Next Article in Journal
To Be or Not to Be a (4,4) Net: Reactions of 4′-{4-(N,N-Diethylaminophenyl)}- and 4′-{4-(N,N-Diphenylaminophenyl)}-3,2′:6′,3″- and 4,2′:6′,4″-Terpyridines with Cobalt(II) Thiocyanate
Previous Article in Journal
Study of Microstructure and Properties of AZ91 Magnesium Alloy Welded Joint with Magnetic Field and TiO2 Activated Flux
 
 
Font Type:
Arial Georgia Verdana
Font Size:
Aa Aa Aa
Line Spacing:
Column Width:
Background:
Article

Study on the Performance of Sunflower Quasi-Periodic Photonic Crystal Superlens

1
School of Physics and Electronics, North China University of Water Resources and Electric Power, Zhengzhou 450046, China
2
Henan Key Laboratory of Laser and Opto-Electric Information Technology, School of Information Engineering, Zhengzhou University, Zhengzhou 450052, China
*
Authors to whom correspondence should be addressed.
Crystals 2022, 12(8), 1134; https://doi.org/10.3390/cryst12081134
Submission received: 25 May 2022 / Revised: 10 July 2022 / Accepted: 9 August 2022 / Published: 12 August 2022

Abstract

A study for the performance of the Sunflower (circular symmetric structure) quasi-periodic photonic crystal superlens is presented. A series of parameters, including thickness, refractive index and duty cycle, of the Sunflower structure are discussed. The analysis of this study illustrates that the Sunflower structure could provide excellent focusing imaging due to its good circular symmetry and also have negative refraction in low refractive index materials. It provides an important way to choose an alternative to positive refraction lenses in the future.

1. Introduction

In recent years, a negative refraction lens that can break the diffraction limit has become a hot research area. The dispersion characteristics of electromagnetic wave transmissions cause negative refraction in periodic photonic crystals, and the frequency range of negative refraction can be found by calculating the frequency surface [1,2,3]. However, the anisotropy of the dispersion of periodic photonic crystals makes the negative refraction more complex. Periodic photonic crystals could achieve far-field imaging only by designing a complex structure and using some non-dielectric properties as the matrix material [4]. In order to achieve uniform dispersion and far-field focusing, it is necessary to choose a structure with high symmetry to construct the lens; photonic crystals with a quasi-periodic structure just meet this requirement. Compared with negative refractive index media and periodic photonic crystals, quasi-periodic photonic crystals have the following advantages: (1) using pure dielectric materials without introducing metal wire arrays, the evanescent wave can also be amplified and the diffraction limit can be broken; (2) non-near-field absolute negative refraction imaging can be achieved without introducing structural correction [5].
In 2004, Feng et al. [5] prepared twelve Stampfli-type quasi-periodic photonic crystals and studied the imaging characteristics of this flat plate structure to point light source. The simulation is performed by using the multiple scattering method. Zhang and Li et al. [6] have studied the focusing effect in twelve-fold Penrose-type quasi-periodic photonic crystal flat lenses. It is pointed out that the focusing imaging characteristics of quasi-periodic photonic crystals come from the high rotation symmetry and its negative refraction effect by using the multiple scattering method. Gennaro et al. [7] used a two-dimensional full-wave method to study the influences of the thickness and the width of the 12-fold Stampfli-type quasi-periodic photonic crystal plate on the sub-wavelength focusing and imaging characteristics and pointed out that the focusing imaging is greatly affected by thickness, but not by width. Gennaro et al. [8] experimentally verified a series of conclusions about the generation of the negative refraction effect and point source focusing reported by the research group of the Institute of Physics, Chinese Academy of Sciences in 2005. Ren et al. [9] of Tianjin University calculated the negative refraction and non-near field imaging characteristics of twelve Stampfli air hole quasi-periodic photonic crystals by using the finite-difference time domain (FDTD) method. Then, the influence of the surface cross-section of 12 Stampfli air hole quasi-periodic photonic crystal flat lenses on electromagnetic wave propagation and focusing is calculated [10]. Ren et al. [11] used the finite-difference time domain (FDTD) method to analyze the influence of the position disorder and the radius disorder of scatterers on the focusing of a plate lens. The analysis of focusing imaging characteristics of photonic crystals mostly involves periodic photonic crystals, or octet, dectet, twelve-fold Penrose-type and twelve-fold Stampfli-type quasi-periodic photonic crystals [12]. Focusing imaging characteristics of Sunflower-type quasi-periodic photonic crystals have not been studied much. Previous studies of the Sunflower structure have focused on its use as a high-Q microcavity laser [13], its large curved waveguide due to its smooth structure [14], and its gradient lens based on Sunflower photonic crystals [15,16]. This paper presents the focusing imaging characteristics of Sunflower-type quasi-periodic photonic crystals.

