Growth and Spectroscopy of Yb:YMgB5O10 Crystal
Abstract
:1. Introduction
2. Materials and Methods
3. Results and Discussion
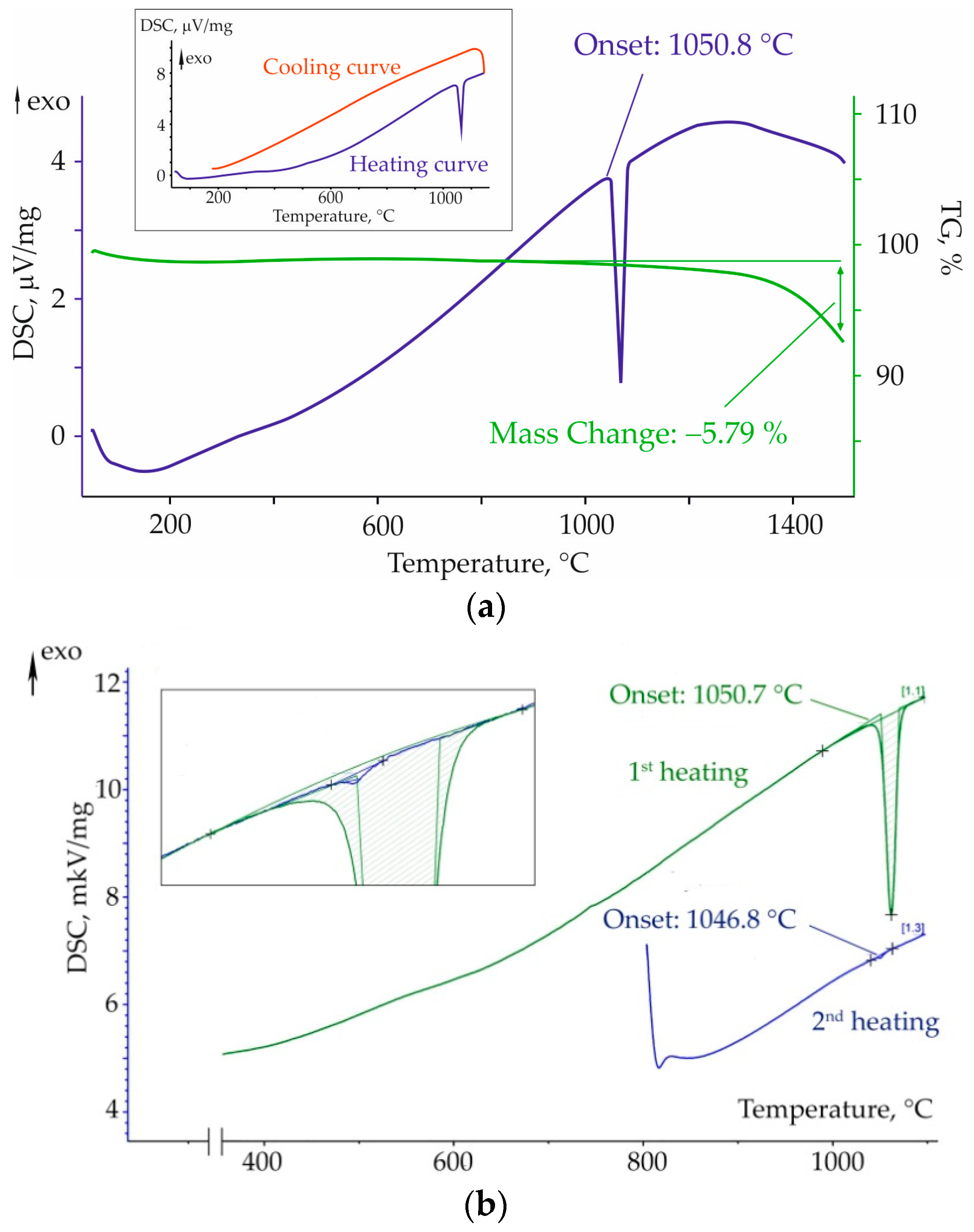
3.1. Synthesis, Structure, and Composition
3.2. Spectroscopy
4. Conclusions
Author Contributions
Funding
Institutional Review Board Statement
Informed Consent Statement
Data Availability Statement
Conflicts of Interest
References
- Krupke, W.F. Ytterbium solid-state lasers-the first decade. IEEE J. Quant. Electron. 2000, 6, 1287–1296. [Google Scholar] [CrossRef]
- Brunner, F.; Spühler, G.J.; Aus der Au, J.; Krainer, L.; Morier-Genoud, F.; Paschotta, R.; Lichtenstein, N.; Weiss, S.; Harder, C.; Lagatsky, A.A.; et al. Diode-pumped femtosecondYb:KGd(WO4)2 laser with 1. 1-W average power. Opt. Lett. 2000, 25, 1119–1121. [Google Scholar] [CrossRef] [PubMed] [Green Version]
- Reinberg, A.R.; Riseberg, L.A.; Brown, R.M.; Wacker, R.W.; Holton, W.C. GaAs: Si LED pumped Yb-doped YAG laser. Appl. Phys. Lett. 1971, 19, 11–16. [Google Scholar] [CrossRef]
- Hönninger, C.; Paschotta, R.; Graf, M.; Morier-Genoud, F.; Zhang, G.; Moser, M.; Biswal, S.; Nees, J.; Braun, A.; Mourou, G.A.; et al. Ultrafast ytterbium-doped bulk lasers and laser amplifiers. Appl. Phys. B 1999, 69, 3–17. [Google Scholar] [CrossRef] [Green Version]
- Haumesser, P.-H.; Gaumé, R.; Viana, B.; Vivien, D. Determination of laser parameters of ytterbium-doped oxide crystalline materials. J. Opt. Soc. Am. B 2002, 19, 2365–2375. [Google Scholar] [CrossRef]
- Patel, F.D.; Honea, E.C.; Speth, J.; Payne, S.A.; Hutcheson, R.; Equall, R. Laser demonstration of Yb3Al5O12 (YbYAG) and materials properties of highly doped Yb: YAG. IEEE J. Quant. Electron. 2001, 37, 135–144. [Google Scholar] [CrossRef]
- Uemura, S.; Torizuka, K. Sub-40-fs pulses from a diode-pumped kerr-lens modelockedYb-doped yttrium aluminum garnet laser. Jpn. J. Appl. Phys. 2011, 50, 10201–10203. [Google Scholar] [CrossRef]
- Brenier, A.; Boulon, G. Overview of the best Yb3+-doped laser crystals. J. Alloys Compd. 2001, 323, 210–213. [Google Scholar] [CrossRef]
- Kuleshov, N.V.; Lagatsky, A.A.; Podlipensky, A.V.; Mikhailov, V.P.; Huber, G. Pulsed laser operation of Yb-doped KY(WO4)2 and KGd(WO4)2. Opt. Lett. 1997, 22, 1317–1319. [Google Scholar] [CrossRef] [Green Version]
- Demidovich, A.A.; Kuzmin, A.N.; Ryabtsev, G.I.; Danailov, M.B.; Strek, W.; Titov, A.N. Influence of Yb concentration on Yb:KYW laser properties. J. Alloys Compd. 2000, 300, 238–241. [Google Scholar] [CrossRef]
