Calcium Carbonate Originating from Snail Shells for Synthesis of Hydroxyapatite/L-Lysine Composite: Characterization and Application to the Electroanalysis of Toluidine Blue
Abstract
:1. Introduction
2. Materials and Methods
2.1. Reagents and Chemicals
2.2. Procedure for Obtaining the Different Materials, Preparation of the Hydroxyapatite (HA) and Hydroxyapatite/L-Lysine (HA/Lys) Composite
2.3. Characterization Techniques and Electroanalytical Methods
2.3.1. X-ray Diffraction (XRD)
2.3.2. Fourier Transform Infrared (FTIR) Spectroscopy
2.3.3. Thermal Analyses
2.3.4. Scanning Electron Microscopy (SEM)
2.3.5. BET Analysis
2.4. Electroanalytical Procedures
2.5. Working Electrode Preparation Procedure
3. Results and Discussion
3.1. Characterization of the Calcium Source
3.2. Electrochemical Characterization of HA, Lys and Lys/HA Materials
3.3. Electrochemical Sensing of Toluidine Blue using Lys/HA Composite as Glassy Carbon Electrode Modifier
3.3.1. Preliminary Study on the Effect of the Working Electrode Modification with Respect to Electrochemical Detection of TB Dye
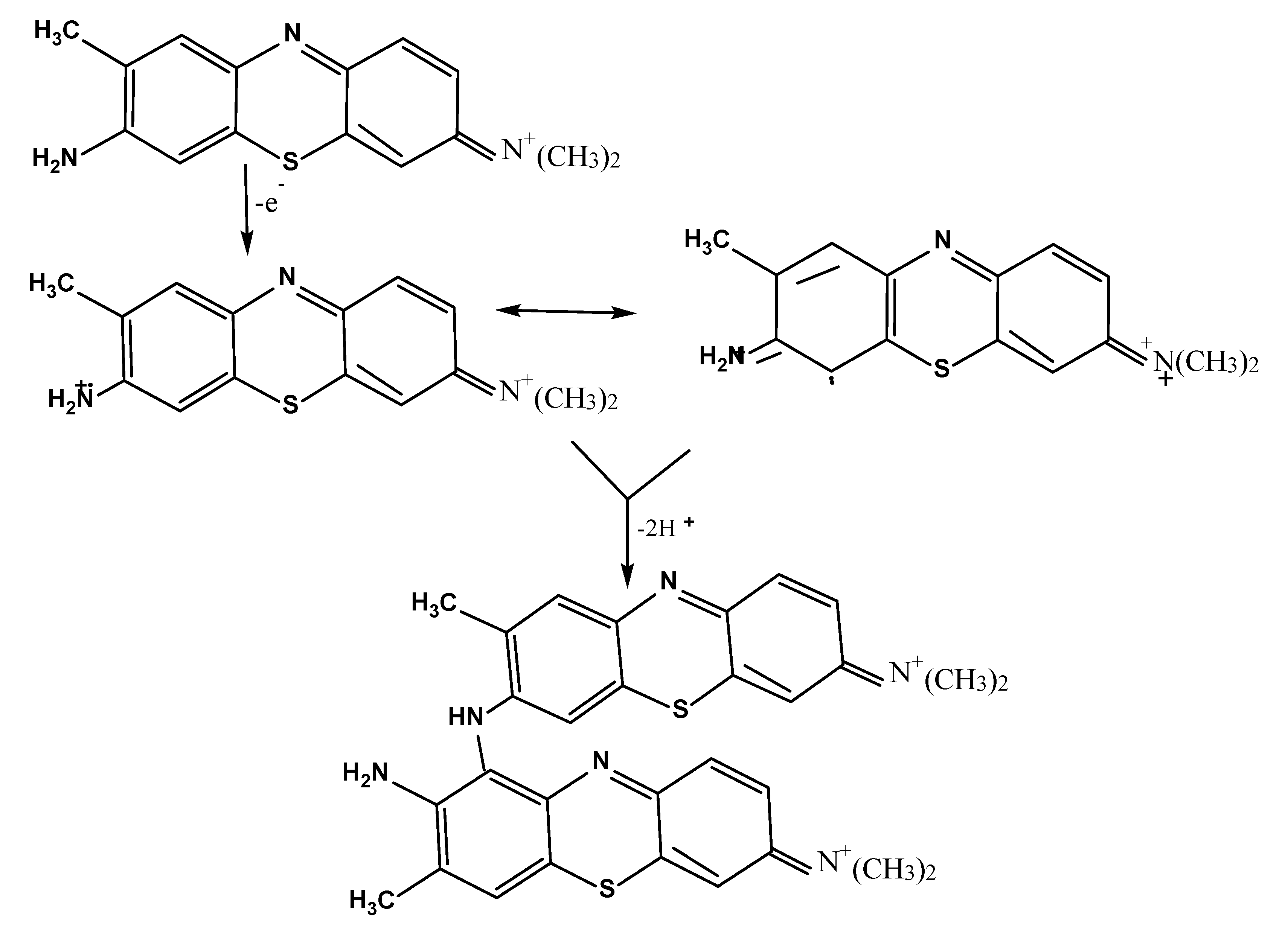
3.3.2. Kinetics Studies at GCE/Lys/HA Sensor by Cyclic Voltammetry
3.3.3. Effect of pH on the Peak Current and Potential
3.3.4. Calibration Curve of TB Using Lys/HA/GCE as Sensor
3.3.5. Interference Studies and Analytical Application of Lys/HA Coated GCE Sensor
4. Conclusions
Author Contributions
Funding
Data Availability Statement
Acknowledgments
Conflicts of Interest
References
- Deng, H.; Shen, X.-C.; Wang, X.-M.; Du, C. Calcium carbonate crystallization controlled by functional groups: A mini-review. Front. Mater. Sci. 2013, 7, 62–68. [Google Scholar] [CrossRef]
- Gavryushkin, P.N.; Belonoshko, A.B.; Sagatov, N.; Sagatova, D.; Zhitova, E.; Krzhizhanovskaya, M.G.; Rečnik, A.; Alexandrov, E.V.; Medrish, I.V.; Popov, Z.I.; et al. Metastable structures of CaCO 3 and their role in transformation of calcite to aragonite and postaragonite. Cryst. Growth Des. 2021, 21, 65–74. [Google Scholar] [CrossRef]
- Caspi, E.N.; Pokroy, B.; Lee, P.L.; Quintana, J.P.; Zolotoyabko, E. On the structure of aragonite. Acta Crystallogr. B 2005, 61, 129–132. [Google Scholar] [CrossRef]
- Falini, G.; Fermani, S.; Vanzo, S.; Miletic, M.; Zaffino, G. Influence on the Formation of Aragonite or Vaterite by Otolith Macromolecules. Eur. J. Inorg. Chem. 2005, 2005, 162–167. [Google Scholar] [CrossRef]
- Gopi, S.; Subramanian, V.K.; Palanisamy, K. Aragonite–calcite–vaterite: A temperature influenced sequential polymorphic transformation of CaCO3 in the presence of DTPA. Mater. Res. Bull. 2013, 48, 1906–1912. [Google Scholar] [CrossRef]