2. Structure Design of Sunflower Quasi-Periodic Photonic Crystal Superlens

A Sunflower quasi-periodic photonic crystal (QPC) is aperiodic, but the dielectric column is systematically distributed on an air background, which is shown in the x-z plane as follows:
x = α Ncos ( 2 m π MN ) ,   z = α Nsin ( 2 m π MN ) ,   m = 1 ~ MN
where a is the distance between two adjacent circles as the lattice constant, N is the ordinal number of each circle from inside to outside, M is the number of dielectric columns in the first ring, m is the variable and x, z are the coordinates of each medium column. The six-weight Sunflower structure is mainly studied, so M = 6 is substituted into this formula.
Although the air column structure is easily prepared, the surface reflectivity of the flat lens is high. Only the Sunflower-type flat lens with SiO2 dielectric column is considered. The central symmetric point of the flat lens (as shown in the rectangular frame) for a six-weight Sunflower quasi-periodic photonic crystal coincides with the origin O of the 2-d plane xoz. (Figure 1). Supposing the object distance of point light source is u, the thickness of lens is d and the image distance is v.

3. Relationship between Imaging Characteristics and Thickness

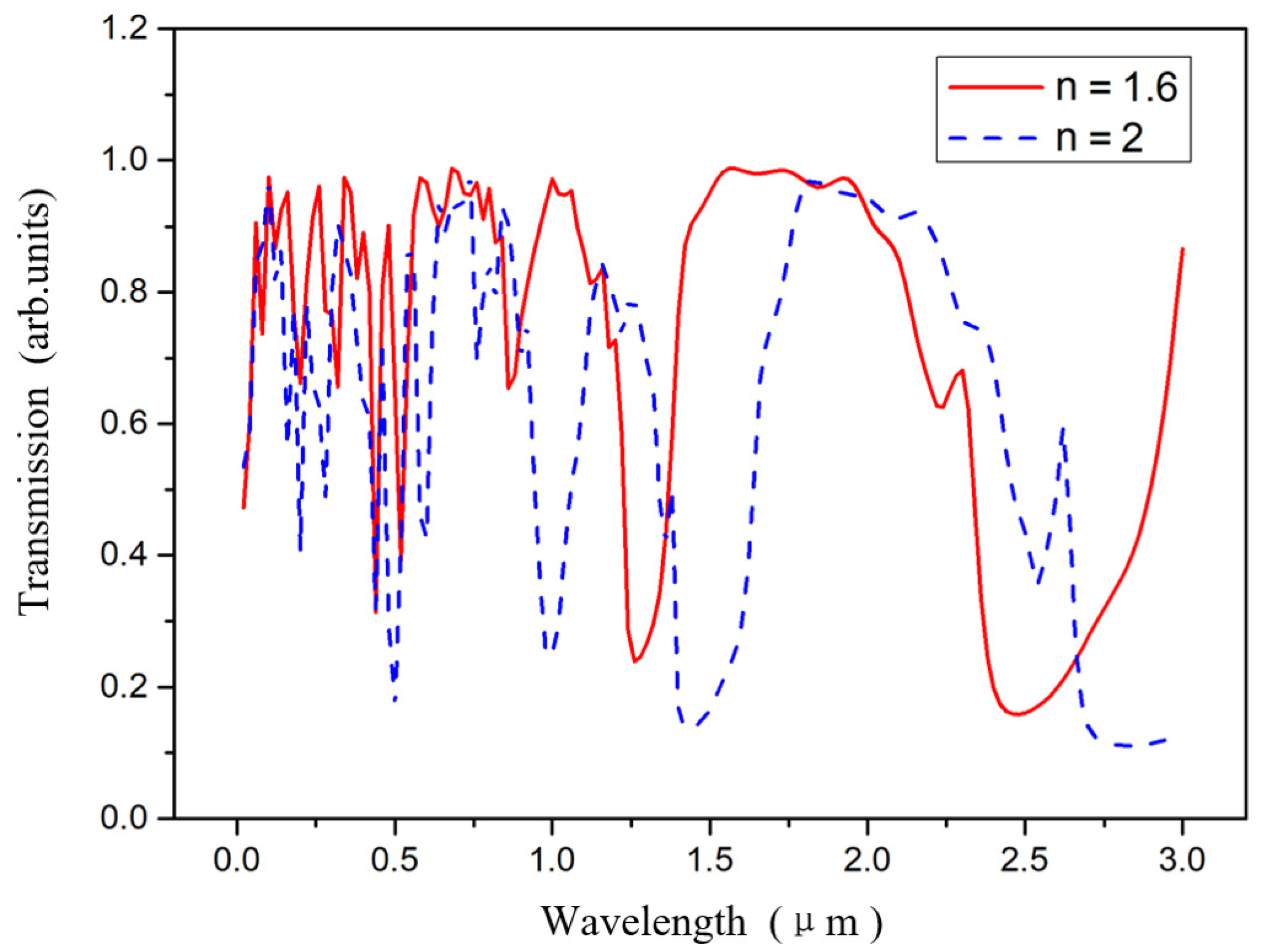
It is well known that the traditional optical lens has concave and convex thicknesses, of which the shape and thickness affect its performance. Therefore, researchers often change the shape, structure and size of the lens to suit its specific application. However, the limitations of aberration and the large size of an ordinary lens are not conducive to the fabrication of a micro-lens, which is an important imaging component in integrated optics. Researchers have found that photonic crystals could break through the diffraction limit and become one choice for making micro-lenses. First of all, the influence of the thickness for a flat lens on its imaging characteristics is discussed in order to select a reasonable number of layers (thickness) for further analysis. When assessing the imaging characteristics on different thicknesses, the lattice constant is fixed at 0.3. Generally, the larger the radius of the photonic crystal dielectric column, the easier the experimental preparation will be. A Sunflower photonic crystal structure has no translational symmetry. Note that the z position of the point light source is set as x = 0, whose distance from the lens is half the thickness of the lens. According to the negative refraction focusing theory of a flat lens mentioned in the literature, the distance from the flat surface is U = d/2, which is a necessary condition for point light source imaging. Because the first Brillouin region that exists in the two-dimensional periodic photonic crystals does not exist in quasi-periodic photonic crystals, there is no isofrequency surface to describe the negative refraction effect, but the photonic band structure of quasi-periodic photonic crystals is easy to obtain. The Sunflower QPC also has no available isoplane. Therefore, for any quasi-periodic Sunflower photonic crystal flat lens, the passband wavelengths outside the band gap could be explored one by one based on this relation to find the focusing and imaging bands. The calculation method in the following sections is similar and would not be further described. Only the transmission spectra of nine-layer Sunflower QPCs with refractive index 1.6 and refractive index 2.0 are given here, as shown in Figure 2.
