Computational Studies of the Excitonic and Optical Properties of Armchair SWCNT and SWBNNT for Optoelectronics Applications
Abstract
1. Introduction
2. Methodology
3. Results and Discussion
3.1. Band Gap
3.2. Dielectric Constant
3.3. Electronic Charge Distributions
3.4. Reflection
3.5. Absorption
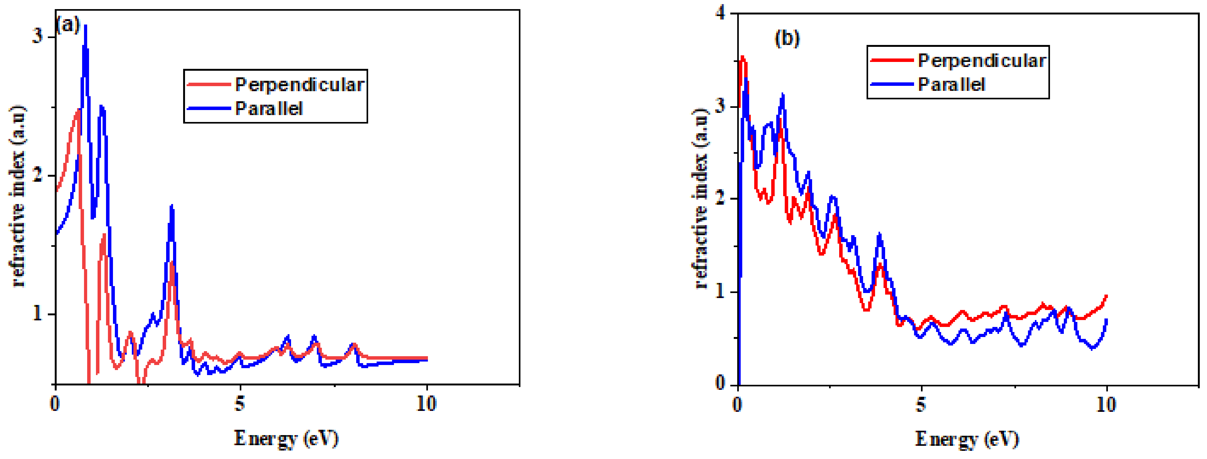
3.6. Refraction
4. Conclusions
Author Contributions
Funding
Institutional Review Board Statement
Informed Consent Statement
Data Availability Statement
Acknowledgments
Conflicts of Interest
References
- Saifuddin, N.; Raziah, A.Z.; Junizah, A.R. Carbon Nanotubes: A Review on Structure and Their Interaction with Proteins. J. Chem. 2012, 2013, 1–18. [Google Scholar] [CrossRef]
- Itas, Y.S.; Ndikilar, C.E.; Zangina, T. Carbon Nanotubes: A Review of Synthesis and Characterization Methods/Techniques. Int. J. Sci. Technoledge 2020, 8. [Google Scholar] [CrossRef]
- Eatemadi, A.; Daraee, H.; Karimkhanloo, H.; Kouhi, M.; Zarghami, N.; Akbarzadeh, A.; Abasi, M.; Hanifehpour, Y.; Joo, S.W. Carbon nanotubes: Properties, synthesis, purification, and medical applications. Nanoscale Res. Lett. 2014, 9, 393. [Google Scholar] [CrossRef] [PubMed]
- Pandey, P.; Dahiya, M. Carbon nanotubes: Types, methods of preparation and applications. Int. J. Pharm. Sci. Res. 2016, 1, 15–21. [Google Scholar]
- Dresselhaus, M.S.; Dresselhaus, G.; Charlier, J.-C.; Hernandez, E.R. Electronic, thermal and mechanical properties of carbon nanotubes. Philos. Trans. R. Soc. London. Ser. A Math. Phys. Eng. Sci. 2004, 362, 2065–2098. [Google Scholar] [CrossRef]
- Abdalla, S.; AlMarzouki, F.; Al-Ghamdi, A.A.; Abdel-Daiem, A. Different Technical Applications of Carbon Nanotubes. Nanoscale Res. Lett. 2015, 10, 1–10. [Google Scholar] [CrossRef]
- Celik-Aktas, A.; Zuo, J.M.; Stubbins, J.F.; Tang, C.; Bando, Y. Structure and chirality distribution of multiwalled boron nitride nanotubes. Appl. Phys. Lett. 2005, 86, 133110. [Google Scholar] [CrossRef]
- Dolati, S.; Fereidoon, A.; Kashyzadeh, K.R. A Comparison Study between Boron nitride nanotubes and Carbon nanotubes. Int. J. Emerg. Technol. Adv. Eng. 2012, 2, 1–11. [Google Scholar]
- Saikia, N.; Pati, S.K.; Deka, R.C. First principles calculation on the structure and electronic properties of BNNTs functionalized with isoniazid drug molecule. Appl. Nanosci. 2012, 2, 389–400. [Google Scholar] [CrossRef]
- Zhang, D.; Zhang, S.; Yapici, N.; Oakley, R.; Sharma, S.; Parashar, V.; Yap, Y.K. Emerging Applications of Boron Nitride Nanotubes in Energy Harvesting, Electronics, and Biomedicine. ACS Omega 2021, 6, 20722–20728. [Google Scholar] [CrossRef]
- Itas, Y.S.; Ndikilar, C.E.; Zangina, T.; Hafeez, H.Y.; Safana, A.A.; Khandaker, M.U.; Ahmad, P.; Abdullahi, I.; Olawumi, B.K.; Babaji, M.A.; et al. Synthesis of Thermally Stable h-BN-CNT Hetero-Structures via Microwave Heating of Ethylene under Nickel, Iron, and Silver Catalysts. Crystals 2021, 11, 1097. [Google Scholar] [CrossRef]
