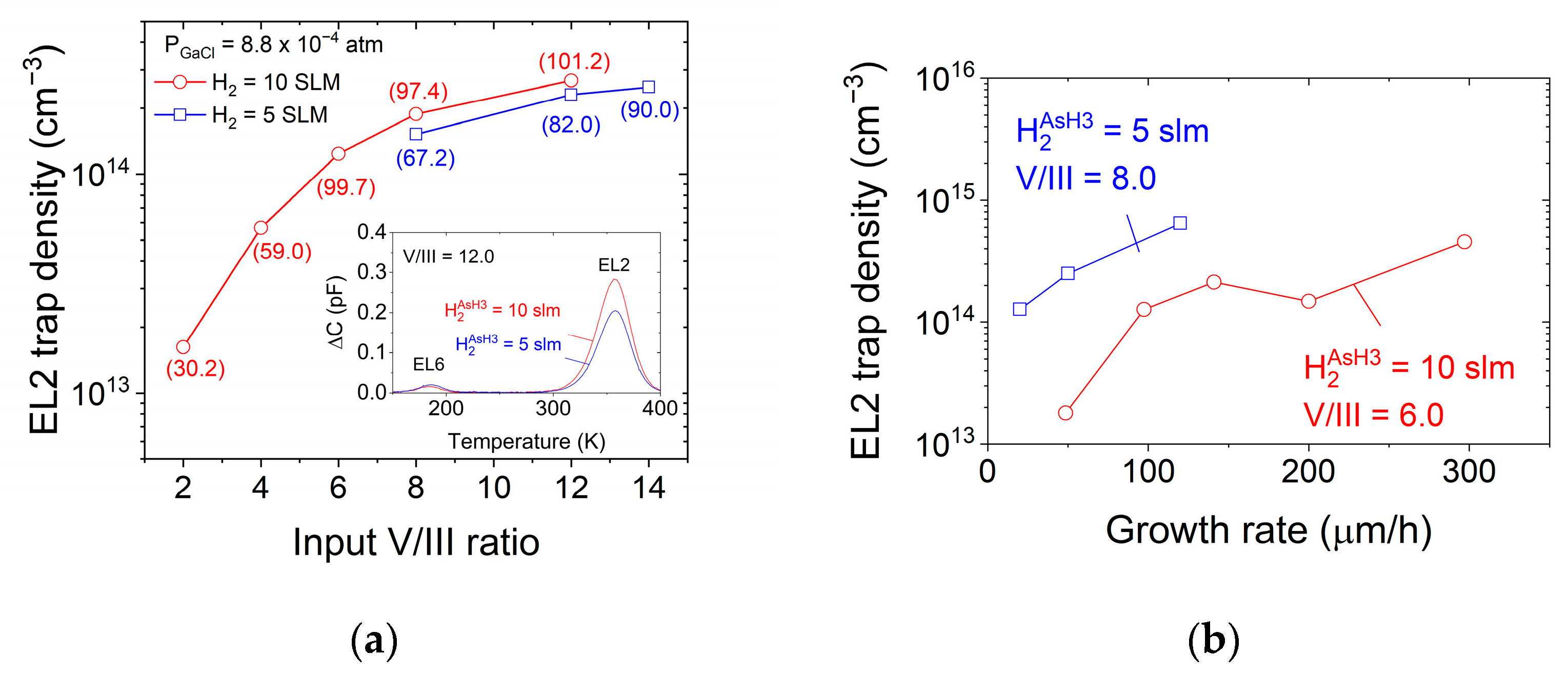
3.2. DLTS Defect Analysis
3.3. GaAs Solar Cell Performance
4. Conclusions
Author Contributions
Funding
Data Availability Statement
Acknowledgments
Conflicts of Interest
Appendix A

References
- Masuda, T.; Araki, K.; Okumura, K.; Urabe, S.; Kudo, Y.; Kimura, K.; Nakado, T.; Sato, A.; Yamaguchi, M. Static concentrator photovoltaics for automotive applications. Sol. Energy 2017, 146, 523–531. [Google Scholar] [CrossRef]
- Yablonovitch, E.; Gmitter, T.; Harbison, J.P.; Bhat, R. Extreme selectivity in the lift-off of epitaxial GaAs films. Appl. Phys. Lett. 1987, 51, 2222–2224. [Google Scholar] [CrossRef]
- Shahrjerdi, D.; Bedell, S.W.; Bayram, C.; Lubguban, C.C.; Fogel, K.; Lauro, P.; Ott, J.A.; Hopstaken, M.; Gayness, M.; Sadana, D. Ultralight high-Efficiency flexible InGaP/(In)GaAs tandem solar cells on plastic. Adv. Energy Mater. 2013, 3, 566–571. [Google Scholar] [CrossRef]
- Green, M.A.; Dunlop, E.D.; Hohl-Ebinger, J.; Yoshita, M.; Kopidakis, N.; Bothe, K.; Hinken, H.; Rauer, M.; Hao, X. Solar cell efficiency tables (Version 60). Prog. Photovolt. Res. Appl. 2022, 30, 687–701. [Google Scholar] [CrossRef]
- Müller, R.; Schygulla, P.; Lackner, D.; Höhn, O.; Hauser, H.; Richter, A.; Fell, A.; Bläsi, B.; Predan, P.; Benick, J.; et al. Silicon-based monolithic triple-junction solar cells with conversion efficiency >34%. In Proceedings of the 37th European Photovoltaic Solar Energy Conference and Exhibition, Lisbon, Portugal, 7–11 September 2020; pp. 574–578. [Google Scholar]
- Essig, S.; Allebé, C.; Remo, T.; Geisz, J.F.; Steiner, M.A.; Horowitz, K.; Barraud, L.; Scott Ward, J.; Schnabel, M.; Descoeudres, A.; et al. Raising the one-sun conversion efficiency of III–V/Si solar cells to 32.8% for two junctions and 35.9% for three junctions. Nat. Energy 2017, 2, 17144. [Google Scholar] [CrossRef]
- Makita, K.; Kamikawa, Y.; Koida, T.; Mizuno, H.; Oshima, R.; Shoji, Y.; Ishizuka, S.; Takamoto, T.; Sugaya, T. Mechanical stacked GaAs//CuIn1−yGaySe2 three-junction solar cells with 30% efficiency via an improved bonding interface and area current-matching technique. Prog. Photovolt. Res. Appl. 2023, 31, 71–84. [Google Scholar] [CrossRef]
- McClure, E.L.; Schulte, K.L.; Simon, J.; Metaferia, W.; Ptak, A.J. GaAs growth rates of 528 μm/h using dynamic-hydride vapor phase epitaxy with a nitrogen carrier gas. Appl. Phys. Lett. 2020, 116, 182102. [Google Scholar] [CrossRef]
- Grüter, K.; Deschler, M.; Jürgensen, H.; Beccard, R.; Balk, P. Deposition of high-quality GaAs films at fast rates in the LP-CVD system. J. Cryst. Growth 1989, 94, 607–612. [Google Scholar] [CrossRef]
- Oshima, R.; Makita, K.; Ubukata, A.; Sugaya, T. Improvement of heterointerface properties of GaAs solar cells grown with InGaP layers by hydride vapor-phase epitaxy. IEEE J. Photovolt. 2019, 9, 154–159. [Google Scholar] [CrossRef]
