Fluorosubstitution of the Molecular Core in Chiral Esters with Short Terminal Carbon Chains: Influence on Physical Properties
Abstract
:1. Introduction
2. Materials and Methods
3. Results and Discussion
3.1. Liquid Crystalline Phases of 4HH and 4FF
3.1.1. Polymorphism of the Smectic Phases
3.1.2. Structural Properties of the Smectic Phases
3.1.3. Electro-Optic Properties
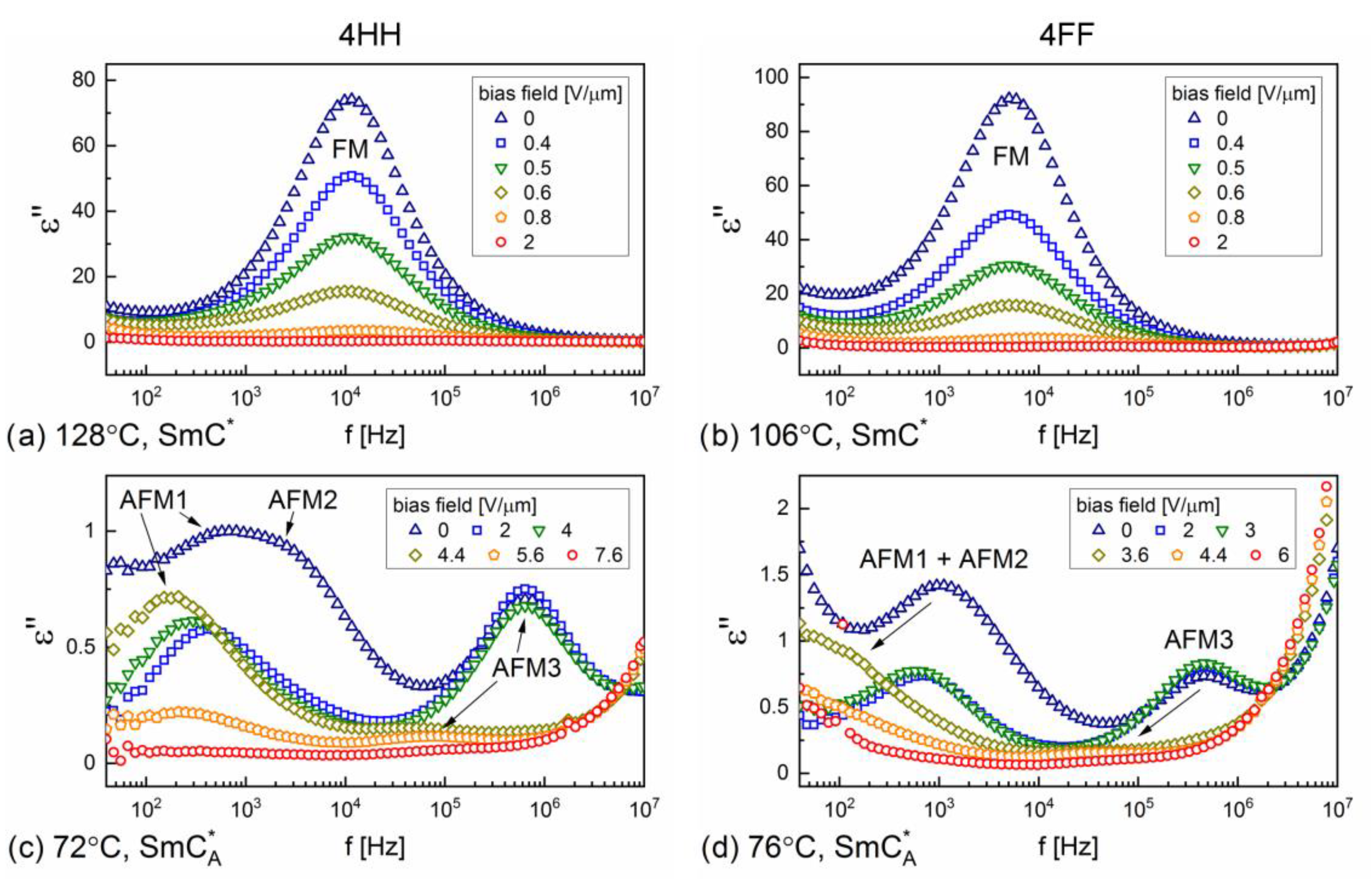
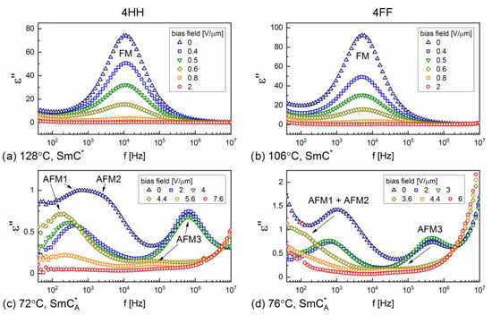
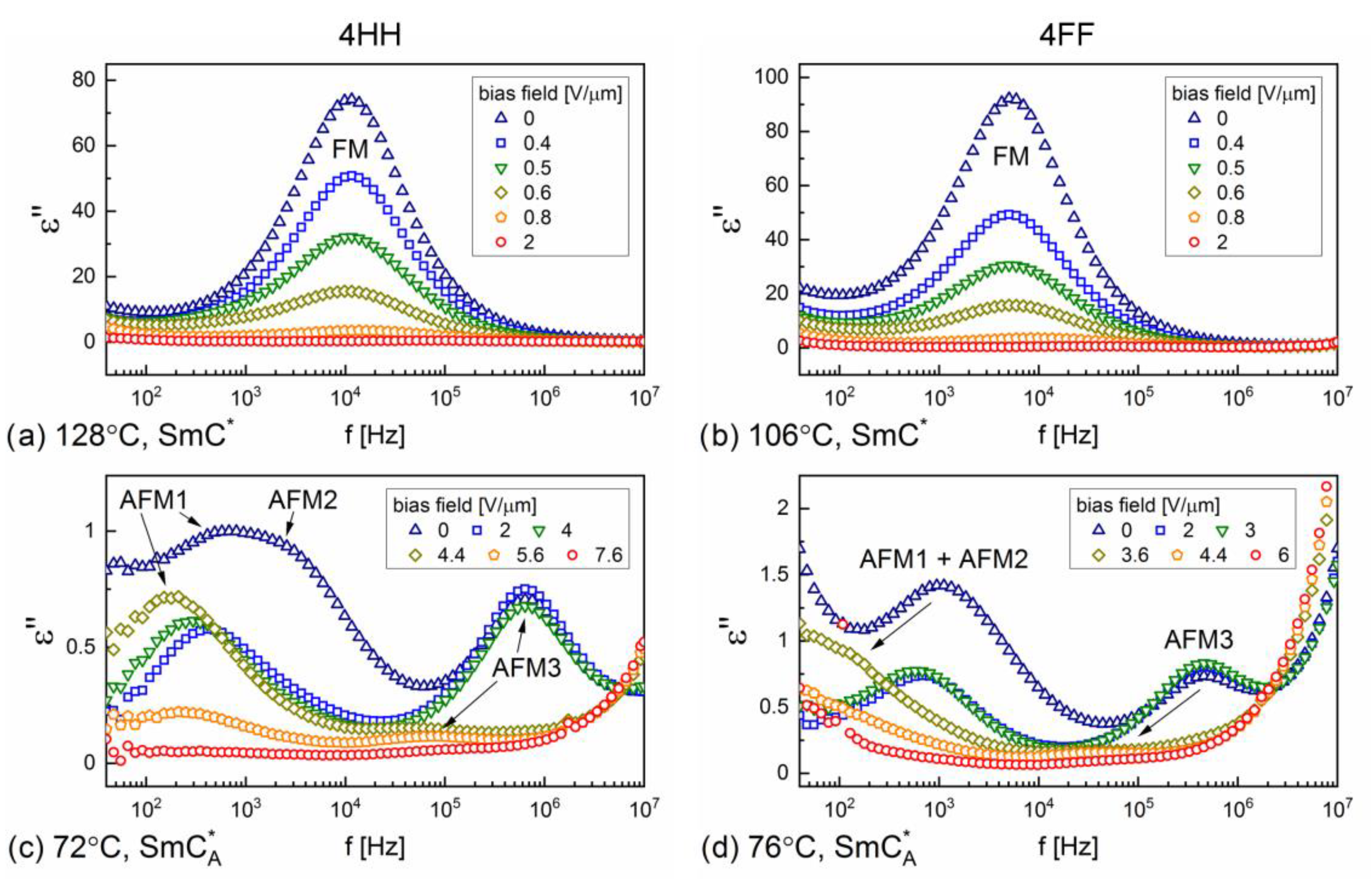
3.1.4. Dielectric Relaxation Processes
3.2. Crystal Phases of 4HH and 4FF
3.2.1. Characterization of the Crystal Phases of 4HH
- Sequence of the Crystal Phases
- b.
