Structural Characterization and Dynamics of a Layered 2D Perovskite [NH3(CH2)5NH3]MnCl4 Crystal near Phase Transition Temperature
Abstract
:1. Introduction
2. Materials and Methods
3. Results
3.1. FT-IR Spectroscopy
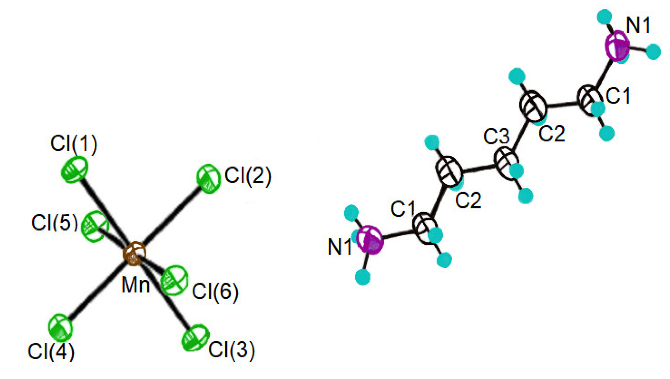
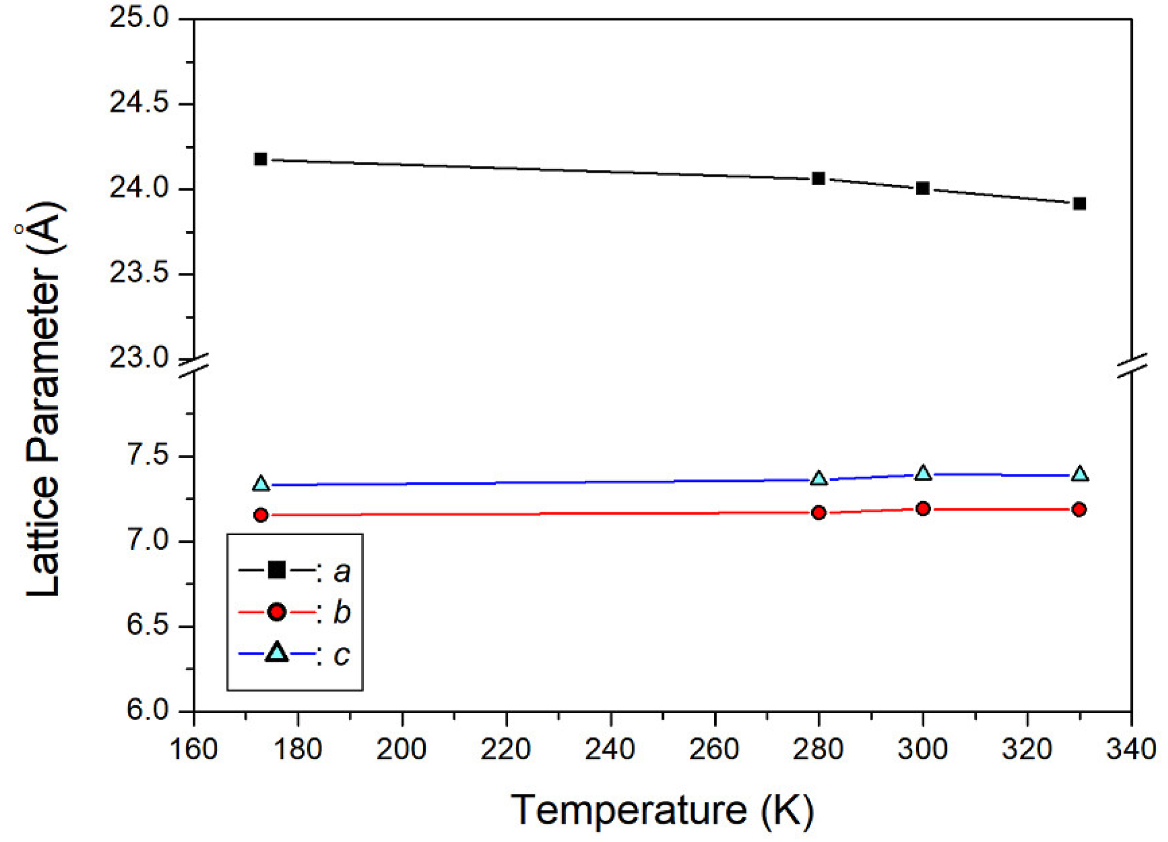
3.2. Phase Transition and Crystal Structure
3.3. Thermodynamic Properties
3.4. 1H and 13C NMR Chemical Shifts
3.5. 1H and 13C NMR Spin-Lattice Relaxation Times
4. Discussion
5. Conclusions
Supplementary Materials
Author Contributions
Funding
Data Availability Statement
Conflicts of Interest
References
- Zhang, Z.X.; Su, C.-Y.; Li, J.; Song, X.-J.; Fu, D.-W.; Zhang, Y. Ferroelastic Hybrid Bismuth Bromides with Dual Dielectric Switches. Chem. Mater. 2021, 33, 5790–5799. [Google Scholar] [CrossRef]
- Su, C.-Y.; Yao, Y.-F.; Zhang, Z.-X.; Wang, Y.; Chen, M.; Huang, P.-Z.; Zhang, Y.; Qiao, W.-C.; Fu, D.-W. The construction of a two-dimensional organic–inorganic hybrid double perovskite ferroelastic with a high Tc and narrow band gap. Chem. Sci. 2022, 13, 4794–4800. [Google Scholar] [CrossRef] [PubMed]
- Shao, T.; Gong, J.M.; Liu, J.; Han, L.J.; Chen, M.; Jia, Q.; Fu, D.W.; Lu, H.-F. 2D lead-free organic–inorganic hybrid exhibiting dielectric and structural phase transition at higher temperatures. CrystEngComm 2022, 24, 4346–4350. [Google Scholar] [CrossRef]
- Hermes, I.M.; Bretschneider, S.A.; Bergmann, V.W.; Klasen, D.; Mars, J.; Tremel, W.; Laquai, F.; Butt, H.-J.; Mezger, M.; Berger, R.; et al. Ferroelastic Fingerprints in Methylammonium Lead Iodide Perovskite. J. Phys. Chem. C 2016, 120, 5724–5731. [Google Scholar] [CrossRef]
- Strelcov, E.; Dong, Q.; Li, T.; Chae, J.; Shao, Y.; Deng, Y.; Gruverman, A.; Huang, J.; Centrone, A. CH3NH3PbI3 perovskites: Ferroelasticity revealed. Sci. Adv. 2017, 3, e1602165. [Google Scholar] [CrossRef] [PubMed]
- Liu, Y.; Collins, L.; Proksch, R.; Kim, S.; Watson, B.R.; Doughty, B.; Calhoun, T.R.; Ahmadi, M.; Ievlev, A.V.; Jesse, S.; et al. Chemical nature of ferroelastic twin domains in CH3NH3PbI3 perovskite. Nat. Mater. 2018, 17, 1013–1019. [Google Scholar] [CrossRef] [PubMed]
- Zang, W.; Xiong, R.-G. Ferroelectric Metal–Organic Frameworks. Chem. Rev. 2012, 112, 1163–1195. [Google Scholar] [CrossRef]
- Lim, A.R.; Kwac, L.K. Advances in physicochemical characterization of lead-free hybrid perovskite [NH3(CH2)3NH3]CuBr4 crystals. Sci. Rep. 2022, 12, 8769. [Google Scholar] [CrossRef]
- Su, C.; Lun, M.; Chen, Y.; Zhou, Y.; Zhang, Z.; Chen, M.; Huang, P.; Fu, D.; Zhang, Y. Hybrid Optical-Electrical Perovskite Can Be a Ferroelastic Semiconductor. CCS Chem. 2021, 4, 2009–2019. [Google Scholar] [CrossRef]
