Systematic Study on the Synthesis and Magnetism Properties of Manganese Ferrite MnFe2O4 by an Oxidation Roasting Process
Abstract
:1. Introduction
2. Materials and Methods
2.1. Raw Materials
2.2. Synthesis Procedure
2.3. Characterization Methods
3. Results and Discussion
3.1. Discussion on the Oxidization Behavior of MnO-Fe2O3 System
3.1.1. Phase Transition and Synthesis Mechanism in MnO-Fe2O3 System
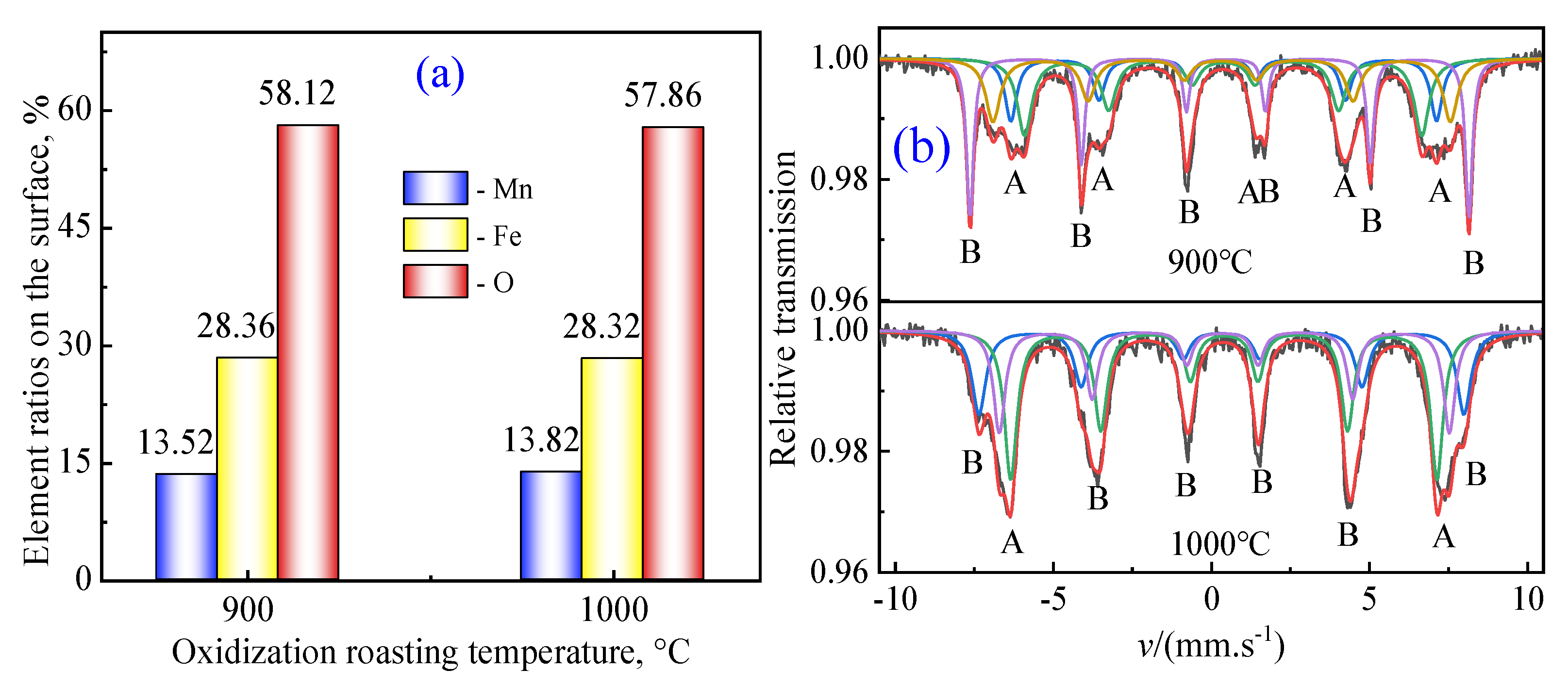
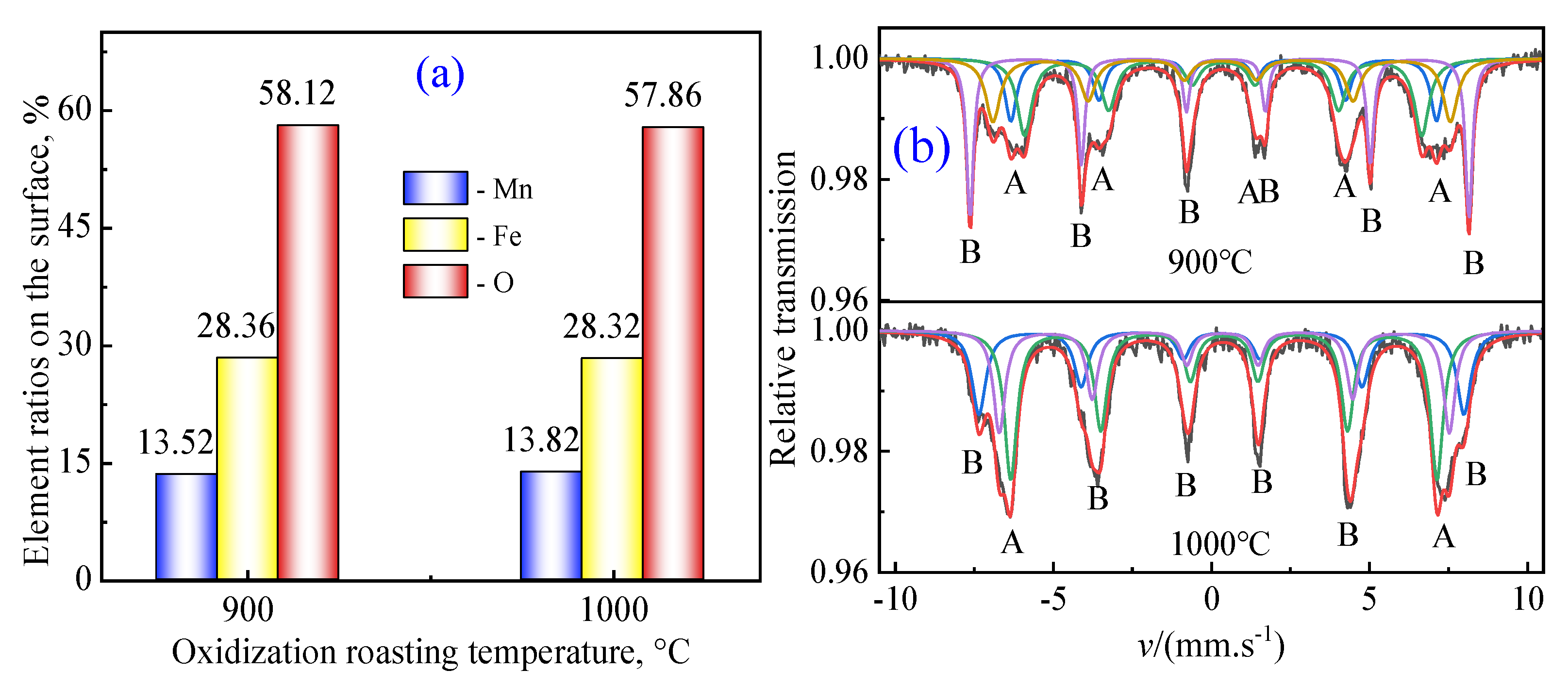
3.1.2. Magnetic Transformation
3.1.3. Oxidative Competition Behavior of MnO-Fe2O3 System in Oxidization Roasting Process
3.2. Discussion on the Oxidization Behavior of MnO-Fe2O3-SiO2 System
3.3. Discussion on the Oxidization Behavior of MnO-Fe2O3-Al2O3 System
3.4. Oxidative Competition Behavior and Formation Mechanism in Synthesis Process of MnFe2O4
4. Conclusions and Future Prospects
Author Contributions
Funding
Data Availability Statement
Acknowledgments
Conflicts of Interest
References
- Liu, F.; Liu, J.; Yang, Y.; Wang, X. A mechanistic study of CO oxidation over spinel MnFe2O4 surface during chemical-looping combustion. Fuel 2018, 230, 410–417. [Google Scholar] [CrossRef]
- Guo, W.; Zhu, H.; Ren, Q.; Chen, S.; Ding, Y.; Xiong, C.; Chen, J.; Jia, X. MnFe2O4/ZnO/diatomite composites with electromagnetic wave absorption and antibacterial bifunctions. Solid State Sci. 2023, 138, 107152. [Google Scholar] [CrossRef]
- Mounkachi, O.; Lamouri, R.; Salmani, E.; Hamedoun, M.; Benyoussef, A.; Ez-Zahraouy, H. Origin of the magnetic properties of MnFe2O4 spinel ferrite: Ab initio and Monte Carlo simulation. J. Magn. Magn. Mater. 2021, 533, 168016. [Google Scholar] [CrossRef]
- Qian, Z.; Ting, Y.; Guo, G.; Shapter, G.J.; Lai, W.E.; Huang, P.; Qi, W.; Song, J.; Cui, D.X. Multifunctional Core@Shell Magnetic Nanoprobes for Enhancing Targeted Magnetic Resonance Imaging and Fluorescent Labeling In Vitro and In Vivo. J. Appl. Mater. Interfaces 2017, 21, 17777–17785. [Google Scholar]
- Martin, L.; Stigler, J.; Elia, G.; Lynch, I.; Tommy, C.; Dawson, A.K. Nanoparticle size and surface properties determine the protein corona with possible implications for biological impacts. Appl. Surf. Sci. 2008, 38, 14265–14270. [Google Scholar]
- Marcela, S.; Eliza, M.; Cornelia, P.; Ciprian, M. Thermal behavior of MnFe2O4 and MnFe2O4/C nanocomposite synthesized by a solvothermal method. Thermochim. Acta 2017, 652, 1–8. [Google Scholar]