The above peaks of transmission spectrum are grouped one by one to observe whether there is negative refraction imaging. It is found that when the refractive index increases to 2.8, the overall transmittance decreases obviously and the reflection increases. Therefore, only the transmission spectra of the Sunflower lens with 17, 13, 9 and 5 layers and refractive indexes 1.6, 2 and 2.4 were calculated, respectively. The relative intensity Ip is listed as shown in Table 1.
According to the data analysis in Table 1, it could be concluded that when the number of layers is nine, there are more effective values with better efficiency. Therefore, in the following discussion, the number of layers is fixed at nine for discussing. The intensity distribution diagram with nine layers, refractive index 1.6 and wavelength 1.7 µm is shown in Figure 3. An interesting pattern could be found from Table 1: focusing occurs at 5, 9, 13 and 17 layers with 4 layers apart. From the literature [16], we know that changing the thickness of the lens not only affects the stable focusing phenomenon of the lens, but also affects the focusing imaging characteristics of the lens to point light source. In the region where the focusing phenomenon can occur, changing thickness will affect the surface condition of the lens, thus affecting the image intensity, image quality and image distance of the lens, which do not change monotonously with the lens thickness. Its fundamental cause or physical mechanism is that because of the two-dimensional photonic crystal structure of the quasi periodicity, when the thickness of the lens is monotonously changed, the arrangement of scatters on the front and back surfaces does not change regularly. As a result, when the light wave from the point light source propagates to the front surface of the lens, its wavefront will split in different directions, that is, a large number of photons will scatter in different directions on the surface and the lens. As a result, the intensity, width and direction of the two-photon beam emanating from the surface behind the lens are not regular and, finally, the image intensity, image quality and image distance of the point light source from the lens do not change monotonously. However, the focus phenomenon is not due to the thickness of the lens or the specific conditions of the surface, because it can produce an obvious two-photon beam. For the two-dimensional photonic quasicrystal plate lens with the parameters set by us, the thickness that can produce the focusing phenomenon is at and near the corresponding thickness of the main channel that can produce the annular photon flow. In other words, the farther away from these thicknesses, the farther away from the main channel of annular photon flow, the less easily the focusing phenomenon is produced.