- Xie, Y.; Ai, Y.; Zeng, Y.-L.; He, W.-H.; Huang, X.-Q.; Fu, D.-W.; Gao, J.-X.; Chen, X.-G.; Tang, Y.-Y.; Am, J. The Soft Molecular Polycrystalline Ferroelectric Realized by the Fluorination Effect. Chem. Soc. 2020, 142, 12486–12492. [Google Scholar] [CrossRef]
- Fu, D.-W.; Gao, J.-X.; He, W.-H.; Huang, X.-Q.; Liu, Y.-H.; Al, Y. High-Tc Enantiomeric Ferroelectrics Based on Homochiral Dabco-derivatives (Dabco=1,4-Diazabicyclo [2.2.2]octane). Angew. Chem. Int. Ed. 2020, 59, 17477–17481. [Google Scholar] [CrossRef] [PubMed]
- Knop, O.; Wasylishen, R.E.; White, M.A.; Cameron, T.S.; Van Oort, M.J.M. Alkylammonium lead halides. Part 2. CH3NH3PbX3 (X = Cl, Br, I) perovskites: Cuboctahedral halide cages with isotropic cation reorientation. Can. J. Chem. 1990, 68, 412–422. [Google Scholar] [CrossRef]
- Chen, Q.; Marco, N.D.; Yang, Y.; Song, T.-B.; Chen, C.-C.; Zhao, H.; Hong, Z.; Zhou, H.; Yang, Y. Under the spotlight: The organic–inorganic hybrid halide perovskite for optoelectronic applications. Nano Today 2015, 10, 355–396. [Google Scholar] [CrossRef]
- Abdel-Aal, S.K.; Abdel-Rahman, A.S.; Kocher-Oberlehner, G.G.; Ionov, A.; Mozhchil, R. Structure, optical studies of two-dimensional hybrid perovskite for photovoltaic applications. Acta Cryst. 2017, 73, C1116. [Google Scholar] [CrossRef]
- Mostafa, M.F.; Elkhiyami, S.S.; Alal, S.A. Discontinuous transition from insulator to semiconductor induced by phase change of the new organic-inorganic hybrid [(CH2)7(NH3)2]CoBr4. Mater. Chem. Phys. 2017, 199, 454–463. [Google Scholar] [CrossRef]
- Milic, J.V.; Im, J.-H.; Kubicki, D.J.; Ummadisingu, A.; Seo, J.-Y.; Li, Y.; Ruiz-Preciado, M.A.; Dar, M.I.; Zakeeruddin, S.M.; Emsley, L.; et al. Supramolecular Engineering for Formamidinium-Based Layered 2D Perovskite Solar Cells: Structural Complexity and Dynamics Revealed by Solid-State NMR Spectroscopy. Adv. Energy Mater. 2019, 9, 1900284. [Google Scholar] [CrossRef]
- Rao, C.N.R.; Cheetham, A.K.; Thirumurugan, A. Hybrid inorganic–organic materials: A new family in condensed matter physics. J. Phys. Condens. Matter 2008, 20, 83202. [Google Scholar] [CrossRef]
- Cheng, Z.; Lin, J. Layered organic–inorganic hybrid perovskites: Structure, optical properties, film preparation, patterning and templating engineering. CrystEngComm 2010, 12, 2646–2662. [Google Scholar] [CrossRef]
- Mostafa, M.F.; El-khiyami, S.S. Crystal structure and electric properties of the organic–inorganic hybrid: [(CH2)6(NH3)2]ZnCl4. J. Solid State Chem. 2014, 209, 82–88. [Google Scholar] [CrossRef]
- Gonzalez-Carrero, S.; Galian, R.E.; Perez-Prieto, J. Organometal Halide Perovskites: Bulk Low-Dimension Materials and Nanoparticles. Part. Syst. Charact. 2015, 32, 709–720. [Google Scholar] [CrossRef]