- Cold Crystallization of 4HH in 60 °C
- c.
- Crystallization of 4HH in 30 °C
3.2.2. Characterization of the Crystal Phases of 4FF
4. Summary and Conclusions
- The Iso → and → transition temperatures of 4FF are lower than in 4HH. On the contrary, the fluorosubstitution in the molecular core increases the crystallization and melting temperatures. In 4HH, where the crystallization temperature is decreased compared to 4FF, additional, monotropic phase is observed during fast cooling and interpreted as the hexatic or phase.
- The double fluorosubstitution leads to lower tilt angle values (43.5° for 4HH and 41° for 4FF), lower spontaneous polarization and higher energy barrier for rotation around the tilt cone, while it has a negligible influence on the switching time. The Goldstone mode in the phase and the anti-phase PH-phason in the phase is slowed down in 4FF compared to 4HH, while for the in-phase PL-phason in the phase, the comparison is not unambiguous due to overlapping with the hereditary Goldstone mode.
- For 4HH, two monoclinic crystal phases are detected, with transition occurring on heating via cold crystallization in the sequence Cr2 → metastable → Cr1 → . For 4FF, four crystal phases with presumably similar structures are observed: metastable Cr4 and Cr3, detected only for fast cooling and heating of the sample, and stable, orthorhombic Cr2 and Cr1. The transitions between crystal phases of 4FF are also observed only on heating.
Supplementary Materials
Author Contributions
Funding
Institutional Review Board Statement
Informed Consent Statement
Data Availability Statement
Acknowledgments
Conflicts of Interest
References
- Żurowska, M.; Dąbrowski, R.; Dziaduszek, J.; Czupryński, K.; Skrzypek, K.; Filipowicz, M. Synthesis and Mesomorphic Properties of Chiral Esters Comprising Partially Fluorinated Alkoxyalkoxy Terminal Chains and a 1-methylheptyl Chiral Moiety. Mol. Cryst. Liq. Cryst. 2008, 495, 145[497]–157[509]. [Google Scholar] [CrossRef]
- Żurowska, M.; Dąbrowski, R.; Dzieduszek, J.; Czupryński, K.; Skrzypek, K.; Filipowicz, M.; Bennis, N.; Otón, J.M. Synthesis and properties of high tilted antiferroelectric esters with partially fluorinated alkoxyalkoxy terminal chains. Opto-Electron. Rev. 2008, 16, 251–256. [Google Scholar] [CrossRef]
- Żurowska, M.; Dąbrowski, R.; Dziaduszek, K.; Garbat, K.; Filipowicz, M.; Tykarska, M.; Rejmer, W.; Czupryński, K.; Spadło, A.; Bennis, N.; et al. Influence of alkoxy chain length and fluorosubstitution on mesogenic and spectral properties of high tilted antiferroelectric esters. J. Mater. Chem. 2011, 21, 2144–2153. [Google Scholar] [CrossRef]
- Perkowski, P.; Piecek, W.; Raszewski, Z.; Ogrodnik, K.; Rutkowska, J.; Żurowska, M.; Dąbrowski, R.; Kędzierski, J.; Sun, X. New High Frequency Dielectric Mode in Fluorinated Antiferroelecteric Liquid Crystals. Ferroelectrics 2008, 365, 88–94. [Google Scholar] [CrossRef]