- Peng, E.; Choo, E.S.G.; Chandrasekharan, P.; Yang, C.; Ding, J.; Chuang, K.; Xue, J.M. Synthesis of manganese ferrite/graphene oxide nanocomposites for biomedical applications. Small 2012, 8, 3620–3630. [Google Scholar] [CrossRef]
- Rajalakshmi, R.; Ponpandian, N. Morphological design of MnFe2O4 facets (cube, flakes and capsules) for their role in electrical, magnetic and photocatalytic activity. Mater. Res. Bull. 2023, 164, 112242. [Google Scholar] [CrossRef]
- Wu, X.F.; Ding, Z.; Wang, W.; Song, N.N.; Khaimanov, S.; Tsidaeva, N. Effect of polyacrylic acid addition on structure, magnetic and adsorption properties of manganese ferrite nanoparticles. Powder Technol. 2016, 295, 59–68. [Google Scholar] [CrossRef]
- Mondal, D.K.; Borgohain, C.; Paul, N.; Borah, J.P. Tuning hyperthermia efficiency of MnFe2O4/ZnS nanocomposites by controlled ZnS concentration. J. Mater. Res. Technol. 2019, 8, 5659–5670. [Google Scholar] [CrossRef]
- Neda, A.; Ghasem, N. A Manganese ferrite (MnFe2O4) Nanoparticles: From synthesis to application—A review. J. Ind. Eng. Chem. 2021, 103, 292–304. [Google Scholar]
- Masrour, R. Magnetic properties of the spinel systems ACr2X4 (A = Zn, Cd, Hg; X = S, Se). J. Alloys Compd. 2010, 489, 441–444. [Google Scholar] [CrossRef]
- Leal, M.P.; Rivera-Fernández, S.; Franco, J.M. Long-circulating PEGylated manganese ferrite nanoparticles for MRI-based molecular imaging. Nanoscale 2015, 7, 2050–2059. [Google Scholar] [CrossRef] [PubMed]
- Misra, R.D.K.; Gubbala, S.; Kale, A.; Egelhoff, W.F.E., Jr. A comparison of the magnetic characteristics of nanocrystalline nickel, zinc, and manganese ferrites synthesized by reverse micelle technique. Mater. Sci. Eng. B 2004, 111, 164–174. [Google Scholar] [CrossRef]
- Lin, X.M.; Lv, X.; Wang, L.M.; Zhang, F.F.; Duan, L.F. Preparation and characterization of MnFe2O4 in the solvothermal process: Their magnetism and electrochemical properties. Mater. Res. Bull. 2013, 48, 2511–2516. [Google Scholar] [CrossRef]
- Carpenter, E.E.; O’Connor, C.J.; Harris, V.G. Atomic structure and magnetic properties of MnFe2O4 nanoparticles produced by reverse micelle synthesis. J. Appl. Phys. 1999, 85, 5175–5177. [Google Scholar] [CrossRef]
- Lazarova, T.; Kovacheva, D.; Georgieva, M.; Tzankov, D.; Tyuliev, G.; Spassova, I.; Naydenov, A. Tunable nanosized spinel manganese ferrites synthesized by solution combustion method. Appl. Surf. Sci. 2019, 496, 143571. [Google Scholar] [CrossRef]