- Abdel-Adal, S.K.; Kocher-Oberlehner, G.; Ionov, A.; Mozhchil, R.N. Effect of organic chain length on structure, electronic composition, lattice potential energy, and optical properties of 2D hybrid perovskites [(NH3)(CH2)n(NH3)]CuCl4, n = 2–9. Appl. Phys. A 2017, 123, 531. [Google Scholar] [CrossRef]
- Liu, W.; Xing, J.; Zhao, J.; Wen, X.; Wang, K.; Peixiang, L.; Xiong, Q. Giant Two-Photon Absorption and Its Saturation in 2D Organic–Inorganic Perovskite. Adv. Opt. Mater. 2017, 5, 1601045. [Google Scholar] [CrossRef]
- Mondal, P.; Abdel-Aal, S.K.; Das, D.; Manirul Islam, S.K. Catalytic Activity of Crystallographically Characterized Organic–Inorganic Hybrid Containing 1,5-Di-amino-pentane Tetrachloro Manganate with Perovskite Type Structure. Cat. Lett. 2017, 147, 2332–2339. [Google Scholar] [CrossRef]
- Elseman, A.M.; Shalan, A.E.; Sajid, S.; Rashad, M.M.; Hassan, A.M.; Li, M. Copper-Substituted Lead Perovskite Materials Constructed with Different Halides for Working (CH3NH3)2CuX4-Based Perovskite Solar Cells from Experimental and Theoretical View. ACS Appl. Mater. Interfaces 2018, 10, 11699–11707. [Google Scholar] [CrossRef]
- Aramburu, J.A.; Garcia-Fernandez, P.; Mathiesen, N.R.; Garcia-Lastra, J.M.; Moreno, M. Changing the Usual Interpretation of the Structure and Ground State of Cu2+-Layered Perovskites. J. Phys. Chem. C 2018, 122, 5071–5082. [Google Scholar] [CrossRef]
- Abdel-Aal, S.K.; Ouasri, A. Crystal structure, Hirshfeld surfaces and vibrational studies of tetrachlorocobaltate hybrid perovskite salts NH3(CH2)nNH3CoCl4 (n = 4, 9). J. Mol. Struct. 2022, 1251, 131997. [Google Scholar] [CrossRef]
- Abdel, S.K.; Abdel-Rahman, A.S.; Gamal, W.M.; Abdel-Kader, M.; Ayoub, H.S.; El-Sherif, A.F.; Kandeel, M.F.; Bozhko, S.; Yakimov, E.E.; Yakimov, E.B. Crystal structure, vibrational spectroscopy and optical properties of a one-dimensional organic–inorganic hybrid perovskite of [NH3CH2CH(NH3)CH2]BiCl5. Acta Cryst. 2019, 75, 880–886. [Google Scholar] [CrossRef]
- Guillaume, F.; Sourisseau, C.; Lucazeau, G.; Dianoux, A.J. Reorientational motions and phase transitions in some perovskite type layered compounds [NH3(CH2)nNH3]MnCl4, n = 3, 5, in Dynamics of molecular crystals. In Proceedings of the 41st International Meeting on Physical Chemistry, Grenoble, France, 30 June–4 July 1986; p. 173. [Google Scholar]
- Guillaume, F.; Sourisseau, C.; Dianoux, A.J. Molecular motions in perovskite type layered compounds [NH3(CH2)nNH3]MnCl4, with n = 3, 4, 5; an incoherent neutron scattering study. Physica B 1989, 156, 359–362. [Google Scholar] [CrossRef]
- Negrier, P.; Couzi, M.; Chanh, N.B.; Hauw, C.; Meresse, A. Structural phase transitions in the perovskite-type layer compound NH3(CH2)5NH3CdCl4. J. Phys. Fr. 1989, 50, 405–430. [Google Scholar] [CrossRef]