- Itas, Y.S.; Suleiman, A.B.; Ndikilar, C.E.; Lawal, A.; Razali, R.; Khandaker, M.U.; Ahmad, P.; Tamam, N.; Sulieman, A. The Exchange-Correlation Effects on the Electronic Bands of Hybrid Armchair Single-Walled Carbon Boron Nitride Nanostructure. Crystals 2022, 12, 394. [Google Scholar] [CrossRef]
- Saito, R.; Dresselhaus, M.S. Optical Properties of Carbon Nanotubes. In Carbon Nanotubes and Graphene; Elsevier: Amsterdam, The Netherlands, 2014; Volume 2014, pp. 77–98. ISBN 9780080982328. [Google Scholar] [CrossRef]
- Pacheco, M.; Barticevic, Z.; Latge, A.; Rocha, C.G. Optical properties of carbon nanotubes under external electric fields. Braz. J. Phys. 2006, 36, 440–442. [Google Scholar] [CrossRef][Green Version]
- Blancon, J.-C. Optical absorption and electronic properties of individual carbon nanotubes. Ph.D. Thesis, Université Claude Bernard—Lyon I, Villeurbanne, France, 2013. [Google Scholar]
- Chen, R.B.; Shyu, F.L.; Chang, C.P.; Lin, M.F. Optical Properties of Boron Nitride Nanotubes. J. Phys. Soc. Jpn. 2002, 17, 2286–2289. [Google Scholar] [CrossRef]
- Wirtz, L.; Rubio, A. Optical and Vibrational Properties of Boron Nitride Nanotubes. Irorun 2009, 13, 105–148. [Google Scholar] [CrossRef]
- Li, F.; Lu, J.; Tan, G.; Ma, M.; Wang, X.; Zhu, H. Boron nitride nanotubes composed of four- and eight-membered rings. Phys. Lett. A 2019, 383, 76–82. [Google Scholar] [CrossRef]
- Kweitsu, E.O.; Armoo, S.K.; Kan-Dapaah, K.; Abavare, E.K.K.; Dodoo-Arhin, D.; Yaya, A. Comparative Study of Phosgene Gas Sensing Using Carbon and Boron Nitride Nanomaterials—A DFT Approach. Molecules 2020, 26, 120. [Google Scholar] [CrossRef]
- Tang, Y.; Lu, J.; Liu, D.; Yan, X.; Yao, C.; Zhu, H. Structural Derivative and Electronic Property of Armchair Carbon Nanotubes from Carbon Clusters. J. Nanomater. 2017, 2017, 1–11. [Google Scholar] [CrossRef]
- Piazza, V.; Gemmi, M. Optical properties of boron nitride nanotubes: Potential exploitation in nanomedicine; William Andrew Publishing: Norwich, NY, USA, 2016; pp. 139–147. [Google Scholar] [CrossRef]
- Xu, Z.; Zhang, W.; Zhu, Z.; Ren, C.; Li, Y.; Huai, P. Effects of tube diameter and chirality on the stability of single-walled carbon nanotubes under ion irradiation. J. Appl. Phys. 2009, 106, 43501. [Google Scholar] [CrossRef]
- Jafarzadeh, N.; Nadafan, M.; Malekfar, R.; Shakeri-Zadeh, A.; Meidanchi, A.; Eynali, S. Structural, optical and dielectric studies of Ag nanoparticles decorated by herceptin. Phys. E Low-dimensional Syst. Nanostructures 2019, 114, 113562. [Google Scholar] [CrossRef]
- Nicolás, G.; Dorantes-Dávila, J.; Pastor, G. Calculation of orbital polarization effects in small Co clusters. Comput. Mater. Sci. 2005, 35, 292–296. [Google Scholar] [CrossRef]
- Guo, X.; Yu, D.; Wu, J.; Min, C.; Guo, R. Effects of nanotube modification on the dielectric behaviors and mechanical properties of multiwall carbon nanotubes/epoxy composites. Polym. Eng. Sci. 2012, 53, 370–377. [Google Scholar] [CrossRef]
- Slepchenkov, M.M.; Shmygin, D.S.; Zhang, G.; Glukhova, O.E. Controlling anisotropic electrical conductivity in porous graphene-nanotube thin films. Carbon 2020, 165, 139–149. [Google Scholar] [CrossRef]