- Mateos, X.; Petrov, V.; Aguilo, M.; Sole, R.M.; Gavalda, J.; Massons, J.; Diaz, F.; Griebner, U. Continuous-wave laser oscillation of Yb3+ in monoclinic KLu(WO4)2. IEEE J. Quant. Electron. 2004, 40, 1056–1059. [Google Scholar] [CrossRef]
- Mateos, X.; Solé, R.; Gavaldà, J.; Aguiló, M.; Massons, J.; Díaz, F.; Petrov, V.; Griebner, U. Crystal growth, spectroscopic studies and laser operation of Yb3+-doped potassium lutetium tungstate. Opt. Mater. 2006, 28, 519–523. [Google Scholar] [CrossRef]
- Pujol, M.; Bursukova, M.A.; Güell, F.; Mateos, X.; Solé, R.; Gavaldà, J.; Aguiló, M.; Massons, J.; Díaz, F.; Klopp, P.; et al. Growth, optical characterization, and laser operation of a stoichiometric crystal KYb(WO4)2. Phys. Rev. B 2002, 65, 165121–165132. [Google Scholar] [CrossRef] [Green Version]
- Haumesser, P.-H.; Gaumé, R.; Viana, B.; Antic-Fidancev, E.; Vivien, D. Spectroscopic and crystal-field analysis of new Yb-doped laser materials. J. Phys. Condens. Matter 2001, 13, 5427–5447. [Google Scholar] [CrossRef]
- Kisel, V.E.; Troshin, A.E.; Tolstik, N.A.; Shcherbitsky, V.G.; Kuleshov, N.V.; Matrosov, V.N.; Matrosova, T.A.; Kupchenko, M.I. Spectroscopy and continuouswave diode-pumped laser action of Yb3+:YVO4. Opt. Lett. 2004, 29, 2491–2493. [Google Scholar] [CrossRef]
- Sato, Y.; Saikawa, J.; Taira, T.; Nakamura, O.; Furukawa, Y. Spectroscopic properties of Yb:GdVO4 single crystal: Stark levels, selection rules, and polarized cross sections. In Advanced Solid-State Photonics; Technical Digest Optical Society of America; Optica Publishing Group: Vienna, Austria, 2005; p. MF8. [Google Scholar] [CrossRef]
- Weber, M.J. Optical properties of Yb3+ and Nd3+-Yb3+ energy transfer in YAlO3. Phys. Rev. B 1971, 4, 3153–3159. [Google Scholar] [CrossRef]
- DeLoach, L.D.; Payne, S.A.; Chase, L.L.; Smith, L.K.; Kway, W.L.; Krupke, W.F. Evaluation of absorption and emission properties of Yb3+ doped crystals for laser applications. IEEE J. Quant. Electron. 1993, 29, 1179–1191. [Google Scholar] [CrossRef]
- Zeng, X.; Zhao, G.; Xu, X.; Li, H.; Xu, J.; Zhao, Z.; He, X.; Pang, H.; Jie, M.; Yan, C. Comparison of spectroscopic parameters of 15at% Yb: YAlO3 and 15at% Yb: Y3Al5O12. J. Cryst. Growth 2005, 274, 106–112. [Google Scholar] [CrossRef]
- Zhao, G.; Zeng, X.; Xu, J. Effects of Yb concentration on the fluorescence spectra of Yb-doped YAlO3 single crystals. Spectrochim. Acta Mol. Biomol. Spectrosc. 2006, 65, 184–186. [Google Scholar] [CrossRef]
- Wang, X.; Xu, X.; Zhao, Z.; Jiang, B.; Xu, J.; Zhao, G.; Deng, P.; Bourdet, G.; Chanteloup, J.-C. Comparison of fluorescence spectra of Yb:Y3Al5O12 and Yb:YAlO3 single crystals. Opt. Mater. 2007, 29, 1662–1666. [Google Scholar] [CrossRef]