- Chhor, K.; Abello, L.; Pommier, C.; Sourisseau, C. Reorientational motions in a perovskite-type layer compound [NH3(CH2)5NH3]MnCl4. A calorimetric study. J. Phys. Chem. Solids 1988, 49, 1079–1085. [Google Scholar] [CrossRef]
- Lim, A.R.; Kim, S.H. Physicochemical Property Investigations of Perovskite-Type Layer Crystals [NH3(CH2)nNH3]CdCl4 (n = 2, 3, and 4) as a Function of Length n of CH2. ACS Omega 2021, 6, 27568–27577. [Google Scholar] [CrossRef] [PubMed]
- Rong, S.-S.; Faheem, M.B.; Li, Y.-B. Perovskite single crystals: Synthesis, properties, and applications. J. Electron. Sci. Technol. 2021, 19, 100081. [Google Scholar] [CrossRef]
- Arend, H.; Granicher, H. On phase transitions in chloride perovskite layer structures. Ferroelectrics 1976, 13, 537–539. [Google Scholar] [CrossRef]
- Arend, H.; Tichy, K.; Baberschke, K.; Rys, F. Chloride perovskite layer compounds of [NH3-(CH2)n-NH3]MnCl4 formula. Solid State Commun. 1976, 18, 999–1003. [Google Scholar] [CrossRef]
- Lv, X.-H.; Liao, W.-Q.; Li, P.-F.; Wang, Z.-X.; Mao, C.-Y.; Zhang, Y. Dielectric and photoluminescence properties of a layered perovskite-type organic–inorganic hybrid phase transition compound: NH3(CH2)5NH3MnCl4. J. Mater. Chem. C 2016, 4, 1881–1885. [Google Scholar] [CrossRef]
- Lim, A.R.; Schueneman, G.T.; Novak, B.M. The T1ρ spin-lattice relaxation time of interpenetrating networks by solid state NMR. Solid State Commun. 1998, 109, 465. [Google Scholar] [CrossRef]
- Lim, A.R. Structural characterization, thermal properties, and molecular motions near the phase transition in hybrid perovskite [(CH2)3(NH3)2]CuCl4 crystals: 1H, 13C, and 14N nuclear magnetic resonance. Sci. Rep. 2020, 10, 20853. [Google Scholar] [CrossRef]
- Mcbrierty, V.J.; Packer, K.J. Nuclear Magnetic Resonance in Solid Polymers; Cambridge University Press: Cambridge, UK, 1993. [Google Scholar]
- Koenig, J.L. Spectroscopy of Polymers; Elsevier: New York, NY, USA, 1999. [Google Scholar]
- Harris, R.K. Nuclear Magnetic Resonance Spectroscopy; Pitman Pub: London, UK, 1983. [Google Scholar]
- Lim, A.R.; Kim, S.H.; Joo, Y.L. Physicochemical properties and structural dynamics of organic–inorganic hybrid [NH3(CH2)3NH3]ZnX4 (X = Cl and Br) crystals. Sci. Rep. 2021, 11, 8408. [Google Scholar] [CrossRef]
- Abragam, A. The Principles of Nuclear Magnetism; Oxford University Press: Oxford, UK, 1961. [Google Scholar]
- Lim, A.R.; Choh, S.H.; Jang, M.S. Prominent ferroelastic domain walls in BiVO4 crystal. J. Phys. Condens. Matter 1995, 7, 7309. [Google Scholar] [CrossRef]









| Chemical Formula | C5H16N2MnCl4 | C5H16N2MnCl4 |
|---|---|---|
| Weight | 300.94 | 300.94 |