- Gower, L.B. Biomimetic model systems for investigating the amorphous precursor pathway and its role in biomineralization. Chem. Rev. 2008, 108, 4551–4627. [Google Scholar] [CrossRef] [Green Version]
- Ni, M.; Ratner, B.D. Differentiation of Calcium Carbonate Polymorphs by Surface Analysis Techniques—An XPS and TOF-SIMS study. Surf. Interface Anal. 2008, 40, 1356–1361. [Google Scholar] [CrossRef] [Green Version]
- Pöykiö, R.; Nurmesniemi, H. Calcium carbonate waste from an integrated pulp and paper mill as a potential liming agent. Environ. Chem. Lett. 2008, 6, 47–51. [Google Scholar] [CrossRef]
- Srivabut, C.; Ratanawilai, T.; Hiziroglu, S. Statistical modeling and response surface optimization on natural weathering of wood–plastic composites with calcium carbonate filler. J. Mater. Cycles Waste Manag. 2021, 23, 1503–1517. [Google Scholar] [CrossRef]
- Zhang, H.; Zeng, X.; Gao, Y.; Shi, F.; Zhang, P.; Chen, J.-F. A Facile Method To Prepare Superhydrophobic Coatings by Calcium Carbonate. Ind. Eng. Chem. Res. 2011, 50, 3089–3094. [Google Scholar] [CrossRef]
- Ersoy, O.; Güler, D.; Rençberoğlu, M. Effects of Grinding Aids Used in Grinding Calcium Carbonate (CaCO3) Filler on the Properties of Water-Based Interior Paints. Coatings 2022, 12, 44. [Google Scholar] [CrossRef]
- Schreiber, M.; Nunez, G. Calcium Carbonate Can Be Used to Manage Soilless Substrate pH for Blueberry Production. Horticulturae 2021, 7, 74. [Google Scholar] [CrossRef]
- Kouzu, M.; Kasuno, T.; Tajika, M.; Sugimoto, Y.; Yamanaka, S.; Hidaka, J. Calcium oxide as a solid base catalyst for transesterification of soybean oil and its application to biodiesel production. Fuel 2008, 87, 2798–2806. [Google Scholar] [CrossRef]
- He, K.; Song, Q.; Yan, Z.; Zheng, N.; Yao, Q. Study on competitive absorption of SO3 and SO2 by calcium hydroxide. Fuel 2019, 242, 355–361. [Google Scholar] [CrossRef]
- Pham Minh, D.; Lyczko, N.; Sebei, H.; Nzihou, A.; Sharrock, P. Synthesis of calcium hydroxyapatite from calcium carbonate and different orthophosphate sources: A comparative study. Mater. Sci. Eng. B 2012, 177, 1080–1089. [Google Scholar] [CrossRef] [Green Version]
- Pham Minh, D.; Tran, N.D.; Nzihou, A.; Sharrock, P. One-Step Synthesis of Calcium Hydroxyapatite from Calcium Carbonate and Orthophosphoric Acid under Moderate Conditions. Ind. Eng. Chem. Res. 2013, 52, 1439–1447. [Google Scholar] [CrossRef] [Green Version]
- Fiume, E.; Magnaterra, G.; Rahdar, A.; Verné, E.; Baino, F. Hydroxyapatite for Biomedical Applications: A Short Overview. Ceramics 2021, 4, 542–563. [Google Scholar] [CrossRef]