- Eichhorn, M. Quasi-three-level solid-state lasers in the near and mid infrared based on trivalent rare earth ions. Appl. Phys. B 2008, 93, 269–316. [Google Scholar] [CrossRef]
- Boulon, G.; Guyot, Y.; Canibano, H.; Hraiech, S.; Yoshikawa, A. Characterization and comparison of Yb3+-doped YAlO3perovskite crystals (Yb:YAP) with Yb3+-doped Y3Al5O12 garnet crystals (Yb:YAG) for laser application. J. Opt. Soc. Am. B 2008, 25, 884–896. [Google Scholar] [CrossRef]
- Petit, P.O.; Goldner, P.; Viana, B.; Boudeile, J.; Didierjean, J.; Balembois, F.; Druon, F.; Georges, P. Diode pumping of Yb3+:CaGdAlO4. In Proceedings of the International Conference on Lasers, Applications, and Technologies: Solid State Lasers and Amplifiers III, Strasburg, France, 16 April 2008; Volume 6998, pp. 1–6. [Google Scholar]
- Li, D.; Xu, X.; Cheng, Y.; Cheng, S.; Zhou, D.; Wu, F.; Xia, C.; Xu, J.; Zhang, J. Crystal growth and spectroscopic properties of Yb:CaYAlO4 single crystal. J. Cryst. Growth 2010, 312, 2117–2121. [Google Scholar] [CrossRef]
- Brenier, A. A new evaluation of Yb3+-doped crystals for laser applications. J. Lumin. 2001, 92, 199–204. [Google Scholar] [CrossRef]
- Bayramian, A.J.; Bibeau, C.; Beach, R.J.; Marshall, C.D.; Payne, S.A.; Krupke, W.F. Three-level Q-switched laser operation of ytterbium-doped Sr5(PO4)3F at 985 nm. Opt. Lett. 2000, 25, 622–624. [Google Scholar] [CrossRef] [PubMed]
- Schaffers, K.I.; Tassano, J.B.; Bayramian, A.B.; Morris, R.C. Growth of Yb: S-FAP [Yb3+: Sr5(PO4)3F] crystals for the Mercury laser. J. Cryst. Growth 2003, 253, 297–306. [Google Scholar] [CrossRef]
- Petermann, K.; Huber, G.; Fornasiero, L.; Kuch, S.; Mix, E.; Peters, V.; Basun, S.A. Rareearth-doped sesquioxides. J. Lumin. 2000, 89, 973–975. [Google Scholar] [CrossRef]
- Peters, V. Growth and Spectroscopy of Ytterbium-Doped Sesquioxides. Ph. D. Thesis, University of Hamburg, Hamburg, Germany, 2001. [Google Scholar]
- Brenier, A.; Boulon, G. New criteria to choose the best Yb3+-doped laser crystals. Europhys. Lett. 2001, 55, 647–652. [Google Scholar] [CrossRef]
- Chénais, S.; Druon, F.; Balembois, F.; Georges, P.; Gaumé, R.; Haumesser, P.H.; Viana, B.; Aka, G.P.; Vivien, D. Spectroscopy and efficient laser action from diode pumping of a new broadly tunable crystal: Yb3+:Sr3Y(BO3)3. J. Opt. Soc. Am. B 2002, 19, 1083–1091. [Google Scholar] [CrossRef]
- Földvári, I.; Beregi, E.; Baraldi, A.; Capelletti, R.; Ryba-Romanowski, W.; Dominiak Dzik, G.; Munoz, A.; Sosa, R. Growth and spectroscopic properties of rare-earth doped YAl3(BO3)4 single crystals. J. Lumin. 2003, 102, 395–401. [Google Scholar] [CrossRef]
