Coercivity Enhancement of Sintered Nd-Pr-Fe-B Magnets by Cost-Effective Grain Boundary Diffusion of Dy/Tb Films
Abstract
:1. Introduction
2. Materials and Methods
3. Results and Discussion
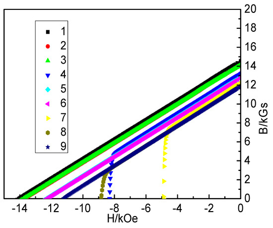
3.1. Magnetic Properties
3.2. Microstructure and Chemical Composition
4. Conclusions
Author Contributions
Funding
Conflicts of Interest
References
- Gutfleisch, O.; Willard, M.A.; Bruck, E.; Chen, C.H.; Sankar, S.G.; Liu, J.P. Magnetic materials and devices for the 21st century: Stronger, Lighter, and More Energy Efficient. Adv. Mater. 2011, 23, 821–842. [Google Scholar] [CrossRef] [PubMed]
- Sugimoto, S. Current status and recent topics of rare-earth permanent magnets. J. Phys. D Appl. Phys. 2011, 44, 110–118. [Google Scholar] [CrossRef]
- Deng, X.; Ge, J. Global wind power development leads to high demand for neodymium praseodymium (NdPr): A scenario analysis based on market and technology development from 2019 to 2040. J. Clean. Prod. 2020, 277, 123299. [Google Scholar] [CrossRef]
- Gao, R.W.; Jiang, S.T.; Li, H.; Qiu, M.Y.; Guo, Y.C. A study on demagnetization process and coercivity mechanism in oriented sintered Nd-Fe-B permanent alloy. Acta Phys. Sin. 1989, 38, 439. (In Chinese) [Google Scholar]
- Liu, X.B.; Altounian, Z. The partitioning of Dy and Tb in Nd-Fe-B magnets: A first-principles study. J. Appl. Phys. 2012, 111, 07A701. [Google Scholar] [CrossRef]
- You, C.Y.; Zhu, J.; Tian, N.; Lu, Z.X. Coercivity enhancement of Nd-Fe-B thin film magnets through dy surface diffusion process. J. Mater. Sci. Technol. 2011, 27, 826–830. [Google Scholar] [CrossRef]
- Hirosawa, S.; Yamaguchi, Y.; Tokuhara, K.; Yamamoto, H.; Fujimura, S.; Sagawa, M. Magnetic Properties of Nd2(Fe1−xMx)14B Measured on Single Crystals (M = Al, Cr, Mn and Co). IEEE Trans. Magn. 1987, 23, 2120. [Google Scholar] [CrossRef]
- Sepehri-Amin, H.; Une, Y.; Ohkubo, T.; Hono, K.; Sagawa, M. Microstructure of fine grained Nd-Fe-B sintered magnets with high coercivity. Scr. Mater. 2011, 65, 396. [Google Scholar] [CrossRef]
- Boltich, E.B.; Oswald, E.; Huang, M.Q.; Hirosawa, S.; Wallace, W.E.; Burzo, E. Magnetic characteristics of R2Fe14B systems prepared with high purity rare earths (R = Ce, Pr, Dy, and Er). J. Appl. Phys. 1985, 57, 4106. [Google Scholar] [CrossRef]
- Liu, W.; Li, Y.; Wu, D.; Yue, M.; Wang, Z.; Zha, S.; Liu, Y.; Yi, X.; Du, Y. Coercivity enhancement mechanism of grain boundary diffused Nd-Fe-B sintered magnets by magnetic domain evolution observation. J. Rare Earths 2021, 39, 682–688. [Google Scholar] [CrossRef]
- Nakamura, H.; Hirota, K.; Shimao, M. Magnetic properties of extremely small Nd-Fe-B sintered magnets. IEEE Trans. Magn. 2005, 41, 3844–3846. [Google Scholar] [CrossRef]
- Chen, W.; Luo, J.M.; Guan, Y.W.; Huang, Y.L.; Chen, M.; Hou, Y.H. Grain boundary diffusion of Dy films prepared by magnetron sputtering for sintered Nd-Fe-B magnets. J. Phys. D Appl. Phys. 2018, 51, 185001. [Google Scholar] [CrossRef]
- Suzuki, H.; Satsu, Y.; Komuro, M. Magnetic properties of a Nd-Fe-B sintered magnet with Dy segregation. J. Appl. Phys. 2009, 105, 07A734. [Google Scholar] [CrossRef]
- Wu, B.; Zhang, Q.; Li, W.; Ding, X.; Yang, L.; Ghafar Wattoo, A.; Zhang, L.; Mao, S.; Song, Z. Grain boundary diffusion of magnetron sputter coated heavy rare earth elements in sintered Nd-Fe-B magnet. J. Appl. Phys. 2018, 123, 245112. [Google Scholar] [CrossRef]