- Singh, G.; Singh, R.P.; Jolly, S.S. Customized hydroxyapatites for bone-tissue engineering and drug delivery applications: A review. J. Sol-Gel Sci. Technol. 2020, 94, 505–530. [Google Scholar] [CrossRef]
- Yoon, H.Y.; Lee, J.G.; Degli Esposti, L.; Iafisco, M.; Kim, P.J.; Shin, S.G.; Jeon, J.-R.; Adamiano, A. Synergistic Release of Crop Nutrients and Stimulants from Hydroxyapatite Nanoparticles Functionalized with Humic Substances: Toward a Multifunctional Nanofertilizer. ACS Omega 2020, 5, 6598–6610. [Google Scholar] [CrossRef] [Green Version]
- Koliyabandara, P.A.; Hettithanthri, O.; Rathnayake, A.; Rajapaksha, A.U.; Nanayakkara, N.; Vithanage, M. Hydroxyapatite for environmental remediation of water/wastewater. In Integrated Environmental Technologies for Wastewater Treatment and Sustainable Development; Elsevier: Alpharetta, GA, USA, 2022; pp. 167–191. ISBN 9780323911801. [Google Scholar]
- Tran, T.N.; Kim, J.; Park, J.-S.; Chung, Y.; Han, J.; Oh, S.; Kang, S. Novel Hydroxyapatite Beads for the Adsorption of Radionuclides from Decommissioned Nuclear Power Plant Sites. Appl. Sci. 2021, 11, 1746. [Google Scholar] [CrossRef]
- Capitelli, F.; Dida, B.; Della Ventura, G.; Baldassarre, F.; Capelli, D.; Senesi, G.S.; Mele, A.; Siliqi, D. Functional Nano-Hydroxyapatite for Applications in Conservation of Stony Monuments of Cultural Heritage. In The 2nd International Online Conference on Crystals; International Online Conference on Crystals; MDPI: Basel, Switzerland, 2020; pp. 1–12. [Google Scholar]
- Guo, N.; Zhao, M.; Li, S.; Hao, J.; Wu, Z.; Zhang, C. Stereocomplexation Reinforced High Strength Poly(L-lactide)/Nanohydroxyapatite Composites for Potential Bone Repair Applications. Polymers 2022, 14, 645. [Google Scholar] [CrossRef]
- Figueroa-Rosales, E.X.; Martínez-Juárez, J.; García-Díaz, E.; Hernández-Cruz, D.; Sabinas-Hernández, S.A.; Robles-Águila, M.J. Photoluminescent Properties of Hydroxyapatite and Hydroxyapatite/Multi-Walled Carbon Nanotube Composites. Crystals 2021, 11, 832. [Google Scholar] [CrossRef]
- Paterlini, V.; Bettinelli, M.; Rizzi, R.; El Khouri, A.; Rossi, M.; Della Ventura, G.; Capitelli, F. Characterization and Luminescence of Eu3+- and Gd3+-Doped Hydroxyapatite Ca10(PO4)6(OH)2. Crystals 2020, 10, 806. [Google Scholar] [CrossRef]
- Huerta, V.J.; Fernández, P.; Gómez, V.; Graeve, O.A.; Herrera, M. Defect-related luminescence properties of hydroxyapatite nanobelts. Appl. Mater. Today 2020, 21, 100822. [Google Scholar] [CrossRef]