4. Relationship among Imaging Characteristics and Refractive Index and Duty Cycle

The Sunflower quasi-periodic photonic crystal, like periodic photonic crystals, can be constructed of two pure dielectric materials: a high dielectric column in a low dielectric background and a low dielectric column in a high dielectric background. Since air is often used as a medium with a low dielectric constant in theory, the structural arrangement factor in photonic crystals is called air hole or rod in most literatures. The medium with the high dielectric constant is usually called the matrix. Because dielectric column quasi-periodic photonic crystals have no absorbability without structural modification, and have low reflectivity, they have become a research hotspot. Sunflower QPC has the same advantages.
It is well known that the matrix relative dielectric constant (or refractive index), one of the basic parameters of QPC, is also the basic parameter of the Sunflower photonic crystal, which determines the physical characteristics of Sunflower QPC, such as the photonic band structure and band gap characteristics. Therefore, the focusing effect of the Sunflower QPC flat lens could be effected. In addition, compared with periodic photonic crystals, the dielectric column (or air hole) of Sunflower QPC has rotational symmetry, though not translational symmetry. The duty ratio of the dielectric column (or air hole) will influence the effective relative permittivity. Then, it will influence the physical properties of the Sunflower QPC, such as the photonic band structure and the photonic band gap. Furthermore, the photonic band structure influences the focusing characteristics of the photonic quasi-crystals. Therefore, it is significant to study the focusing imaging characteristics of the Sunflower photonic crystal with different duty ratios. Nevertheless, most of the previous research methods use a fixed single refractive index to study the impact of the duty ratio on imaging characteristics, or a fixed duty ratio to study the impact of refractive index on imaging characteristics. As mentioned above, the difference of duty cycle will affect the effective relative permittivity and thus the focusing characteristics. Hence, it is necessary to study the duty cycle and the refractive index together to increase the coverage of the study. Since the duty cycle of 0.5 will cause the overlap of the dielectric column, it is meaningless to continue this study and will not be included in the discussion here. The method is the same as the previous section.
The calculation shows that there is no good imaging when the duty cycle is 0.1, 0.2 and 0.25. Consequently, only the data table and light field distribution map of duty cycle 0.3, 0.35, 0.4 and 0.45 are given.
The calculated values are compared with different duty ratios and refractive indexes in Table 2. According to the table, some intensity distributions with better values are shown in Figure 4. The point light could be imaged behind the Sunflower QPC lens with different duty ratios, refractive index and wavelength. The imaging characteristics vary with the parameters of each part of the lens.

5. Conclusions

In this paper, the Sunflower-type quasi-periodic photonic crystal superlens was studied. A series of parameters including thickness, refractive index and duty cycle of the Sunflower structure were compared. It is found that a point light source could be imaged well through the Sunflower-type QPC superlens based on its good circular symmetry. In previous studies on periodic or quasi-periodic photonic crystal superlenses, materials with a high dielectric constant were mostly used, while the Sunflower QPC lens also has a good superlensing effect in low dielectric constant materials. The Sunflower QPC superlens has the advantages of having a simple structure and a better imaging effect compared with a traditional quasi-periodic photonic crystal superlens. It provides an important way to choose an alternative to superlenses in the future and also has some reference significance for the selection of meta-surface materials.

Author Contributions

Data curation, W.L; Formal analysis, W.L.; Funding acquisition, H.L.; Supervision, H.L. and F.Z.; Writing—original draft, W.L.; Writing—review and editing, L.C. All authors have read and agreed to the published version of the manuscript.

Funding

This research was supported by: Research Foundation for Advanced Talents of North China University of Water Resources and Electric Power (Project’s Number: 201803021); The Opening Foundation of Henan Key Laboratory of Laser and Opto-electric Information Technology, School of Information Engineering (Project’s Number: JG2021-RF01); Key projects of Henan Provincial Department of Education (Project’s Number: 192102210253); National Programs for Science and Technology Development of China (Project’s Number: 21A510006).

Data Availability Statement

The data presented in this study are available within the manuscript.