| Crystal system | Orthorhombic | Orthorhombic |
| Space group | Imma | Imma |
| T (K) | 173 | 330 |
| a (Å) | 24.1756 | 23.9162 |
| b (Å) | 7.1535 | 7.1877 |
| c (Å) | 7.3314 | 7.3898 |
| Z | 4 | 4 |
| V (Å3) | 1267.89 | 1270.32 |
| Radiation type | Mo-Kα | Mo-Kα |
| Wavelength (Å) | 0.71073 | 0.71073 |
| Reflections collected | 5418 | 5258 |
| Independent reflections | 867 | 863 |
| Goodness of fit on F2 | 1.070 | 1.118 |
| Final R indices [I > 2sigma(I)] | R1 = 0.0383, wR2 = 0.1178 | R1 = 0.0312, wR2 = 0.0957 |
| R indices (all data) | R1 = 0.0394, wR2 = 0.1190 | R1 = 0.0330, wR2 = 0.0974 |
| Arend et al. | Chhor et al. | Lv et al. | Mondal et al. | Present Work | ||||
|---|---|---|---|---|---|---|---|---|
| TC | 301 | 299.6 | 298 | 298 | ||||
| Structure | Orthor. | Orthor. | Orthor. | Orthor. | Orthor. | Orthor. | Orthor. | Orthor. |
| Space group | Ima2 or Imma | Pnma | Imma | Pnma | Imma | I212121 | Imma | Imma |
| Lattice constants | a = 7.152 | a = 7.149 | a = 23.94 | a = 7.1742 | a = 24.1756 | a = 23.9162 | ||
| b = 7.360 | b = 24.171 | b = 7.191 | b = 7.3817 | b = 7.1535 | b = 7.1877 | |||
| c = 23.986 | c = 7.334 | c = 7.399 | c = 23.9650 | c = 7.3314 | c = 7.3898 | |||
| Z | 4 | 4 | 2 | 4 | 4 | 4 | 4 | 4 |
| Measured | At room temp. | 299.6 < TC | 299.6 > TC | 173 | 333 | 298 | 173 | 333 |
| Temperature | ||||||||
| Reference | [34,35] | [31] | [31] | [36] | [36] | [23] | ||
Publisher’s Note: MDPI stays neutral with regard to jurisdictional claims in published maps and institutional affiliations. |
© 2022 by the authors. Licensee MDPI, Basel, Switzerland. This article is an open access article distributed under the terms and conditions of the Creative Commons Attribution (CC BY) license (https://creativecommons.org/licenses/by/4.0/).
Share and Cite
Lim, A.R.; Na, Y. Structural Characterization and Dynamics of a Layered 2D Perovskite [NH3(CH2)5NH3]MnCl4 Crystal near Phase Transition Temperature. Crystals 2022, 12, 1298. https://doi.org/10.3390/cryst12091298
Lim AR, Na Y. Structural Characterization and Dynamics of a Layered 2D Perovskite [NH3(CH2)5NH3]MnCl4 Crystal near Phase Transition Temperature. Crystals. 2022; 12(9):1298. https://doi.org/10.3390/cryst12091298
Chicago/Turabian StyleLim, Ae Ran, and Yeji Na. 2022. "Structural Characterization and Dynamics of a Layered 2D Perovskite [NH3(CH2)5NH3]MnCl4 Crystal near Phase Transition Temperature" Crystals 12, no. 9: 1298. https://doi.org/10.3390/cryst12091298
APA StyleLim, A. R., & Na, Y. (2022). Structural Characterization and Dynamics of a Layered 2D Perovskite [NH3(CH2)5NH3]MnCl4 Crystal near Phase Transition Temperature. Crystals, 12(9), 1298. https://doi.org/10.3390/cryst12091298