- Marincaș, L.; Turdean, G.L.; Toșa, M.; Kovács, Z.; Kovács, B.; Barabás, R.; Farkas, N.-I.; Bizo, L. Hydroxyapatite and Silicon-Modified Hydroxyapatite as Drug Carriers for 4-Aminopyridine. Crystals 2021, 11, 1124. [Google Scholar] [CrossRef]
- Tchoffo, R.; Ngassa, G.B.P.; Doungmo, G.; Kamdem, A.T.; Tonlé, I.K.; Ngameni, E. Surface functionalization of natural hydroxyapatite by polymerization of β-cyclodextrin: Application as electrode material for the electrochemical detection of Pb(II). Environ. Sci. Pollut. Res. Int. 2022, 29, 222–235. [Google Scholar] [CrossRef]
- Tchoffo, R.; Ngassa, G.B.P.; Tonlé, I.K.; Ngameni, E. Electroanalysis of diquat using a glassy carbon electrode modified with natural hydroxyapatite and β-cyclodextrin composite. Talanta 2021, 222, 121550. [Google Scholar] [CrossRef]
- Lou, Z.; Zeng, Q.; Chu, X.; Yang, F.; He, D.; Yang, M.; Xiang, M.; Zhang, X.; Fan, H. First-principles study of the adsorption of lysine on hydroxyapatite (100) surface. Appl. Surf. Sci. 2012, 258, 4911–4916. [Google Scholar] [CrossRef]
- Koutsopoulos; Dalas. The Crystallization of Hydroxyapatite in the Presence of Lysine. J. Colloid Interface Sci. 2000, 231, 207–212. [Google Scholar] [CrossRef]
- Ngouoko, J.J.K.; Tajeu, K.Y.; Temgoua, R.C.T.; Doungmo, G.; Doench, I.; Tamo, A.K.; Kamgaing, T.; Osorio-Madrazo, A.; Tonle, I.K. Hydroxyapatite/L-Lysine Composite Coating as Glassy Carbon Electrode Modifier for the Analysis and Detection of Nile Blue A. Materials 2022, 15, 4626. [Google Scholar] [CrossRef]
- Sridharan, G.; Shankar, A.A. Toluidine blue: A review of its chemistry and clinical utility. J. Oral Maxillofac. Pathol. 2012, 16, 251–255. [Google Scholar] [CrossRef] [Green Version]
- Comeau, P.; Willett, T. Impact of Side Chain Polarity on Non-Stoichiometric Nano-Hydroxyapatite Surface Functionalization with Amino Acids. Sci. Rep. 2018, 8, 12700. [Google Scholar] [CrossRef] [Green Version]
- Cai, G.-B.; Chen, S.-F.; Liu, L.; Jiang, J.; Yao, H.-B.; Xu, A.-W.; Yu, S.-H. 1,3-Diamino-2-hydroxypropane-N,N,N′,N′-tetraacetic acid stabilized amorphous calcium carbonate: Nucleation, transformation and crystal growth. CrystEngComm 2010, 12, 234–241. [Google Scholar] [CrossRef]
- Lee, Y.-L.; Wang, W.-H.; Lin, F.-H.; Lin, C.-P. Hydration behaviors of calcium silicate-based biomaterials. J. Formos. Med. Assoc. 2017, 116, 424–431. [Google Scholar] [CrossRef] [Green Version]
- Gao, J.; Liu, Y.; Wu, X.; Yuan, X.; Liu, Y.; Su, W. Structural Modifications of Single-Crystal Aragonite CaCO3 Beginning at ~15 GPa: In Situ Vibrational Spectroscopy and X-Ray Diffraction Evidence. Minerals 2020, 10, 924. [Google Scholar] [CrossRef]
