Effect of Sc Addition on High-Temperature Oxidation Performance of Al-Li Alloy
Abstract
:1. Introduction
2. Experimental Materials and Methods
2.1. Experimental Alloys and Preparation
2.2. Experimental Apparatus and Method
3. Results and Analysis
3.1. Effect of Temperature on High-Temperature Oxidation Behavior of Al-Li Alloy
3.2. Effect of Sc on Oxidation Resistance of Al-Li Alloy at High Temperature
3.3. Oxidation Kinetics Analysis of Sc Alloyed Alloy
3.4. Effect of Temperature on Oxidation Morphology of Alloy
3.4.1. Macroscopic Morphology of Al–Li Alloy Oxidized at Different Temperatures
3.4.2. Effect of Temperature on Surface Morphology of Aluminum–Lithium Alloy after Oxidation
3.5. Phase Analysis of Oxide Film
4. Conclusions
- (1)
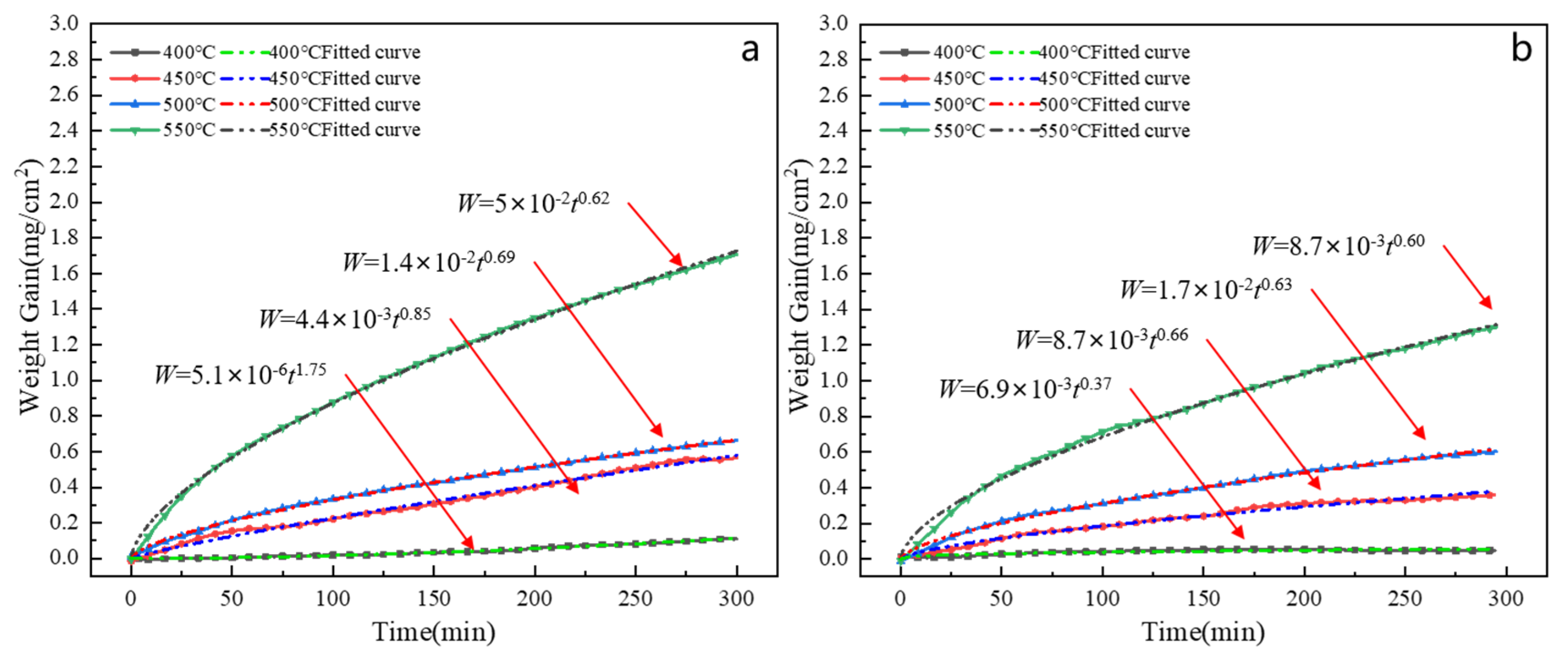
- At different temperatures, the oxidation weight gain in the early stage of oxidation was significant, and the oxidation rate gradually decreased and tended to be stable with the extension of the oxidation time. The oxidation weight gain after oxidation of Al-2Li alloys with the addition of the element Sc is reduced to 0.046 mg/cm2, 0.531 mg/cm2, 0.602 mg/cm2, and 1.182 mg/cm2 for 5 h at 400 °C, 450 °C, 500 °C, and 550 °C, and the fitted response indices were reduced to 0.37, 0.66, 0.63 and 0.60, respectively. In addition, the oxidation weight gain rate of the alloy after the addition of Sc slowed down, which improved the high-temperature oxidation resistance of the alloy.