- Bae, K.H.; Lee, S.R.; Kim, H.J.; Lee, M.W.; Jang, T.S. Effect of oxygen content of Nd–Fe–B sintered magnet on grain boundary diffusion process of DyH2 dip-coating. J. Appl. Phys. 2015, 118, 203902. [Google Scholar] [CrossRef]
- Guo, S.; Zhang, X.F.; Ding, G.F.; Chen, R.J.; Lee, D.; Yan, A. Coercivity enhancement of sintered Nd-Fe-B magnets by chemical bath deposition of TbCl3. J. Appl. Phys. 2014, 115, 17A754. [Google Scholar] [CrossRef]
- Hirota, K.; Nakamura, H.; Minowa, T.; Honshima, M. Coercivity enhancement by the grain boundary diffusion process to Nd-Fe-B sintered magnets. IEEE Trans. Magn. 2006, 42, 2909. [Google Scholar] [CrossRef]
- Hu, S.Q.; Peng, K.; Chen, H. Influence of annealing temperature on the Dy diffusion process in NdFeB magnets. J. Magn. Magn. Mater. 2017, 426, 340. [Google Scholar] [CrossRef]
- Li, D.; Suzuki, S.; Kawasaki, T.; Machida, K. Grain Interface Modification and Magnetic Properties of Nd-Fe-B Sintered Magnets. Jpn. J. Appl. Phys. 2008, 47, 7876. [Google Scholar] [CrossRef]
- Sepehri-Amin, H.; Ohkubo, T.; Hono, K. Grain boundary structure and chemistry of Dy-diffusion processed Nd-Fe-B sintered magnets. J. Appl. Phys. 2010, 107, 09A745. [Google Scholar] [CrossRef]
- Loewe, K.; Benke, B.; Kubel, C.; Lienig, T.; Skokov, K.P.; Gutfleisch, O. Grain boundary diffusion of different rare earth elements in Nd-Fe-B sintered magnets by experiment and FEM simulation. Acta Mater. 2017, 124, 421. [Google Scholar] [CrossRef]
- Lu, K.C.; Bao, X.Q.; Tang, M.H.; Chen, G.X.; Mu, X.; Li, J.H.; Gao, X.X. Boundary optimization and coercivity enhancement of high (BH)max Nd-Fe-B magnet by diffusing Pr-Tb-Cu-Al alloys. Scr. Mater. 2017, 138, 83. [Google Scholar] [CrossRef]
- Popov, A.G.; Vasilenko, D.Y.; Puzanova, T.Z.; Shitov, A.V.; Vlasyuga, A.V. Effect of diffusion annealing on the hysteretic properties of sintered Nd-Fe-B magnets. Phys. Met. Metallogr. 2011, 111, 471. [Google Scholar] [CrossRef]
- Sepehri-Amin, H.; Ohkubo, T.; Hono, K. The mechanism of coercivity enhancement by the grain boundary diffusion process of Nd-Fe-B sintered magnets. Acta Mater. 2013, 61, 1982. [Google Scholar] [CrossRef]
- Cao, X.J.; Chen, L.; Guo, S.; Fan, F.C.; Chen, R.J.; Yan, A. Effect of rare earth content on TbF3 diffusion in sintered Nd-Fe-B magnets by electrophoretic deposition. Scr. Mater. 2017, 131, 24. [Google Scholar] [CrossRef]
- Cao, X.J.; Chen, L.; Guo, S.; Li, X.B.; Yi, P.P.; Yan, A.R.; Yan, G.L. Coercivity enhancement of sintered Nd-Fe-B magnets by efficiently diffusing DyF3 based on electrophoretic deposition. J. Alloys Compd. 2015, 631, 315. [Google Scholar] [CrossRef]
- Komuro, M.; Satsu, Y.; Suzuki, H. Increase of coercivity and composition distribution in fluoride-diffused NdFeB sintered magnets treated by fluoride solutions. IEEE Trans. Magn. 2010, 46, 3831. [Google Scholar] [CrossRef]
- Loewe, K.; Brombacher, C.; Katter, M.; Gutfleisch, O. Temperature-dependent Dy diffusion processes in Nd-Fe-B permanent magnets. Acta Mater. 2015, 83, 248. [Google Scholar] [CrossRef]
- Xie, H.Z. Theory and Practice of NdFeB Oxygen Free Process Technology; Metallurgical Industry Press: Beijing, China, 2018; pp. 1–5. [Google Scholar]
- Li, Z.Q.; Zhang, Y.M.; Zhao, N.; Liu, L.; Mao, C.Y. A Manufacturing Method of Neodymium Iron Boron with High Coercivity. China Patent CN105655077B; (Application granted 17 October 2017),
- Chen, F.; Zhang, L.; Jin, Y.; Cheng, Y. Simultaneous enhancement of the coercivity and remanence at high temperatures in a sintered Nd-Fe-B magnet after grain boundary diffusion with Dy60Co40 alloy. Mater. Charact. 2018, 144, 547. [Google Scholar] [CrossRef]