- Wang, P.; Dawes, J.M.; Dekker, P.; Piper, J.A. Spectral properties and infrared laser performance of diode-pumped Yb:YAl3(BO3)4. Opt. Soc. Am. 1999, 26, 614–617. [Google Scholar]
- Liu, J.; Mateos, X.; Zhang, H.; Li, J.; Wang, J.; Petrov, V. High-power laser performance of Yb:YAl3(BO3)4 crystals cut along the crystallographic axes. IEEE J. Quant. Electron. 2007, 43, 385–390. [Google Scholar] [CrossRef]
- Aron, A.; Aka, G.; Viana, B.; Kahn-Harari, A.; Vivien, D.; Druon, F.; Balembois, F.; Georges, P.; Brun, A.; Lenain, N.; et al. Spectroscopic properties and laser performances of Yb:YCOB and potential of the Yb:LaCOB material. Opt. Mater. 2001, 16, 181–188. [Google Scholar] [CrossRef]
- Wang, P.; Dawes, J.M.; Dekker, P.; Zhang, H.; Meng, X. Spectral characterization and diode-pumped laser performance of Yb:YCOB. Opt. Soc. Am. 1999, 26, 631–634. [Google Scholar] [CrossRef]
- Druon, F.; Chénais, S.; Balembois, F.; Georges, P.; Brun, A.; Courjaud, A.; Hönninger, C.; Salin, F.; Zavelani-Rossi, M.; Augé, F.; et al. High-power diode-pumped Yb:GdCOB laser: From continuous-wave to femtosecond regime. Opt. Mater. 2002, 19, 73–80. [Google Scholar] [CrossRef]
- Kuleshov, N.V.; Lagatsky, A.A.; Shcherbitsky, V.G.; Mikhailov, V.P.; Heumann, E.; Jensen, T.; Diening, A.; Huber, G. CW laser performance of Yb and Er, Yb doped tungstates. J. Appl. Phys. B 1997, 64, 409–413. [Google Scholar] [CrossRef]
- Aggarwal, R.L.; Ripin, D.J.; Ochoa, J.R.; Fan, T.Y. Measurement of thermo-optic properties of Y3Al5O12, Lu3Al5O12, YAIO3, LiYF4, LiLuF4, BaY2F8, KGd(WO4)2, and KY(WO4)2 laser crystalsin the 80–300 K temperature range. J. Appl. Phys. B 2005, 98, 103514. [Google Scholar] [CrossRef]
- Peters, R.; Kränkel, C.; Fredrich-Thornton, S.T.; Beil, K.; Petermann, K.; Huber, G.; Heckl, O.H.; Baer, C.R.E.; Saraceno, C.J.; Südmeyer, T.; et al. Thermal analysis and efficient high power continuous-wave and mode-locked thin disk laser operation of Yb-doped sesquioxides. J. Appl. Phys. B 2011, 102, 509–514. [Google Scholar] [CrossRef]
- Mun, J.H.; Jouini, A.; Yoshikawa, A.; Kim, J.-H.; Fukuda, T.; Lee, J. Thermal and optical properties of Yb-doped Lu2O3 single crystal grown by the micro-pulling-down method. J. Ceram. Process 2013, 14, 636–640. [Google Scholar]
- Mougel, F.; Kahn-Harari, A.; Aka, G.; Pelenc, D. Structural and thermal stability of Czochralski grown GdCOBoxoborate single crystals. J. Mater. Chem. 1998, 8, 1619–1623. [Google Scholar] [CrossRef]
- Blows, J.L.; Dekker, P.; Wang, P.; Dawes, J.M.; Omatsu, T. Thermal lensing measurements and thermal conductivity of Yb:YAB. Appl. Phys. B 2003, 76, 289–292. [Google Scholar] [CrossRef]