- Liu, B.B.; Zhang, Y.B.; Su, Z.J.; Lu, M.M.; Peng, Z.W.; Li, G.H.; Jiang, T. Formation mechanism of MnxFe3-xO4 by solid-state reaction of MnO2 and Fe2O3 in air atmosphere Morphologies and properties evolution. Powder Technol. 2017, 313, 201–209. [Google Scholar] [CrossRef]
- Ahmad, S.; Ali, S.; Ullah, I.; Zobaer, M.S.; Albakri, A.; Muhammad, T. Synthesis and characterization of manganese ferrite from low grade manganese ore through solid state reaction route. Sci. Rep. 2021, 11, 16190. [Google Scholar] [CrossRef]
- Liu, B.B.; Zhang, Y.B.; Wang, J.; Wang, J.; Su, Z.J.; Li, G.H.; Jiang, T. A further investigation on the MnO2-Fe2O3 system roasted under CO-CO2 atmosphere. Adv. Powder Technol. 2019, 30, 302–310. [Google Scholar] [CrossRef]
- Wang, G.; Zhao, D.; Ma, Y.; Zhang, Z.; Che, H.; Mu, J.; Zhang, X.; Zhang, Z. Synthesis and characterization of polymer-coated manganese ferrite nanoparticles as controlled drug delivery. Appl. Surf. Sci. 2018, 428, 258–263. [Google Scholar] [CrossRef]
- Reddy, M.P.; Mohamed, A.M.A.; Raman, M.V.; Zhou, X.B.; Huang, Q. Spark plasma sintering and microwave electromagnetic properties of MnFe2O4 ceramics. J. Magn. Magn. Mater. 2015, 395, 185–189. [Google Scholar] [CrossRef]
- Rashad, M.M. Synthesis and magnetic properties of manganese ferrite from low grade manganese ore. Mater. Sci. Eng. B 2006, 127, 123–129. [Google Scholar] [CrossRef]
- Ahmed, Y.M.Z. Synthesis of manganese ferrite from non-standard raw materials using ceramic technique. Ceram. Int. 2010, 36, 969–977. [Google Scholar] [CrossRef]
- Makridis, A.; Tziomaki, M.; Topouridou, K.; Yavropoulou, M.P.; Yovos, J.G.; Kalogirou, O.; Samaras, T.; Angelakeris, M. A novel strategy combining magnetic particle hyperthermia pulses with enhanced performance binary ferrite carriers for effective in vitro manipulation of primary human osteogenic sarcoma cells. Int. J. Hyperth. 2016, 32, 778–785. [Google Scholar] [CrossRef]
- Chen, D.; Zhang, Y.Z.; Kang, Z.T. A low temperature synthesis of MnFe2O4 nanocrystals by microwave-assisted ball-milling. Chem. Eng. J. 2013, 215–216, 235–239. [Google Scholar] [CrossRef]
- Neda, A.; Ghasem, N.; Younesi, H. Facile and green synthesis of cobalt oxide nanoparticles using ethanolic extract of Trigonella foenumgraceum (Fenugreek) leaves. Adv. Powder Technol. 2020, 31, 3562–3569. [Google Scholar]
- Aslibeiki, B.; Kameli, P. Magnetic properties of MnFe2O4 nano-aggregates dispersed in paraffin wax. J. Magn. Magn. Mater. 2015, 385, 308–312. [Google Scholar] [CrossRef]