- Kontoyannis, C.G.; Vagenas, N.V. Calcium carbonate phase analysis using XRD and FT-Raman spectroscopy. Analyst 2000, 125, 251–255. [Google Scholar] [CrossRef]
- LABIDI, N.S.; DJEBAILI, A. Studies of The Mechanism of Polyvinyl Alcohol Adsorption on The Calcite/Water Interface in The Presence of Sodium Oleate. JMMCE 2008, 07, 147–161. [Google Scholar] [CrossRef]
- Poralan, G.M.; Gambe, J.E.; Alcantara, E.M.; Vequizo, R.M. X-ray diffraction and infrared spectroscopy analyses on the crystallinity of engineered biological hydroxyapatite for medical application. IOP Conf. Ser. Mater. Sci. Eng. 2015, 79, 12028. [Google Scholar] [CrossRef] [Green Version]
- Laskar, I.B.; Rajkumari, K.; Gupta, R.; Chatterjee, S.; Paul, B.; Rokhum, S.L. Waste snail shell derived heterogeneous catalyst for biodiesel production by the transesterification of soybean oil. RSC Adv. 2018, 8, 20131–20142. [Google Scholar] [CrossRef] [Green Version]
- Labus, K. Comparison of the Properties of Natural Sorbents for the Calcium Looping Process. Materials 2021, 14, 548. [Google Scholar] [CrossRef]
- Zhang, G.; Xu, J. From colloidal nanoparticles to a single crystal: New insights into the formation of nacre’s aragonite tablets. J. Struct. Biol. 2013, 182, 36–43. [Google Scholar] [CrossRef]
- An, Y.; Liu, Z.; Wu, W. Phase transition of aragonite in abalone nacre. Phase Transit. 2013, 86, 391–395. [Google Scholar] [CrossRef]
- Baumer, A.; Ganteaume, M.; Bernat, M. Variations de la teneur en eau des coraux lors de la transformation aragonite → calcite. Thermochim. Acta 1993, 221, 255–262. [Google Scholar] [CrossRef]
- Geuli, O.; Lewinstein, I.; Mandler, D. Composition-Tailoring of ZnO-Hydroxyapatite Nanocomposite as Bioactive and Antibacterial Coating. ACS Appl. Nano Mater. 2019, 2, 2946–2957. [Google Scholar] [CrossRef]
- Chen, S.-H.; Tsai, W.-L.; Chen, P.-C.; Fang, A.; Say, W.-C. Influence of Applied Voltages on Mechanical Properties and In-Vitro Performances of Electroplated Hydroxyapatite Coatings on Pure Titanium. J. Electrochem. Soc. 2016, 163, D305–D308. [Google Scholar] [CrossRef]
- Zeng, J.; Wei, W.; Wu, L.; Liu, X.; Liu, K.; Li, Y. Fabrication of poly(toluidine blue O)/carbon nanotube composite nanowires and its stable low-potential detection of NADH. J. Electroanal. Chem. 2006, 595, 152–160. [Google Scholar] [CrossRef]
- Laviron, E. General expression of the linear potential sweep voltammogram in the case of diffusionless electrochemical systems. J. Electroanal. Chem. Interfacial Electrochem. 1979, 101, 19–28. [Google Scholar] [CrossRef]