- Piecek, W.; Perkowski, P.; Raszewski, Z.; Morawiak, P.; Żurowska, M.; Dąbrowski, R.; Czupryński, K. Long Pitch Orthoconic Antiferroelectric Binary Mixture for Display Applications. Mol. Cryst. Liq. Cryst. 2010, 525, 140–152. [Google Scholar] [CrossRef]
- D’havé, K.; Rudquist, P.; Lagerwall, S.T.; Pauwels, H.; Drzewiński, W.; Dąbrowski, R. Solution of the dark state problem in antiferroelectric liquid crystal displays. Appl. Phys. Lett. 2000, 76, 3528–3530. [Google Scholar] [CrossRef]
- Lagerwall, S.T.; Dahlgren, A.; Jägemalm, P.; Rudquist, P.; D’havé, K.; Pauwels, H.; Dąbrowski, R.; Drzewiński, W. Unique Electro-Optical Properties of Liquid Crystals Designed for Molecular Optics. Adv. Funct. Matter. 2001, 11, 87–94. [Google Scholar] [CrossRef]
- Rudquist, P. Smectic LCD modes. In Handbook of Visual Display Technology; Chen, J., Cranton, W., Fihn, M., Eds.; Springer: Berlin/Heidelberg, Germany, 2012. [Google Scholar] [CrossRef]
- Chandani, A.D.L.; Ouchi, Y.; Takezoe, H.; Fukuda, A.; Terashima, K.; Furukawa, K.; Kishi, A. Novel Phases Exhibiting Tristable Switching. Jpn. J. Appl. Phys. 1989, 28, L1261–L1264. [Google Scholar] [CrossRef]
- Fukuda, A.; Takanishi, Y.; Isozaki, T.; Ishikawa, K.; Takezoe, H. Antiferroelectric chiral smectic liquid crystals. J. Mater. Chem. 1994, 4, 997–1016. [Google Scholar] [CrossRef]
- Sokół, E.; Drzewiński, W.; Dziaduszek, J.; Dąbrowski, R.; Bennis, N.; Otón, J. The Synthesis and Properties of Novel Partially Fluorinated Ethers with High Tilted Anticlinic Phase. Ferroelectrics 2006, 343, 41–48. [Google Scholar] [CrossRef]
- Stipetic, A.I.; Goodby, J.W.; Hird, M.; Roul, Y.M.; Gleeson, H. High tilt antiferroelectric esters bearing a perfluorobutanoyloxy terminal chain: The influence of lateral fluoro substituents on mesomorphic behaviour, tilt angle, and spontaneous polarization. Liq. Cryst. 2006, 33, 819–828. [Google Scholar] [CrossRef]
- Lalik, S.; Deptuch, A.; Fryń, P.; Jaworska-Gołąb, T.; Dardas, D.; Pociecha, D.; Urbańska, M.; Tykarska, M.; Marzec, M. Systematic study of the chiral smectic phases of a fluorinated compound. Liq. Cryst. 2019, 46, 2256–2268. [Google Scholar] [CrossRef]
- Deptuch, A.; Jaworska-Gołąb, T.; Marzec, M.; Pociecha, D.; Fitas, J.; Żurowska, M.; Tykarska, M.; Hooper, J. Mesomorphic phase transitions of 3F7HPhF studied by complementary methods. Phase. Trans. 2018, 91, 186–198. [Google Scholar] [CrossRef]
- Deptuch, A.; Marzec, M.; Jaworska-Gołąb, T.; Dziurka, M.; Hooper, J.; Srebro-Hooper, M.; Fryń, P.; Fitas, J.; Urbańska, M.; Tykarska, M. Influence of carbon chain length on physical properties of 3FmHPhF homologues. Liq. Cryst. 2019, 46, 2201–2212. [Google Scholar] [CrossRef]
- Deptuch, A.; Jasiurkowska-Delaporte, M.; Zając, W.; Juszyńska-Gałązka, E.; Drzewicz, A.; Urbańska, M. Investigation of crystallization kinetics and its relationship with molecular dynamics for chiral fluorinated glassforming smectogen 3F5HPhH6. Phys. Chem. Chem. Phys. 2021, 23, 19795–19810. [Google Scholar] [CrossRef]