- Chen, F.G. Recent progress of grain boundary diffusion process of Nd-Fe-B magnets. J. Magn. Magn. Mater. 2020, 514, 167227. [Google Scholar] [CrossRef]
- Seelam, U.M.R.; Ohkubo, T.; Abe, T.; Hirosawa, S.; Hono, K. Faceted shell structure in grain boundary diffusion-processed sintered Nd-Fe-B magnets. J. Alloys Compd. 2014, 617, 884. [Google Scholar] [CrossRef]
- Xu, J.Y.; Hu, C.L.; Zhang, J.T.; Dong, S.Z.; Chen, H.S. Research progress of high temperatures stable sintered Nd-Fe-B magnets. Met. Funct. Mater. 2022, 29, 106. [Google Scholar]
- Hu, X.J.; Guo, Z.H.; Pan, W.; Li, W. The effects of intrinsic coercivity Hcj on the thermal stability of Nd-Fe-B magnets. Met. Funct. Mater. 2004, 1, 2. [Google Scholar]
- Wei, G.; Zhao, M.; Xia, X.; Ju, J.; Du, Y.; Huang, Y.; Tang, X.; Yin, W.; Chen, R.; Yan, A. Ultrahigh coercivity and excellent thermal stability of hot-deformed Nd-Fe-B magnets by the diffusion of (Pr, Nd)-Dy-Cu-Al. J. Alloys Compd. 2023, 960, 170756. [Google Scholar] [CrossRef]





| Sample | Temperature (°C) | Br (kGs) | α (%/°C) | Hcj (kOe) | β (%/°C) | (BH)max (MGOe) |
|---|---|---|---|---|---|---|
| Original | 20 | 14.42 | 16.7 | 50.2 | ||
| 100 | 13.18 | −0.11 | 8.4 | −0.62 | 41.5 | |
| 150 | 12.17 | −0.12 | 4.9 | −0.54 | 33 | |
| Dy-diffused | 20 | 14.11 | 24.8 | 48.1 | ||
| 100 | 12.80 | −0.12 | 14.2 | −0.53 | 39.3 | |
| 150 | 11.91 | −0.12 | 9 | −0.49 | 33.6 | |
| Tb-diffused | 20 | 14.12 | 28.4 | 48.5 | ||
| 100 | 12.78 | −0.12 | 17.7 | −0.47 | 39.3 | |
| 150 | 11.87 | −0.12 | 11.8 | −0.45 | 33.6 |
| Sample | Pr | Nd | Dy | Tb |
|---|---|---|---|---|
| Original | 7.03 | 22.28 | / | / |
| Dy-diffused | 6.92 | 22.01 | 0.35 | / |
| Tb-diffused | 6.85 | 21.96 | / | 0.42 |
Disclaimer/Publisher’s Note: The statements, opinions and data contained in all publications are solely those of the individual author(s) and contributor(s) and not of MDPI and/or the editor(s). MDPI and/or the editor(s) disclaim responsibility for any injury to people or property resulting from any ideas, methods, instructions or products referred to in the content. |
© 2023 by the authors. Licensee MDPI, Basel, Switzerland. This article is an open access article distributed under the terms and conditions of the Creative Commons Attribution (CC BY) license (https://creativecommons.org/licenses/by/4.0/).
Share and Cite
Zhu, X.-D.; Wang, M.; Yu, Y.-J.; Wang, Q.; Wang, F.; Wang, P.-F.; Jia, B.; Wang, C.; Zhou, B. Coercivity Enhancement of Sintered Nd-Pr-Fe-B Magnets by Cost-Effective Grain Boundary Diffusion of Dy/Tb Films. Crystals 2023, 13, 1516. https://doi.org/10.3390/cryst13101516
Zhu X-D, Wang M, Yu Y-J, Wang Q, Wang F, Wang P-F, Jia B, Wang C, Zhou B. Coercivity Enhancement of Sintered Nd-Pr-Fe-B Magnets by Cost-Effective Grain Boundary Diffusion of Dy/Tb Films. Crystals. 2023; 13(10):1516. https://doi.org/10.3390/cryst13101516
Chicago/Turabian StyleZhu, Xin-De, Mei Wang, Yong-Jiang Yu, Qian Wang, Fei Wang, Peng-Fei Wang, Bin Jia, Cong Wang, and Bin Zhou. 2023. "Coercivity Enhancement of Sintered Nd-Pr-Fe-B Magnets by Cost-Effective Grain Boundary Diffusion of Dy/Tb Films" Crystals 13, no. 10: 1516. https://doi.org/10.3390/cryst13101516
APA StyleZhu, X.-D., Wang, M., Yu, Y.-J., Wang, Q., Wang, F., Wang, P.-F., Jia, B., Wang, C., & Zhou, B. (2023). Coercivity Enhancement of Sintered Nd-Pr-Fe-B Magnets by Cost-Effective Grain Boundary Diffusion of Dy/Tb Films. Crystals, 13(10), 1516. https://doi.org/10.3390/cryst13101516