- Wang, P.; Dawes, J.M.; Dekker, P.; Knowles, D.S.; Piper, A.J.; Lu, B. Growth and evaluation of ytterbium-doped yttrium aluminum borate as a potential self-doubling laser crystal. J. Opt. Soc. Am. B 1999, 16, 63–69. [Google Scholar] [CrossRef]
- Liao, J.; Lin, Y.; Chen, Y.; Luo, Z.; Huang, Y. Flux growth and spectral properties of Yb:YAB single crystal with high Yb3+ concentration. J. Cryst. Growth 2004, 267, 134–139. [Google Scholar] [CrossRef]
- Wang, P.; Dawes, J.M.; Dekker, P.; Piper, J.A. Highly efficient diode-pumped ytterbium-doped yttrium aluminum borate laser. Opt. Commun. 2000, 174, 467–470. [Google Scholar] [CrossRef]
- Rudenkov, A.S.; Kisel, V.E.; Gorbachenya, K.N.; Yasukevich, A.S.; Maltsev, V.V.; Leonyuk, N.I.; Rubtsova, N.N.; Semyagin, B.R.; Kovalyov, A.A.; Preobrazhenskii, V.V.; et al. Growth, spectroscopy and high power laser operation of Yb:YAl3(BO3)4 crystal: Continuous-wave, mode-locking and chirped pulse regenerative amplification. Opt. Mater. 2019, 89, 261–267. [Google Scholar] [CrossRef]
- Huang, Y.S.; Zhou, W.W.; Sun, S.J.; Yuan, F.F.; Zhang, L.Z.; Zhao, W.; Wang, G.F.; Lin, Z.B. Growth, structure, spectral and laser properties of Yb3+:LaMgB5O10—A new laser material. CrystEngComm 2015, 17, 7392. [Google Scholar] [CrossRef]
- Huang, Y.S.; Chen, H.B.; Sun, S.J.; Yuan, F.F.; Zhang, L.Z.; Lin, Z.B.; Zhang, G.; Wang, G.F. Growth, thermal, spectral and laser properties of Nd3+:LaMgB5O10 crystal—A new promising laser material. J. Alloys Compd. 2015, 646, 1083–1088. [Google Scholar] [CrossRef]
- Mitina, D.D.; Maltsev, V.V.; Leonyuk, N.I.; Gorbachenya, K.N.; Deineka, R.V.; Kisel, V.E.; Yasukevich, A.S.; Kuleshov, N.V. Growth and characterization of RMgB5O10 (R=Y, La, Gd) crystals. Inorg. Mater. 2020, 56, 211–222. [Google Scholar] [CrossRef]
- Sun, S.; Li, B.; Lou, F.; Shi, X.; Chen, W.; Yuan, F.; Zhang, L.; Lin, Z.; Zhong, D.; Huang, Y.; et al. Optimization of fluxes for Yb3+:YMgB5O10 crystal growth and intense multi-wavelength emission characteristics in spectral and laser performances. J. Mater. Chem. 2021, 9, 14766. [Google Scholar] [CrossRef]
- Maltsev, V.V.; Mitina, D.D.; Belokoneva, E.L.; Volkova, E.A.; Koporulina, E.V.; Jiliaeva, A.I. Synthesis and flux growth of rare-earth magnesium pentaborate crystals RMgB5O10 (R=Y, Gd, La, Tm and Yb). J. Cryst. Growth 2022, 587, 126628. [Google Scholar] [CrossRef]
- Inorganic Crystal Structure Data Base—ICSD; Fachinformationzentrum (FIZ) Karlsruhe: Karlsruhe, Germany, 2021; Available online: https://www.crystallography.net/cod/ (accessed on 5 May 2022).
