Stoichiometric Growth of Monolayer FeSe Superconducting Films Using a Selenium Cracking Source
Abstract
:1. Introduction
2. Materials and Methods
3. Results
3.1. Source Flux Calibration
3.2. Impact of Cracked Se Flux on the Growth
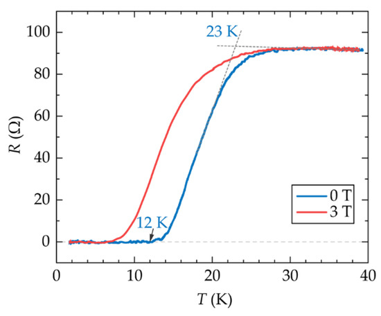
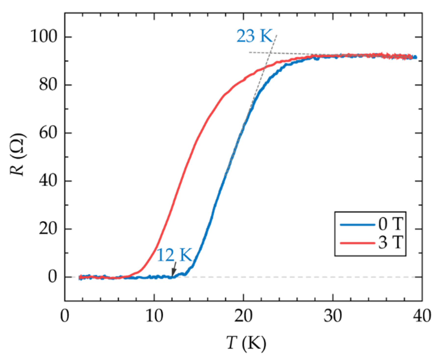
3.3. Transport Measurements
4. Discussion
Author Contributions
Funding
Institutional Review Board Statement
Informed Consent Statement
Data Availability Statement
Conflicts of Interest
References
- Wang, Q.-Y.; Li, Z.; Zhang, W.-H.; Zhang, Z.-C.; Zhang, J.-S.; Li, W.; Ding, H.; Ou, Y.-B.; Deng, P.; Chang, K.; et al. Interface-induced high-temperature superconductivity in single unit-cell FeSe films on SrTiO3. Chin. Phys. Lett. 2012, 29, 037402. [Google Scholar] [CrossRef] [Green Version]
- Faeth, B.D.; Yang, S.L.; Kawasaki, J.K.; Nelson, J.N.; Mishra, P.; Parzyck, C.T.; Li, C.; Schlom, D.G.; Shen, K.M. Incoherent Cooper pairing and pseudogap behavior in single-layer FeSe/SrTiO3. Phys. Rev. X 2021, 11, 021054. [Google Scholar] [CrossRef]
- Xu, Y.; Rong, H.; Wang, Q.; Wu, D.; Hu, Y.; Cai, Y.; Gao, Q.; Yan, H.; Li, C.; Yin, C.; et al. Spectroscopic evidence of superconductivity pairing at 83 K in single-layer FeSe/SrTiO3 films. Nat. Commun. 2021, 12, 2840. [Google Scholar] [CrossRef] [PubMed]
- Liu, D.; Zhang, W.; Mou, D.; He, J.; Ou, Y.B.; Wang, Q.Y.; Li, Z.; Wang, L.; Zhao, L.; He, S.; et al. Electronic origin of high-temperature superconductivity in single-layer FeSe superconductor. Nat. Commun. 2012, 3, 931. [Google Scholar] [CrossRef] [PubMed] [Green Version]
- Liu, X.; Liu, D.; Zhang, W.; He, J.; Zhao, L.; He, S.; Mou, D.; Li, F.; Tang, C.; Li, Z.; et al. Dichotomy of the electronic structure and superconductivity between single-layer and double-layer FeSe/SrTiO3 films. Nat. Commun. 2014, 5, 5047. [Google Scholar] [CrossRef] [Green Version]
- Pelliciari, J.; Karakuzu, S.; Song, Q.; Arpaia, R.; Nag, A.; Rossi, M.; Li, J.; Yu, T.; Chen, X.; Peng, R.; et al. Evolution of spin excitations from bulk to monolayer FeSe. Nat. Commun. 2021, 12, 3122. [Google Scholar] [CrossRef]
- Ge, Z.; Yan, C.; Zhang, H.; Agterberg, D.; Weinert, M.; Li, L. Evidence for d-wave superconductivity in single layer FeSe/SrTiO3 Probed by quasiparticle scattering off step edges. Nano Lett. 2019, 19, 2497–2502. [Google Scholar] [CrossRef] [PubMed] [Green Version]
- Liu, C.; Wang, J. Heterostructural one-unit-cell FeSe/SrTiO3: From high-temperature superconductivity to topological states. 2D Mater. 2020, 7, 022006. [Google Scholar] [CrossRef] [Green Version]
- Zhang, H.; Zhang, D.; Lu, X.; Liu, C.; Zhou, G.; Ma, X.; Wang, L.; Jiang, P.; Xue, Q.K.; Bao, X. Origin of charge transfer and enhanced electron-phonon coupling in single unit-cell FeSe films on SrTiO3. Nat. Commun. 2017, 8, 214. [Google Scholar] [CrossRef] [PubMed] [Green Version]
- Liu, C.; Day, R.P.; Li, F.; Roemer, R.L.; Zhdanovich, S.; Gorovikov, S.; Pedersen, T.M.; Jiang, J.; Lee, S.; Schneider, M.; et al. High-order replica bands in monolayer FeSe/SrTiO3 revealed by polarization-dependent photoemission spectroscopy. Nat. Commun. 2021, 12, 4573. [Google Scholar] [CrossRef] [PubMed]