- Ba-Abbad, M.M.; Chai, P.V.; Takriff, M.S.; Benamor, A.; Mohammad, A.W. Optimization of nickel oxide nanoparticle synthesis through the sol-gel method using Box-Behnken design. Mater. Des. 2015, 86, 948–956. [Google Scholar] [CrossRef]
- Yan, Z.; Chaluvadi, A.; FitzGerald, S.; Spence, S.; Bleyer, C.; Zhu, J.; Crawford, T.M.; Getman, R.B.; Watt, J.; Huber, D.L.; et al. Effect of manganese substitution of ferrite nanoparticles on particle grain structure. Nanoscale Adv. 2022, 4, 3957–3965. [Google Scholar] [CrossRef]
- Gao, L.H.; Liu, Z.G.; Ge, Y.; Feng, C.; Chu, M.S.; Tang, J. Synthesis and characterization of manganese ferrite MnxFe3-xO4 from ferruginous manganese ores by multi-step roasting and magnetic separation. Powder Technol. 2019, 356, 373–382. [Google Scholar] [CrossRef]
- Devan, R.S.; Ma, Y.; Chougule, B.K. Effective dielectric and magnetic properties of (Ni–Co–Cu) ferrite/BTO composites. Mater. Chem. Phys. 2009, 115, 263–268. [Google Scholar] [CrossRef]
- Shekhar, D.B.; Pattayil, A.J. Effect of sintering conditions and microstructure on the magnetostrictive properties of cobalt ferrite. J. Am. Ceram. Soc. 2008, 91, 1976–1980. [Google Scholar]
- Gao, L.H.; Liu, Z.G.; Yang, Z.C.; Feng, L.G.C.; Chu, M.S.; Tang, J. Synthesis and magnetism property of manganese ferrite MnFe2O4 by selective reduction and oxidization roasting process. Appl. Surf. Sci. 2020, 508, 145292–145301. [Google Scholar] [CrossRef]
- Zhao, X.R.; Wang, W.; Zhang, Y.J.; Wu, S.Z.; Li, F.; Liu, J.P. Synthesis and characterization of gadolinium doped cobalt ferrite nanoparticles with enhanced adsorption capability for Congo Red. Chem. Eng. J. 2014, 250, 164–174. [Google Scholar] [CrossRef]
- Wang, Z.; Chen, H.; Han, X.; Gao, L.; Zhan, W.; Zhang, J.; He, Z. Preparation and characterization of MnFe2O4 by a microwave-assisted oxidative roasting process. Adv. Powder Technol. 2023, 34, 104040. [Google Scholar] [CrossRef]
- Šepelák, V.; Baabe, D.; Mienert, D.; Schultze, D.; Krumeich, F.; Litterst, F.J.; Becker, K.D. Evolution of structure and magnetic properties with annealing temperature in nanoscale high-energy-milled nickel ferrite. J. Magn. Magn. Mater. 2003, 257, 377–386. [Google Scholar] [CrossRef]
- Gao, L.H.; Liu, P.; Zhan, W.L.; Zhang, J.H.; He, Z.J.; Hou, X. New understanding on formation mechanism of CaFe2O4 in Fe2O3-Fe3O4-CaO-SiO2 system during sintering Process: Phase transformation and morphologies evolution. Adv. Powder Technol. 2022, 33, 103712. [Google Scholar] [CrossRef]