- Beni, Y.T.; Mehralian, F.; Zeverdejani, M.K. Free vibration of anisotropic single-walled carbon nanotube based on couple stress theory for different chirality. J. Low Freq. Noise Vib. Act. Control 2017, 36, 277–293. [Google Scholar] [CrossRef]
- Wang, H.; Tam, F.; Grady, N.K.; Halas, N.J. Cu Nanoshells: Effects of Interband Transitions on the Nanoparticle Plasmon Resonance. J. Phys. Chem. B 2005, 109, 18218–18222. [Google Scholar] [CrossRef]
- Zhan, Y.; Lago, E.; Santillo, C.; Castillo, A.E.E.D.R.; Hao, S.; Buonocore, G.G.; Chen, Z.; Xia, H.; Lavorgna, M.; Bonaccorso, F. An anisotropic layer-by-layer carbon nanotube/boron nitride/rubber composite and its application in electromagnetic shielding. Nanoscale 2020, 12, 7782–7791. [Google Scholar] [CrossRef]
- Chen, H.; Chen, Y.; Liu, Y.; Xu, C.-N.; Williams, J.S. Optical properties of BN nanotubes. In Proceedings of the 2006 International Conference on Nanoscience and Nanotechnology, Brisbane, Australia, 3–7 July 2006. [Google Scholar] [CrossRef]
- Gharbavi, K.; Badehian, H. Optical properties of armchair (7, 7) single walled carbon nanotubes. AIP Adv. 2015, 5, 77155. [Google Scholar] [CrossRef]
- Toudert, J.; Serna, R. Interband transitions in semi-metals, semiconductors, and topological insulators: A new driving force for plasmonics and nanophotonics [Invited]. Opt. Mater. Express 2017, 7, 2299–2325. [Google Scholar] [CrossRef]
- Radzwan, A.; Lawal, A.; Shaari, A.; Chiromawa, I.M.; Ahams, S.T.; Ahmed, R. First-principles calculations of structural, electronic, and optical properties for Ni-doped Sb2S3. Comput. Condens. Matter 2020, 24, e00477. [Google Scholar] [CrossRef]
- Bolotin, D.S.; Novikov, A.S.; Kolesnikov, I.E.; Suslonov, V.V.; Novozhilov, Y.; Ronzhina, O.; Dorogov, M.; Krasavin, M.; Kukushkin, V.Y. Phosphorescent Platinum(II) Complexes Featuring Chelated Acetoxime Pyrazoles: Synthetic, Structural, and Photophysical Study. ChemistrySelect 2016, 1, 456–461. [Google Scholar] [CrossRef]
- Tan, Y.C. Chemical Sensing Applications of Carbon Nanotube-Deposited Optical Fibre Sensors. Chemosensors 2018, 6, 55. [Google Scholar] [CrossRef]
- Fahad, J.; Bhardwaj, A.K. Preparing Carbon Nanotubes (Cnts) for Optical System Applications. Int. J. Nanotechnol. Appl. 2013, 2, 21–38. [Google Scholar]
- Jiang, L.; Liu, P.; Liu, C.; Fan, S. Enhanced light transmission of carbon nanotube film by ultrathin oxide coatings. AIP Adv. 2020, 10, 75304. [Google Scholar] [CrossRef]









| S/No. | Research/Experiment | Results Obtained | Ref. |
|---|---|---|---|
| 1 | Optical properties of carbon nanotubes | The studies of the excitonic properties were implemented in the parallel direction to the nanotube axis. The result predicted that dark excitons affect the potential of carbon nanotubes for applications as radiation shields. | [13] |