- (2)
- The test results show that the oxidation product generated by oxidation is Li2CO3 and, with the increase of oxidation temperature, more Li2CO3 is generated. In the aluminum–lithium alloy after Sc alloying, less Li2CO3 is generated in the oxide film after oxidation, and the oxide film is more complete and compact.
- (3)
- There is no rare earth oxide formation in the rare earth alloyed oxide film, but the high-temperature oxidation resistance of an Al-Li alloy is improved after Sc alloying. The oxidation reaction index is reduced, which is consistent, and it is verified that the addition of rare earth elements can inhibit the movement and diffusion of metal cations in the high-temperature oxidation process to a certain extent.
Author Contributions
Funding
Data Availability Statement
Conflicts of Interest
References
- Lei, Z.; Bi, S.; Zhang, X.; Li, B.; Xia, P. Microstructure and Mechanical Properties of Double-Sided Laser Swing Welding of 2195 Al-Li Alloy T-joints. Chin. J. Lasers 2022, 49, 30–39. [Google Scholar]
- Abd El-Aty, A.; Xu, Y.; Guo, X.; Zhang, S.H.; Ma, Y.; Chen, D. Strengthening mechanisms, deformation behavior, and anisotropic mechanical properties of Al-Li alloys: A review. J. Adv. Res. 2018, 10, 49–67. [Google Scholar] [CrossRef] [PubMed]
- Liu, J.L.; Chen, Z.H.; Huang, H.Y.; Xie, J.X. Microstructure and superelasticity control by rolling and heat treatment in columnar-grained Cu-Al-Mn shape memory alloy. Mater. Sci. Eng. A 2017, 696, 315–322. [Google Scholar] [CrossRef]
- Rioja, R.J.; Liu, J. The evolution of Al-Li base products for aerospace and space applications. Metall. Mater. Trans. A 2012, 43, 3325–3337. [Google Scholar] [CrossRef]
- Xiao, R.S.; Zhang, X.Y. Problems and issues in laser beam welding of aluminum-lithium alloys. J. Manuf. Process. 2014, 16, 166–175. [Google Scholar] [CrossRef]
- Li, J.; Chen, Y.; Ma, Y.; Zhang, X. Basic Research and Application Technology Development of Al-Li Alloy in China. Aerosp. Mater. Technol. 2021, 51, 37–47. [Google Scholar]
- Decreus, B.; Deschamps, A.; De Geuser, F.; Donnadieu, P.; Sigli, C.; Weyland, M. The influence of Cu/Li ratio on precipitation in Al-Cu-Li-X alloys. Acta Mater. 2013, 61, 2207–2218. [Google Scholar] [CrossRef]
- Dursun, T.; Soutis, C. Recent developments in advanced aircraft aluminum alloys. Mater. Des. 2014, 56, 862–871. [Google Scholar] [CrossRef]
- Mizutani, U.; Inukai, M.; Sato, H.; Zijlstra, E.S. Physical Metallurgy 2-Electron Theory of Complex Metallic Alloys; Elsevier: Amsterdam, The Netherlands, 2014. [Google Scholar]
- Fazeli, F.; Poole, W.J.; Sinclair, C.W. Modeling the effect of Al3Sc precipitates on the yield stress and work hardening of an Al–Mg–Sc alloy. Acta Mater. 2008, 56, 1909–1918. [Google Scholar] [CrossRef]
- Bohlen, J.; Yi, S.; Letzig, D.; Kainer, K.U. Effect of rare earth elements on the microstructure and texture development in magnesium–manganese alloys during extrusion. Mater. Sci. Eng. 2010, A527, 7092–7098. [Google Scholar] [CrossRef]
- Røyset, J.; Ryum, N. Scandium in aluminum alloys. Metall. Rev. 2005, 50, 19–44. [Google Scholar] [CrossRef]