- Cheng, F.Y.; Shen, J.; Peng, B.; Pan, Y.D.; Tao, Z.L.; Chen, J. Rapid room-temperature synthesis of nanocrystalline spinels as oxygen reduction and evolution electrocatalysts. Nat. Chem. 2011, 3, 79–84. [Google Scholar] [CrossRef]
- Allen, G.C.; Hallam, K.R. Characterisation of the spinels MxCo1-xFe2O4 (M=Mn, Fe or Ni) using X-ray photoelectron spectroscopy. Appl. Surf. Sci. 1996, 93, 25–30. [Google Scholar] [CrossRef]
- Mirza, M.; Muhammad, A.; Philips, O.; Muhammad, A.; Imran, S.; Muhammad, F. Optimization of different wet chemical routes and phase evolution studies of MnFe2O4 nanoparticles. Ceram. Int. 2019, 45, 12682–12690. [Google Scholar]










Disclaimer/Publisher’s Note: The statements, opinions and data contained in all publications are solely those of the individual author(s) and contributor(s) and not of MDPI and/or the editor(s). MDPI and/or the editor(s) disclaim responsibility for any injury to people or property resulting from any ideas, methods, instructions or products referred to in the content. |
© 2023 by the authors. Licensee MDPI, Basel, Switzerland. This article is an open access article distributed under the terms and conditions of the Creative Commons Attribution (CC BY) license (https://creativecommons.org/licenses/by/4.0/).
Share and Cite
Wen, S.; Chen, B.; Zhang, J.; Zhan, W.; He, Z.; Gao, L. Systematic Study on the Synthesis and Magnetism Properties of Manganese Ferrite MnFe2O4 by an Oxidation Roasting Process. Crystals 2023, 13, 1509. https://doi.org/10.3390/cryst13101509
Wen S, Chen B, Zhang J, Zhan W, He Z, Gao L. Systematic Study on the Synthesis and Magnetism Properties of Manganese Ferrite MnFe2O4 by an Oxidation Roasting Process. Crystals. 2023; 13(10):1509. https://doi.org/10.3390/cryst13101509
Chicago/Turabian StyleWen, Shanshan, Bing Chen, Junhong Zhang, Wenlong Zhan, Zhijun He, and Lihua Gao. 2023. "Systematic Study on the Synthesis and Magnetism Properties of Manganese Ferrite MnFe2O4 by an Oxidation Roasting Process" Crystals 13, no. 10: 1509. https://doi.org/10.3390/cryst13101509
APA StyleWen, S., Chen, B., Zhang, J., Zhan, W., He, Z., & Gao, L. (2023). Systematic Study on the Synthesis and Magnetism Properties of Manganese Ferrite MnFe2O4 by an Oxidation Roasting Process. Crystals, 13(10), 1509. https://doi.org/10.3390/cryst13101509