- Clark, N.A.; Lagerwall, S.T. Submicrosecond bistable electro-optic switching in liquid crystals. Appl. Phys. Lett. 1980, 36, 899–901. [Google Scholar] [CrossRef]
- Miyasato, K.; Abe, S.; Takezoe, H.; Fukuda, A.; Kuze, E. Direct Method with Triangular Waves for Measuring Spontaneous Polarization in Ferroelectric Liquid Crystals. Jpn. J. Appl. Phys. 1983, 22, L661–L663. [Google Scholar] [CrossRef]
- Raina, K.K.; Ahuja, J.K. Helix Dynamics and Electro-Optic Switching in Ferroelectric Smectic C Liquid Crystals. Mol. Crys. Liq. Crys. 2000, 338, 125–140. [Google Scholar] [CrossRef]
- Khosla, S.; Raina, K.K. Switching responses of ferroelectric liquid crystals. Indian J. Pure Appl. Phys. 2004, 42, 49–55. [Google Scholar]
- Osiecka, N.; Galewski, Z.; Massalska-Arodź, M. TOApy program for the thermooptical analysis of phase transitions. Thermochim. Acta 2017, 655, 106–111. [Google Scholar] [CrossRef]
- Roisnel, T.; Rodriguez-Carvajal, J. WinPLOTR: A Windows Tool for Powder Diffraction Pattern Analysis. Mater. Sci. Forum 2001, 378–381, 118–123. [Google Scholar] [CrossRef] [Green Version]
- Rodríguez-Carvajal, J. Recent advances in magnetic structure determination by neutron powder diffraction. Physica B 1993, 192, 55–69. [Google Scholar] [CrossRef]
- Altomare, A.; Cuocci, C.; Giacovazzo, C.; Moliterni, A.; Rizzi, R.; Corriero, N.; Falcicchio, A. EXPO2013: A kit of tools for phasing crystal structures from powder data. J. Appl. Cryst. 2013, 46, 1231–1235. [Google Scholar] [CrossRef]
- Werner, P.-E.; Erikkson, L.; Westdahl, M. TREOR, a semi-exhaustive trial-and-error powder indexing program for all symmetries. J. Appl. Cryst. 1985, 18, 367–370. [Google Scholar] [CrossRef]
- Deptuch, A.; Jaworska-Gołąb, T.; Marzec, M.; Fitas, J.; Nagao, K.; Chruściel, J.; OssowskaChruściel, M.D. Physical properties of 8OS5 thioester studied by complementary methods. Phase Trans. 2017, 90, 765–772. [Google Scholar] [CrossRef]
- Arii, T.; Kishi, A.; Kobajashi, Y. A new simultaneous apparatus for X-ray diffractometry and differential scanning calorimetry (XRD-DSC). Thermochim. Acta 1999, 325, 151–156. [Google Scholar] [CrossRef]
- Vertogen, G.; de Jeu, W.H. Thermotropic Liquid Crystals: Fundamentals; Springer: Berling/Heidelberg, Germany, 1988. [Google Scholar] [CrossRef]
- Mach, P.; Pindak, R.; Levelut, A.-M.; Barois, P.; Nguyen, H.T.; Huang, C.C.; Furenlid, L. Structural Characterization of Various Chiral Smectic-C Phases by Resonant X-ray Scattering. Phys. Rev. Lett. 1998, 81, 1015–1018. [Google Scholar] [CrossRef]
- Morawiak, P.; Piecek, W.; Żurowska, M.; Perkowski, P.; Raszewski, Z.; Dąbrowski, R.; Czupryński, K.; Sun, X.W. Effect of fluorination of molecular rigid core in liquid crystal biphenyl benzoate based homologous series. Opto-Electron. Rev. 2009, 17, 40–44. [Google Scholar] [CrossRef]
- Morawiak, P.; Żurowska, M.; Piecek, W. A long-pitch orthoconic antiferroelectric mixture modified by isomeric and racemic homostructural dopants. Liq. Cryst. 2018, 45, 1451–1459. [Google Scholar] [CrossRef]