- Booth-Morrison, C.; Dunand, D.C.; Seidman, D.N. Coarsening resistance at 400 C of precipitation-strengthened Al–Zr–Sc–Er alloys. Acta Mater. 2011, 181, 7029–7042. [Google Scholar] [CrossRef]
- Liu, X.; Bai, J.; Zhang, H.; Nan, Y.; He, H. Research Status and Trend of Sc Influence on Microstructure and Properties of Aluminum Alloy. Foundry Technol. 2021, 42, 48–52. [Google Scholar]
- Yang, Z.; Lu, J.; Zhao, X.; Yan, J.; Yin, H.; Dang, Y.; Gu, Y. Effect of Rare Earth Elements on High Temperature Oxidation of Metals. J. Chin. Soc. Rare Earths 2014, 32, 641–649. [Google Scholar]
- Carl, W. Reaktionstypen bei der Oxydation von Legierungen. Z. Für Elektrochem. 1959, 63, 772–782. [Google Scholar]
- Liu, Y.; Zhu, J.; Zhao, X.; Zhou, Y. Oxidation Behaviors of FeCrNiAl High Entropy Alloy and Its Microstructure Evolution. Rare Met. Mater. Eng. 2018, 47, 2743–2748. [Google Scholar]
- Hirth, J.P.; Pieraggi, B.; Rapp, R.A. The role of interface dislocations and ledges as sources/sinks for point defects in scaling reactions. Acta Metall. Mater. 1995, 43, 1065. [Google Scholar] [CrossRef]
- Knacke, O.; Kubaschewski, O.; Hesselmann, K. Thermochemical Properties of Inorganic Substances, 2nd ed.; Springer: Berlin/Heidelberg, Germany, 1991. [Google Scholar]










| Li (wt%) | Sc (wt%) | Al | |
|---|---|---|---|
| Al-2Li | 1.74 | - | Bal |
| Al-2Li-0.2Sc | 1.75 | 0.20 | Bal |
| 400 °C | 450 °C | 500 °C | 550 °C | |
|---|---|---|---|---|
| Al-2Li | 1.76 | 0.85 | 0.64 | 0.62 |
| Al-2Li-0.2Sc | 0.37 | 0.66 | 0.63 | 0.60 |
Disclaimer/Publisher’s Note: The statements, opinions and data contained in all publications are solely those of the individual author(s) and contributor(s) and not of MDPI and/or the editor(s). MDPI and/or the editor(s) disclaim responsibility for any injury to people or property resulting from any ideas, methods, instructions or products referred to in the content. |
© 2022 by the authors. Licensee MDPI, Basel, Switzerland. This article is an open access article distributed under the terms and conditions of the Creative Commons Attribution (CC BY) license (https://creativecommons.org/licenses/by/4.0/).
Share and Cite
Zhu, B.; Le, Q.; Ren, L.; Zhou, X.; Hou, X.; Li, D.; Bao, L. Effect of Sc Addition on High-Temperature Oxidation Performance of Al-Li Alloy. Crystals 2023, 13, 22. https://doi.org/10.3390/cryst13010022
Zhu B, Le Q, Ren L, Zhou X, Hou X, Li D, Bao L. Effect of Sc Addition on High-Temperature Oxidation Performance of Al-Li Alloy. Crystals. 2023; 13(1):22. https://doi.org/10.3390/cryst13010022
Chicago/Turabian StyleZhu, Baosong, Qichi Le, Liang Ren, Xiong Zhou, Xianzhong Hou, Dandan Li, and Lei Bao. 2023. "Effect of Sc Addition on High-Temperature Oxidation Performance of Al-Li Alloy" Crystals 13, no. 1: 22. https://doi.org/10.3390/cryst13010022
APA StyleZhu, B., Le, Q., Ren, L., Zhou, X., Hou, X., Li, D., & Bao, L. (2023). Effect of Sc Addition on High-Temperature Oxidation Performance of Al-Li Alloy. Crystals, 13(1), 22. https://doi.org/10.3390/cryst13010022