- Zhou, D.-m.; Sun, J.-J.; Chen, H.-y.; Fang, H.-q. Electrochemical polymerization of toluidine blue and its application for the amperometric determination of β-d-glucose. Electrochim. Acta 1998, 43, 1803–1809. [Google Scholar] [CrossRef]
- Nasri, Z.; Shams, E.; Ahmadi, M. Direct Modification of a Glassy Carbon Electrode with Toluidine Blue Diazonium Salt: Application to NADH Determination and Biosensing of Ethanol. Electroanalysis 2013, 25, 1917–1925. [Google Scholar] [CrossRef]
- Cai, C.-X.; Xue, K.-H. Electrochemical polymerization of toluidine blue o and its electrocatalytic activity toward NADH oxidation. Talanta 1998, 47, 1107–1119. [Google Scholar] [CrossRef]
- Tajeu, K.Y.; Ymele, E.; Zambou Jiokeng, S.L.; Tonle, I.K. Electrochemical Sensor for Caffeine Based on a Glassy Carbon Electrode Modified with an Attapulgite/nafion Film. Electroanalysis 2018, 6, 997. [Google Scholar] [CrossRef]
- Tonlé, I.K.; Ngameni, E.; Tcheumi, H.L.; Tchiéda, V.; Carteret, C.; Walcarius, A. Sorption of methylene blue on an organoclay bearing thiol groups and application to electrochemical sensing of the dye. Talanta 2008, 74, 489–497. [Google Scholar] [CrossRef]
- Hassan, S.S.; Nafady, A.; Sirajuddin; Solangi, A.R.; Kalhoro, M.S.; Abro, M.I.; Sherazi, S.T.H. Ultra-trace level electrochemical sensor for methylene blue dye based on nafion stabilized ibuprofen derived gold nanoparticles. Sens. Actuators B Chem. 2015, 208, 320–326. [Google Scholar] [CrossRef]
- Njanja, E.; Mbokou, S.F.; Pontie, M.; Nacef, M.; Tonle, I.K. Comparative assessment of methylene blue biosorption using coffee husks and corn cobs: Towards the elaboration of a lignocellulosic-based amperometric sensor. SN Appl. Sci. 2019, 1, 233. [Google Scholar] [CrossRef] [Green Version]
- Nekoueian, K.; Jafari, S.; Amiri, M.; Sillanpaa, M. Pre-Adsorbed Methylene Blue at Carbon-Modified TiO2 Electrode: Application for Lead Sensing in Water. IEEE Sens. J. 2018, 18, 9477–9485. [Google Scholar] [CrossRef]











| Samples | Surface Area (m2/g) | Pore Volume (cm3/g) |
|---|---|---|
| escN | 3.03 | 0.0022 |
| esc400 | 2.27 | 0.0046 |
| esc700 | 4.96 | 0.004 |
| esc1000 | 5.22 | 0.0099 |
| Electrodes | C1 (F) | R1 (Ω) | R2 (Ω) | W (Hz) | CPE1 |
|---|---|---|---|---|---|
| GCE | 0.0006 | 9800 | 15,000 | 2000 | 0.001 |
| HA/GCE | 0.0006 | 400 | 12,000 | 1000 | 0.09 |
| Lys/GCE | 0.0005 | 200 | 12,000 | 1000 | 0.09 |
| Lys/HA/GCE | 0.0005 | 200 | 9000 | 1950 | 0.0003 |
| Electrodes | Modifiers | DLR (µM) | LOD (µM) | Methods | Analytes | References |