- Shoji, Y.; Oshima, R.; Makita, K.; Ubukata, A.; Sugaya, T. InGaP/GaAs dual-junction solar cells with AlInGaP passivation layer grown by hydride vapor phase epitaxy. Prog. Photovolt. Res. Appl. 2021, 29, 1285–1293. [Google Scholar] [CrossRef]
- Shoji, Y.; Oshima, R.; Makita, K.; Ubukata, A.; Sugaya, T. 28.3% efficient III–V tandem solar cells fabricated using a triple-chamber hydride vapor phase epitaxy system. Sol. RRL 2022, 6, 2100948. [Google Scholar] [CrossRef]
- Boyer, J.T.; Schulte, K.L.; Young, M.R.; Ptak, A.J.; Simon, J. AlInP-passivated III–V solar cells grown by dynamic hydride vapor-phase epitaxy. Prog. Photovolt. Res. Appl. 2022, 31, 230–236. [Google Scholar] [CrossRef]
- Reddy, C.V.; Fung, S.; Beling, C.D. Nature of the bulk defects in GaAs through high-temperature quenching studies. Phys. Rev. B 1996, 54, 11290–11297. [Google Scholar] [CrossRef]
- Schmieder, K.J.; Armour, E.A.; Lumb, M.P.; Yakes, M.K.; Pulwin, Z.; Frantz, J.; Walters, R.J. Effect of growth temperature on GaAs solar cells at high MOCVD growth rates. IEEE J. Photovolt. 2017, 7, 340–346. [Google Scholar] [CrossRef]
- Ban, V.S. Mass spectrometric and thermodynamics studies of the CVD of some III–V compounds. J. Cryst. Growth 1972, 17, 19–30. [Google Scholar] [CrossRef]
- Schulte, K.L.; Braun, A.; Simon, J.; Ptak, A.J. High growth rate hydride vapor phase epitaxy at low temperature through use of uncracked hydrides. J. Appl. Phys. 2018, 112, 042101. [Google Scholar] [CrossRef]
- Schulte, K.L.; Kuech, T.F. A model for arsenic anti-site incorporation in GaAs grown by hydride vapor phase epitaxy. J. Appl. Phys. 2014, 116, 243504. [Google Scholar] [CrossRef]
- Metaferia, W.; Schulte, K.L.; Simon, J.; Johnston, S.; Ptak, A.J. Gallium arsenide solar cells grown at rates exceeding 300 μm h−1 by hydride vapor phase epitaxy. Nat. Commun. 2019, 10, 3361. [Google Scholar] [CrossRef]
- Oshima, R.; Shoji, Y.; Makita, K.; Ubukata, A.; Sugaya, T. Evaluation of GaAs solar cells grown under different conditions via hydride vapor phase epitaxy. J. Cryst. Growth 2020, 537, 125600. [Google Scholar] [CrossRef]
- Tokuda, Y.; Shimizu, N.; Usami, A. Studies of neutron-produced defects in silicon by deep-level transient spectroscopy. Jpn. J. Appl. Phys. 1979, 18, 309–315. [Google Scholar] [CrossRef]
- Zohta, Y.; Watanabe, M.O. On the determination of the spatial distribution of deep centers in semiconducting thin films from capacitance transient spectroscopy. J. Appl. Phys. 1982, 53, 1809–1811. [Google Scholar] [CrossRef]
- King, R.R.; Bhusari, D.; Boca, A.; Larrabee, D.; Liu, X.Q.; Hong, W.; Fetzer, C.M.; Law, D.C.; Karam, N.H. Band gap-voltage offset and energy production in next-generation multijunction solar cells. Prog. Photovolt. Res. Appl. 2011, 19, 797–812. [Google Scholar] [CrossRef]