| 2 | Optical properties of CNT single-band tight-binding approximation | The studies were applied in the parallel direction to the tube axis, and results revealed optical transitions between Van Hove singularities. The authors recommend further investigations in the perpendicular direction to the tube axis. | [14] |
| 3 | Theoretical studies on optical properties of individual carbon nanotubes | It reported that experimental and simulation studies shall be carried out on the ultra-small carbon nanotubes in all directions to confirm theoretical predictions. | [15] |
| 4 | Theoretical investigation of the optical properties of boron nitride nanotubes | The optical properties are affected by the polarization directions (parallel) as well as the radius of the nanotube. | [16] |
| 5 | Theoretical studies on vibrational and optical properties of BNNTs | Studied Raman spectroscopy and EELS of BNNTs in the parallel direction to the tube axis. It recommends that more studies need to be carried out in the perpendicular directions to bring BNNTs into the optoelectronics world. | [17] |
| 6 | Quantum simulation using quantum ESPRESSO and YAMBO codes | Studied the excitonic properties and effects of diameter on the polarization of SWCNTs and SWBNNTs in both the parallel and perpendicular directions. | This work |
Publisher’s Note: MDPI stays neutral with regard to jurisdictional claims in published maps and institutional affiliations. |
© 2022 by the authors. Licensee MDPI, Basel, Switzerland. This article is an open access article distributed under the terms and conditions of the Creative Commons Attribution (CC BY) license (https://creativecommons.org/licenses/by/4.0/).
Share and Cite
Itas, Y.S.; Suleiman, A.B.; Ndikilar, C.E.; Lawal, A.; Razali, R.; Idowu, I.I.; Khandaker, M.U.; Ahmad, P.; Tamam, N.; Sulieman, A.; et al. Computational Studies of the Excitonic and Optical Properties of Armchair SWCNT and SWBNNT for Optoelectronics Applications. Crystals 2022, 12, 870. https://doi.org/10.3390/cryst12060870
Itas YS, Suleiman AB, Ndikilar CE, Lawal A, Razali R, Idowu II, Khandaker MU, Ahmad P, Tamam N, Sulieman A, et al. Computational Studies of the Excitonic and Optical Properties of Armchair SWCNT and SWBNNT for Optoelectronics Applications. Crystals. 2022; 12(6):870. https://doi.org/10.3390/cryst12060870
Chicago/Turabian StyleItas, Yahaya Saadu, Abdussalam Balarabe Suleiman, Chifu E. Ndikilar, Abdullahi Lawal, Razif Razali, Ismail Ibrahim Idowu, Mayeen Uddin Khandaker, Pervaiz Ahmad, Nissren Tamam, Abdelmoneim Sulieman, and et al. 2022. "Computational Studies of the Excitonic and Optical Properties of Armchair SWCNT and SWBNNT for Optoelectronics Applications" Crystals 12, no. 6: 870. https://doi.org/10.3390/cryst12060870
APA StyleItas, Y. S., Suleiman, A. B., Ndikilar, C. E., Lawal, A., Razali, R., Idowu, I. I., Khandaker, M. U., Ahmad, P., Tamam, N., Sulieman, A., & Faruque, M. R. I. (2022). Computational Studies of the Excitonic and Optical Properties of Armchair SWCNT and SWBNNT for Optoelectronics Applications. Crystals, 12(6), 870. https://doi.org/10.3390/cryst12060870