Acknowledgments

We are thankful for the support given by: Research Foundation for Advanced Talents of North China University of Water Resources and Electric Power (Project’s Number: 201803021); The Opening Foundation of Henan Key Laboratory of Laser and Opto-electric Information Technology, School of Information Engineering (Project’s Number: JG2021-RF01); Key projects of Henan Provincial Department of Education (Project’s Number: 192102210253); National Programs for Science and Technology Development of China (Project’s Number: 21A510006).

Conflicts of Interest

The authors declare no conflict of interest.

References

  1. Notomi, M. Theory of Light Propagation in Strongly Modulated Photonic Crystals: Refraction like Behavior in the Vicinity of the Photonic Band Gap. Phys. Rev. B 2000, 62, 10696–10705. [Google Scholar] [CrossRef]
  2. Foteinopoulou, S.; Soukoulis, C.M. Negative Refraction and Left-Handed Behavior in Two-Dimensional Photonic Crystals. Phys. Rev. B 2003, 67, 235107. [Google Scholar] [CrossRef]
  3. Berrier, A.; Mulot, M.; Swillo, M.; Qiu, M.; Thylen, L.; Talneau, A.; Anand, S. Negative Refraction at Infrared Wavelengths in a Two-Dimensional Photonic Crystal. Phys. Rev. Lett. 2004, 93, 073902. [Google Scholar] [CrossRef] [PubMed]
  4. Zhang, X.D. Tunable Non-near-Field Focus and Imaging of an Unpolarized Electromagnetic Wave. Phys. Rev. B 2005, 71, 235103. [Google Scholar] [CrossRef]
  5. Feng, Z.F.; Zhang, X.D.; Wang, Y.Q.; Li, Z.Y.; Cheng, B.Y.; Zhang, D.Z. Negative Refraction and Imaging Using 12-Fold Symmetry Quasicrystals. Phys. Rev. Lett. 2005, 94, 247402. [Google Scholar] [CrossRef]
  6. Zhang, X.D.; Li, Z.Y.; Cheng, B.Y.; Zhang, D.Z. Non-near-field Focus and Imaging of an Unpolarized Electromagnetic Wave through High-Symmetry Quasicrystals. Opt. Express 2007, 15, 1292–1300. [Google Scholar] [CrossRef] [PubMed]
  7. di Gennaro, E.; Morello, D.; Miletto, C.; Savo, S.; Andreone, A.; Castaldi, G.; Galdi, V.; Pierro, V. A Parametric Study of the Lensing Properties of Dodecagonal Photonic Quasicrystals. Photonic. Nanostruct. Fund. Appl. 2008, 6, 60–68. [Google Scholar] [CrossRef]
  8. di Gennaro, E.; Miletto, C.; Savo, S.; Andreone, A.; Morello, D.; Galdi, V.; Castaldi, G.; Pierro, V. Evidence of Local Effects in Anomalous Refraction and Focusing Properties of Dodecagonal Photonic Quasicrystals. Phys. Rev. B 2008, 77, 193104. [Google Scholar] [CrossRef]
  9. Ren, K.; Ren, X.B.; Li, Z.Y.; Zhang, D.Z. Imaging Property of Two-Dimensional Quasiperiodic Photonic Crystals. Eur. Phys. J. Appl. Phys. 2008, 42, 281–285. [Google Scholar] [CrossRef]
  10. Ren, K.; Ren, X.B. Focus Achieved by a Slab Lens of Quasiperiodic Photonic Crystal. Acta Opt. Sin. 2009, 29, 2317–2319. [Google Scholar] [CrossRef]
  11. Ren, X.B.; Ren, K. Influence of Disorders on the Focusing Property of Photonic Quasicrystal Slab. Solid State Commun. 2011, 151, 42–46. [Google Scholar] [CrossRef]
  12. Liu, J. Study on Band Gap and Imaging Characteristics of Two-Dimensional Photonic Quasicrystals; Harbin Institute of Technology: Harbin, China, 2013. [Google Scholar]
  13. Xiao, S.; Qiu, M. High-Q microcavities realized in a circular photonic crystal slab. Photonics Nanostructures-Fundam. Appl. 2005, 3, 134–138. [Google Scholar] [CrossRef]
  14. Xiao, S.; Qiu, M. Study of transmission properties for waveguide bends by use of a circular photonic crystal. Phys. Lett. A 2005, 340, 474–479. [Google Scholar] [CrossRef][Green Version]
  15. Liu, W.; Sun, X.H.; Fan, Q.B.; Wang, S.; Qi, Y. The investigation of multi-channel splitters and big-bend waveguides based on 2D sunflower-typed photonic crystals. Superlattices Microstruct. 2016, 100, 1291–1295. [Google Scholar] [CrossRef]