|---|---|---|---|---|---|---|
| CPE (a) | Thiol functionalized-clay | 1 to 14 | 0.4000 | CV (b) | MB (c) | [54] |
| CPE | Ibuprofen coated gold | 0.01 to 1 | 0.0039 | DPV (d) | MB | [55] |
| CPE | Coffee husks | 1 to 125 | 3.0000 | SWV (e) | MB | [56] |
| GCE | CMTN (f) | 0.01 to 10 | 0.0030 | DPV | MB | [57] |
| GCE (g) | Lys/HA | 0.1 to 1 | 0.0507 | DPV | NBA (h) | [32] |
| GCE | Lys/HA | 1 to 10 | 0.278 | DPV | TB | This work |
| Interference Species | Added Amount over TB Concentration | % Variation in the Anodic Peak Current of TB |
|---|---|---|
| NBA | 2 4 | −10.36 −15.02 |
| MO | 2 4 | +1.26 +8.48 |
| Fe3+ | 2 4 | +5.19 +20.71 |
| CA | 2 4 | −8.05 −9.14 |
| OA | 2 4 | −9.21 −14.01 |
Publisher’s Note: MDPI stays neutral with regard to jurisdictional claims in published maps and institutional affiliations. |
© 2022 by the authors. Licensee MDPI, Basel, Switzerland. This article is an open access article distributed under the terms and conditions of the Creative Commons Attribution (CC BY) license (https://creativecommons.org/licenses/by/4.0/).
Share and Cite
Ngouoko, J.J.K.; Tajeu, K.Y.; Fotsop, C.G.; Tamo, A.K.; Doungmo, G.; Temgoua, R.C.T.; Kamgaing, T.; Tonle, I.K. Calcium Carbonate Originating from Snail Shells for Synthesis of Hydroxyapatite/L-Lysine Composite: Characterization and Application to the Electroanalysis of Toluidine Blue. Crystals 2022, 12, 1189. https://doi.org/10.3390/cryst12091189
Ngouoko JJK, Tajeu KY, Fotsop CG, Tamo AK, Doungmo G, Temgoua RCT, Kamgaing T, Tonle IK. Calcium Carbonate Originating from Snail Shells for Synthesis of Hydroxyapatite/L-Lysine Composite: Characterization and Application to the Electroanalysis of Toluidine Blue. Crystals. 2022; 12(9):1189. https://doi.org/10.3390/cryst12091189
Chicago/Turabian StyleNgouoko, Jimmy Julio Kouanang, Kevin Yemele Tajeu, Cyrille Ghislain Fotsop, Arnaud Kamdem Tamo, Giscard Doungmo, Ranil Clément Tonleu Temgoua, Théophile Kamgaing, and Ignas Kenfack Tonle. 2022. "Calcium Carbonate Originating from Snail Shells for Synthesis of Hydroxyapatite/L-Lysine Composite: Characterization and Application to the Electroanalysis of Toluidine Blue" Crystals 12, no. 9: 1189. https://doi.org/10.3390/cryst12091189
APA StyleNgouoko, J. J. K., Tajeu, K. Y., Fotsop, C. G., Tamo, A. K., Doungmo, G., Temgoua, R. C. T., Kamgaing, T., & Tonle, I. K. (2022). Calcium Carbonate Originating from Snail Shells for Synthesis of Hydroxyapatite/L-Lysine Composite: Characterization and Application to the Electroanalysis of Toluidine Blue. Crystals, 12(9), 1189. https://doi.org/10.3390/cryst12091189