- Lalik, S.; Deptuch, A.; Fryń, P.; Jaworska-Gołąb, T.; Węgłowska, D.; Marzec, M. Physical properties of new binary ferroelectric mixture. J. Mol. Liq. 2019, 274, 540–549. [Google Scholar] [CrossRef]
- Różycka, A.; Deptuch, A.; Jaworska-Gołąb, T.; Węgłowska, D.; Marzec, M. Evidence of monotropic hexatic tilted smectic phase in the phase sequence of ferroelectric liquid crystal. Phase Trans. 2018, 91, 159–169. [Google Scholar] [CrossRef]
- Cole, K.S.; Cole, R.H. Dispersion and Absorption in Dielectrics I. Alternating Current Characteristics. J. Chem. Phys. 1941, 9, 341–351. [Google Scholar] [CrossRef] [Green Version]
- Mishra, A.; Dąbrowski, R.; Dhar, R. Dielectric characteristics of highly ionic antiferroelectric liquid crystalline material. J. Mol. Liq. 2018, 249, 106–109. [Google Scholar] [CrossRef]
- Strivastava, S.L.; Dhar, R. Characteristic time of ionic conductance and electrode polarization capacitance in some organic liquids by low frequency dielectric spectroscopy. Indian J. Pure Appl. Phys. 1991, 29, 745–751. [Google Scholar]
- Haase, W.; Wróbel, S. (Eds.) Relaxation Phenomena: Liquid Crystals, Magnetic Systems, Polymers, High-Tc Superconductors, Metallic Glasses; Springer: Berlin/Heidelberg, Germany, 2003. [Google Scholar] [CrossRef]
- Filipič, C.; Carlsson, T.; Levstik, A.; Žekš, B.; Blinc, R. Dielectric properties near the smectic-C*–smectic-A phase transition of some ferroelectric liquid-crystalline systems with a very large spontaneous polarization. Phys. Rev. A 1988, 38, 5833–5839. [Google Scholar] [CrossRef]
- Buivydas, M.; Gouda, F.; Andersson, G.; Lagerwall, S.T.; Stebler, B.; Bomelburg, J.; Heppke, G.; Gestblom, B. Collective and non-collective excitations in antiferroelectric and ferrielectric liquid crystals studied by dielectric relaxation spectroscopy and electro-optic measurements. Liq. Cryst. 1997, 23, 723–739. [Google Scholar] [CrossRef]
- Panarin, Y.P.; Kalinovskaya, O.; Vij, J.K. The investigation of the relaxation processes in antiferroelectric liquid crystals by broad band dielectric and electro-optic spectroscopy. Liq. Cryst. 1998, 25, 241–252. [Google Scholar] [CrossRef]
- Perkowski, P.; Ogrodnik, K.; Żurowska, M.; Piecek, W.; Dąbrowski, R.; Raszewski, Z.; Jaroszewicz, L. Antiferroelectric and ferroelectric SmC* phases in racemic mixture. Phase Trans. 2013, 86, 138–146. [Google Scholar] [CrossRef]
- Perkowski, P.; Ogrodnik, K.; Piecek, W.; Żurowska, M.; Raszewski, Z.; Dąbrowski, R.; Jaroszewicz, L. Influence of the bias field on dielectric properties of the SmCA* in the vicinity of the SmC*-SmCA* phase transition. Liq. Cryst. 2011, 38, 1159–1167. [Google Scholar] [CrossRef]
- Levstik, A.; Kutnjak, Z.; Filipič, C.; Levstik, I.; Bregar, Z.; Žekš, B.; Carlsson, T. Dielectric method for determining the rotational viscosity in thick samples of ferroelectric chiral smectic-C* liquid crystals. Phys. Rev. A 1990, 42, 2204–2210. [Google Scholar] [CrossRef]