  16. Sun, X.-H.; Wu, Y.-L.; Liu, W.; Hao, Y.; Jiang, L.-D. Luneburg lens composed of sunflower-type graded photonic Crystals. Opt. Commun. 2014, 315, 367–373. [Google Scholar] [CrossRef]
Figure 1. (1) Sunflower structure schematic diagram. (2) Analysis model of imaging characteristics of 2D QPC flat lens.
Figure 1. (1) Sunflower structure schematic diagram. (2) Analysis model of imaging characteristics of 2D QPC flat lens.
Crystals 12 01134 g001
Figure 2. Transmission spectra of 9-layer Sunflower flat lens with different refractive indexes.
Figure 2. Transmission spectra of 9-layer Sunflower flat lens with different refractive indexes.
Crystals 12 01134 g002
Figure 3. Intensity distribution of the 9-layer flat lens at refractive index 1.6 and wavelength 1.7 µm.
Figure 3. Intensity distribution of the 9-layer flat lens at refractive index 1.6 and wavelength 1.7 µm.
Crystals 12 01134 g003
Figure 4. Light intensity distribution of 9-layer superlens under different conditions: (a) duty cycle is 0.3, refractive index is 1.8 and wavelength is 1.8; (b) duty cycle is 0.35, refractive index is 2.6 and wavelength is 2.6; (c) duty cycle is 0.4, refractive index is 1.6 and wavelength is 1.8; (d) duty cycle is 0.45, refractive index is 2.6 and wavelength is 2.5.
Figure 4. Light intensity distribution of 9-layer superlens under different conditions: (a) duty cycle is 0.3, refractive index is 1.8 and wavelength is 1.8; (b) duty cycle is 0.35, refractive index is 2.6 and wavelength is 2.6; (c) duty cycle is 0.4, refractive index is 1.6 and wavelength is 1.8; (d) duty cycle is 0.45, refractive index is 2.6 and wavelength is 2.5.
Crystals 12 01134 g004
Table 1. Parameters of effective convergence points corresponding to different layers.
Table 1. Parameters of effective convergence points corresponding to different layers.
LayersThe Refractive Index (n)Wavelength (µm)Ip (arb. Units)
171.61.3632
1721.554
131.61.6524
1321.758
132.41.95
91.61.556
91.61.648
91.61.746
921.752
921.856
921.960
51.60.71
521.664
Table 2. Effective convergence-point parameters corresponding to different duty cycles and refractive index.
Table 2. Effective convergence-point parameters corresponding to different duty cycles and refractive index.
Duty CyclesThe Refractive Index (n)Wavelength (µm)Ip (arb. Units)
0.31.61.556
1.81.864
2.01.960
2.2256
2.62.444
0.351.61.625
1.81.940
2.01.955
2.22.345
2.42.340
2.62.656
0.41.61.872
1.81.955
2.02.225
2.22.3/2.460
2.42.464
2.62.364
0.451.61.956
1.8248
2.02.240
2.22.152
2.42.472
2.62.680
Publisher’s Note: MDPI stays neutral with regard to jurisdictional claims in published maps and institutional affiliations.

Share and Cite

MDPI and ACS Style

Liu, W.; Liu, H.; Chen, L.; Zhang, F. Study on the Performance of Sunflower Quasi-Periodic Photonic Crystal Superlens. Crystals 2022, 12, 1134. https://doi.org/10.3390/cryst12081134

AMA Style

Liu W, Liu H, Chen L, Zhang F. Study on the Performance of Sunflower Quasi-Periodic Photonic Crystal Superlens. Crystals. 2022; 12(8):1134. https://doi.org/10.3390/cryst12081134

Chicago/Turabian Style

Liu, Wei, Hechao Liu, Lixia Chen, and Fan Zhang. 2022. "Study on the Performance of Sunflower Quasi-Periodic Photonic Crystal Superlens" Crystals 12, no. 8: 1134. https://doi.org/10.3390/cryst12081134

APA Style

Liu, W., Liu, H., Chen, L., & Zhang, F. (2022). Study on the Performance of Sunflower Quasi-Periodic Photonic Crystal Superlens. Crystals, 12(8), 1134. https://doi.org/10.3390/cryst12081134

Note that from the first issue of 2016, this journal uses article numbers instead of page numbers. See further details here.

Article Metrics

Back to TopTop