- Boultif, A.; Louër, D. Powder pattern indexing with the dichotomy method. J. Appl. Crystallogr. 2004, 37, 724–731. [Google Scholar] [CrossRef]
- Zhang, J.; Tao, X.; Cai, G.; Jin, Z. Phase relation, structure, and properties of borate MgYB5O10 in MgO–Y2O3–B2O3 system. Powder Diffr. 2017, 32, 97–106. [Google Scholar] [CrossRef]
- Rousseau, D.L.; Bauman, R.P.; Porto, S.P.S. Normal mode determination in crystals. J. Raman Spectrosc. 1981, 10, 253–290. [Google Scholar] [CrossRef]
- Sumida, D.S.; Fan, T.Y. Effect of radiation trapping on fluorescence lifetime and emission cross section measurements in solid-state laser media. Opt. Lett. 1994, 19, 1343–1345. [Google Scholar] [CrossRef] [PubMed]
- Kühn, H.; Fredrich-Thornton, S.T.; Kränkel, C.; Peters, R.; Petermann, K. Model for the calculation of radiation trapping and description of the pinhole method. Opt. Lett. 2007, 32, 1908–1910. [Google Scholar] [CrossRef]









Publisher’s Note: MDPI stays neutral with regard to jurisdictional claims in published maps and institutional affiliations. |
© 2022 by the authors. Licensee MDPI, Basel, Switzerland. This article is an open access article distributed under the terms and conditions of the Creative Commons Attribution (CC BY) license (https://creativecommons.org/licenses/by/4.0/).
Share and Cite
Gorbachenya, K.N.; Yasukevich, A.S.; Lazarchuk, A.I.; Kisel, V.E.; Kuleshov, N.V.; Volkova, E.A.; Maltsev, V.V.; Koporulina, E.V.; Yapaskurt, V.O.; Kuzmin, N.N.; et al. Growth and Spectroscopy of Yb:YMgB5O10 Crystal. Crystals 2022, 12, 986. https://doi.org/10.3390/cryst12070986
Gorbachenya KN, Yasukevich AS, Lazarchuk AI, Kisel VE, Kuleshov NV, Volkova EA, Maltsev VV, Koporulina EV, Yapaskurt VO, Kuzmin NN, et al. Growth and Spectroscopy of Yb:YMgB5O10 Crystal. Crystals. 2022; 12(7):986. https://doi.org/10.3390/cryst12070986
Chicago/Turabian StyleGorbachenya, Konstantin N., Anatol S. Yasukevich, Andrey I. Lazarchuk, Victor E. Kisel, Nikolay V. Kuleshov, Elena A. Volkova, Victor V. Maltsev, Elizaveta V. Koporulina, Vasiliy O. Yapaskurt, Nikolai N. Kuzmin, and et al. 2022. "Growth and Spectroscopy of Yb:YMgB5O10 Crystal" Crystals 12, no. 7: 986. https://doi.org/10.3390/cryst12070986
APA StyleGorbachenya, K. N., Yasukevich, A. S., Lazarchuk, A. I., Kisel, V. E., Kuleshov, N. V., Volkova, E. A., Maltsev, V. V., Koporulina, E. V., Yapaskurt, V. O., Kuzmin, N. N., Ksenofontov, D. A., Mitina, D. D., & Jiliaeva, A. I. (2022). Growth and Spectroscopy of Yb:YMgB5O10 Crystal. Crystals, 12(7), 986. https://doi.org/10.3390/cryst12070986