- Katerska, B.; Exner, G.; Perez, E.; Krasteva, M.N. Cooling rate effect on the phase transitions in a polymer liquid crystal: DSC and real-time MAXS and WAXD experiments. Eur. Polym. J. 2010, 46, 1623–1632. [Google Scholar] [CrossRef]
- Avila-Orta, C.A.; Medellín-Rodríguez, F.J.; Wang, Z.-G.; Navarro-Rodríguez, D.; Hsiao, B.S.; Yeh, F. On the nature of multiple melting in poly(ethylene terephthalate) (PET) and its copolymers with cyclohexylene dimethylene terephthalate (PET/CT). Polymer 2003, 44, 1527–1535. [Google Scholar] [CrossRef]
- Medellín-Rodríguez, F.J.; Phillips, P.J.; Lin, J.S.; Avila-Orta, A.C. Triple Melting Behavior of Poly(ethylene terephthalate co-1,4-cyclohexylene dimethylene terephthalate) Random Copolyesters. J. Polym. Sci. B Polym. Phys. 1998, 36, 763–781. [Google Scholar] [CrossRef]
- Medellín-Rodríguez, F.J.; Phillips, P.J.; Lin, J.S.; Campos, R. The Triple Melting Behavior of Poly(ethylene terephthalate): Molecular Weight Effects. J. Polym. Sci. B Polym. Phys. 1997, 35, 1757–1774. [Google Scholar] [CrossRef]
- Bassett, D.C.; Olley, R.H.; Al Raheil, I.A.M. On crystallization phenomena in PEEK. Polymer 1988, 29, 1745–1754. [Google Scholar] [CrossRef]
- Yu, T.; Bu, H.; Hu, J.; Zhang, W.; Gu, Q. The double melting peaks of poly(ethylene terephthalate). Chin. J. Polym. Sci. 1983, 1, 83–91. [Google Scholar]
- Kolek, Ł.; Massalska-Arodź, M.; Adrjanowicz, K.; Rozwadowski, T.; Dychtoń, K.; Drajewicz, M.; Kula, P. Molecular dynamics and cold crystallization process in a liquid-crystalline substance with para-, ferro- and antiferro-electric phases as studied by dielectric spectroscopy and scanning calorimetry. J. Mol. Liq. 2020, 297, 111913. [Google Scholar] [CrossRef]
- Avrami, M. Kinetics of Phase Change. I General Theory. J. Chem. Phys. 1939, 7, 1103–1112. [Google Scholar] [CrossRef]
- Avrami, M. Kinetics of Phase Change. II Transformation-Time Relations for Random Distribution of Nuclei. J. Chem. Phys. 1940, 8, 212–224. [Google Scholar] [CrossRef]
- Avramov, I.; Avramova, K.; Rüssel, C. New method to analyze data on overall crystallization kinetics. J. Cryst. Growth. 2005, 285, 394–399. [Google Scholar] [CrossRef]
- Cheng, K.; Wan, J.; Liang, K. Differential Thermal Analysis on the Crystallization Kinetics of K2O-B2O3-MgO- Al2O3-SiO2-TiO2-F Glass. J. Am. Ceram. Soc. 1999, 82, 1212–1216. [Google Scholar] [CrossRef]
- Deptuch, A.; Drzewicz, A.; Dziurka, M.; Górska, N.; Hooper, J.; Jaworska-Gołąb, T.; Juszyńska-Gałązka, E.; Marzec, M.; Piwowarczyk, M.; Srebro-Hooper, M.; et al. Influence of fluorosubstitution on physical properties of the smectogenic chiral ester. Mater. Res. Bull. 2022, 150, 111756. [Google Scholar] [CrossRef]
- Deptuch, A.; Juszyńska-Gałązka, E.; Drzewicz, A.; Urbańska, M. Comparative study of crystallization of two fluorinated chiral liquid crystalline compounds differing by fluorosubstitution of the molecular core. J. Cryst. Growth. 2022, 593, 126771. [Google Scholar] [CrossRef]













| Transition | ||||
|---|---|---|---|---|