- Shoji, Y.; Oshima, R.; Makita, K.; Ubukata, A.; Sugaya, T. III-V solar cells with AlInGaP window layer grown by low-cost hydride vapor phase epitaxy. In Proceedings of the 31st International Photovoltaics Science and Engineering Conference, Online, 13–15 December 2021. [Google Scholar]
- Sodabanlu, H.; Ubukata, A.; Watanabe, K.; Koseki, S.; Matsumoto, K.; Sugaya, T.; Nakano, Y.; Sugiyama, M. 24.5% efficient GaAs p-on-n solar cells with 120 µm h−1 MOVPE growth. J. Phys. D Appl. Phys. 2019, 52, 105501. [Google Scholar] [CrossRef]
- Lang, R.; Schön, J.; Dimroth, F.; Lackner, D. Optimization of GaAs solar cell performance and growth efficiency at MOVPE growth rates of 100 μm/h. IEEE J. Photovolt. 2018, 8, 1596–1600. [Google Scholar] [CrossRef]
- Geisz, J.F.; Steiner, M.A.; García, I.; Kurtz, S.R.; Friedman, D.J. Enhanced external radiative efficiency for 20.8% efficient single-junction GaInP solar cells. Appl. Phys. Lett. 2013, 103, 041118. [Google Scholar] [CrossRef]
- Peiner, E.; Schlachetzki, A.; Krüger, D. Doping profile analysis in Si by electrochemical capacitance-voltage measurements. J. Electrochem. Soc. 1995, 142, 576–580. [Google Scholar] [CrossRef]






Disclaimer/Publisher’s Note: The statements, opinions and data contained in all publications are solely those of the individual author(s) and contributor(s) and not of MDPI and/or the editor(s). MDPI and/or the editor(s) disclaim responsibility for any injury to people or property resulting from any ideas, methods, instructions or products referred to in the content. |
© 2023 by the authors. Licensee MDPI, Basel, Switzerland. This article is an open access article distributed under the terms and conditions of the Creative Commons Attribution (CC BY) license (https://creativecommons.org/licenses/by/4.0/).
Share and Cite
Oshima, R.; Ogura, A.; Shoji, Y.; Makita, K.; Ubukata, A.; Koseki, S.; Imaizumi, M.; Sugaya, T. Ultra-High-Speed Growth of GaAs Solar Cells by Triple-Chamber Hydride Vapor Phase Epitaxy. Crystals 2023, 13, 370. https://doi.org/10.3390/cryst13030370
Oshima R, Ogura A, Shoji Y, Makita K, Ubukata A, Koseki S, Imaizumi M, Sugaya T. Ultra-High-Speed Growth of GaAs Solar Cells by Triple-Chamber Hydride Vapor Phase Epitaxy. Crystals. 2023; 13(3):370. https://doi.org/10.3390/cryst13030370
Chicago/Turabian StyleOshima, Ryuji, Akio Ogura, Yasushi Shoji, Kikuo Makita, Akinori Ubukata, Shuuichi Koseki, Mitsuru Imaizumi, and Takeyoshi Sugaya. 2023. "Ultra-High-Speed Growth of GaAs Solar Cells by Triple-Chamber Hydride Vapor Phase Epitaxy" Crystals 13, no. 3: 370. https://doi.org/10.3390/cryst13030370
APA StyleOshima, R., Ogura, A., Shoji, Y., Makita, K., Ubukata, A., Koseki, S., Imaizumi, M., & Sugaya, T. (2023). Ultra-High-Speed Growth of GaAs Solar Cells by Triple-Chamber Hydride Vapor Phase Epitaxy. Crystals, 13(3), 370. https://doi.org/10.3390/cryst13030370