| 4HH | 130.4 | −6.14 | −15.3 | |
| cooling | 104.8 | −0.04 | −0.09 | |
| 28.3 | −1.46 | −4.86 | ||
| → Cr2 | 26.0 | −11.1 | −37.2 | |
| 4HH | 56.3 | 11.7 b | 35.5 | |
| heating | a | 73.4 | 17.1 b | 49.3 |
| 108.3 | 0.05 | 0.12 | ||
| → Iso | 129.6 | 6.33 | 15.7 | |
| 4FF | 115.7 | −5.41 | −13.9 | |
| cooling | 92.8 | −0.04 | −0.10 | |
| → Cr3 | 59.6 | −27.0 | −83.2 | |
| 4FF | Cr3 → Cr2 | 73 | − | − |
| heating | Cr2 → Cr1 | 75 | − | − |
| 82.5 | 25.9 | 72.3 | ||
| 94.8 | 0.04 | 0.10 | ||
| → Iso | 114.6 | 5.61 | 14.4 |
| Phase | T [°C] | [Å] | [Å] | [Å] | [deg] | Z | |
|---|---|---|---|---|---|---|---|
| 4HH cooling | Cr2 | 30 | 31.29(2) | 22.86(2) | 21.63(2) | 98.49(2) | 16 |
| 4HH | Cr1 | 60 | 35.274(8) | 10.767(2) | 20.020(3) | 99.96(2) | 8 |
| heating | 70 | 35.213(9) | 10.807(2) | 20.052(3) | 100.29(2) | ||
| 4FF | Cr2 | 60 | 31.68(2) | 54.62(2) | 10.112(3) | 90 | 20 |
| cooling | 40 | 31.747(5) | 54.54(2) | 10.064(2) | |||
| 20 | 31.737(5) | 54.44(2) | 10.007(2) | ||||
| 0 | 32.016(6) | 54.36(2) | 9.936(2) | ||||
| 4FF | Cr2 | 20 | 31.741(5) | 54.47(2) | 10.012(2) | 90 | 20 |
| heating | 40 | 31.745(5) | 54.54(2) | 10.061(2) | |||
| 60 | 31.69(2) | 54.61(2) | 10.112(3) | ||||
| Cr1 | 80 | 6.820(9) | 54.94(2) | 10.161(3) | 90 | 4 |
Publisher’s Note: MDPI stays neutral with regard to jurisdictional claims in published maps and institutional affiliations. |
© 2022 by the authors. Licensee MDPI, Basel, Switzerland. This article is an open access article distributed under the terms and conditions of the Creative Commons Attribution (CC BY) license (https://creativecommons.org/licenses/by/4.0/).
Share and Cite
Deptuch, A.; Piwowarczyk, M.; Jasiurkowska-Delaporte, M.; Kim, J.; Urbańska, M.; Skolarczyk, M.; Jaworska-Gołąb, T.; Marzec, M. Fluorosubstitution of the Molecular Core in Chiral Esters with Short Terminal Carbon Chains: Influence on Physical Properties. Crystals 2022, 12, 1028. https://doi.org/10.3390/cryst12081028
Deptuch A, Piwowarczyk M, Jasiurkowska-Delaporte M, Kim J, Urbańska M, Skolarczyk M, Jaworska-Gołąb T, Marzec M. Fluorosubstitution of the Molecular Core in Chiral Esters with Short Terminal Carbon Chains: Influence on Physical Properties. Crystals. 2022; 12(8):1028. https://doi.org/10.3390/cryst12081028
Chicago/Turabian StyleDeptuch, Aleksandra, Marcin Piwowarczyk, Małgorzata Jasiurkowska-Delaporte, Jungeun Kim, Magdalena Urbańska, Maciej Skolarczyk, Teresa Jaworska-Gołąb, and Monika Marzec. 2022. "Fluorosubstitution of the Molecular Core in Chiral Esters with Short Terminal Carbon Chains: Influence on Physical Properties" Crystals 12, no. 8: 1028. https://doi.org/10.3390/cryst12081028
APA StyleDeptuch, A., Piwowarczyk, M., Jasiurkowska-Delaporte, M., Kim, J., Urbańska, M., Skolarczyk, M., Jaworska-Gołąb, T., & Marzec, M. (2022). Fluorosubstitution of the Molecular Core in Chiral Esters with Short Terminal Carbon Chains: Influence on Physical Properties. Crystals, 12(8), 1028. https://doi.org/10.3390/cryst12081028