- Lee, J.J.; Schmitt, F.T.; Moore, R.G.; Johnston, S.; Cui, Y.T.; Li, W.; Yi, M.; Liu, Z.K.; Hashimoto, M.; Zhang, Y.; et al. Interfacial mode coupling as the origin of the enhancement of Tc in FeSe films on SrTiO3. Nature 2014, 515, 245–248. [Google Scholar] [CrossRef] [PubMed]
- Feng, Z.; Yuan, J.; He, G.; Hu, W.; Lin, Z.; Li, D.; Jiang, X.; Huang, Y.; Ni, S.; Li, J.; et al. Tunable critical temperature for superconductivity in FeSe thin films by pulsed laser deposition. Sci. Rep. 2018, 8, 4039. [Google Scholar] [CrossRef] [PubMed]
- Obata, Y.; Karateev, I.A.; Pavlov, I.; Vasiliev, A.L.; Haindl, S. Challenges for pulsed laser deposition of FeSe thin films. Micromachines 2021, 12, 1224. [Google Scholar] [CrossRef] [PubMed]
- Li, Z.; Peng, J.P.; Zhang, H.M.; Zhang, W.H.; Ding, H.; Deng, P.; Chang, K.; Song, C.L.; Ji, S.H.; Wang, L.; et al. Molecular beam epitaxy growth and post-growth annealing of FeSe films on SrTiO3: A scanning tunneling microscopy study. J. Phys. Condens. Matter 2014, 26, 265002. [Google Scholar] [CrossRef]
- Liu, D.S.H.; Hilse, M.; Engel-Herbert, R. Sticking coefficients of selenium and tellurium. J. Vac. Sci. Technol. A 2021, 39, 023413. [Google Scholar] [CrossRef]
- Tan, S.; Zhang, Y.; Xia, M.; Ye, Z.; Chen, F.; Xie, X.; Peng, R.; Xu, D.; Fan, Q.; Xu, H.; et al. Interface-induced superconductivity and strain-dependent spin density waves in FeSe/SrTiO3 thin films. Nat. Mater. 2013, 12, 634–640. [Google Scholar] [CrossRef] [PubMed] [Green Version]
- Viswanathan, R.; Balasubramanian, R.; Darwin Albert Raj, D.; Sai Baba, M.; Lakshmi Narasimhan, T.S. Vaporization studies on elemental tellurium and selenium by Knudsen effusion mass spectrometry. J. Alloys Compd. 2014, 603, 75–85. [Google Scholar] [CrossRef]
- Zhao, W.; Chang, C.-Z.; Xi, X.; Mak, K.F.; Moodera, J.S. Vortex phase transitions in monolayer FeSe film on SrTiO3. 2D Mater. 2016, 3, 024006. [Google Scholar] [CrossRef]
- Huang, D.; Webb, T.A.; Song, C.L.; Chang, C.Z.; Moodera, J.S.; Kaxiras, E.; Hoffman, J.E. Dumbbell Defects in FeSe Films: A scanning tunneling microscopy and first-principles investigation. Nano Lett. 2016, 16, 4224–4229. [Google Scholar] [CrossRef] [PubMed] [Green Version]
- Liu, C.; Zou, K. Tuning stoichiometry and its impact on superconductivity of monolayer and multilayer FeSe on SrTiO3. Phys. Rev. B 2020, 101, 140502(R). [Google Scholar] [CrossRef] [Green Version]
- Yeh, K.-Y.; Chen, Y.-R.; Lo, T.-S.; Wu, P.M.; Wang, M.-J.; Chang-Liao, K.-S.; Wu, M.-K. Fe-vacancy-ordered Fe4Se5: The insulating parent phase of FeSe superconductor. Front. Phys. 2020, 8, 567054. [Google Scholar] [CrossRef]
- Chen, T.K.; Chang, C.C.; Chang, H.H.; Fang, A.H.; Wang, C.H.; Chao, W.H.; Tseng, C.M.; Lee, Y.C.; Wu, Y.R.; Wen, M.H.; et al. Fe-vacancy order and superconductivity in tetragonal beta-Fe1-xSe. Proc. Natl. Acad. Sci. USA 2014, 111, 63–68. [Google Scholar] [CrossRef] [PubMed] [Green Version]
- Liu, C.; Mao, J.; Ding, H.; Wu, R.; Tang, C.; Li, F.; He, K.; Li, W.; Song, C.-L.; Ma, X.-C.; et al. Extensive impurity-scattering study on the pairing symmetry of monolayer FeSe films on SrTiO3. Phys. Rev. B 2018, 97, 024502. [Google Scholar] [CrossRef] [Green Version]
- Yu, X.-Q.; Ren, M.-Q.; Zhang, Y.-M.; Fan, J.-Q.; Han, S.; Song, C.-L.; Ma, X.-C.; Xue, Q.-K. Stoichiometry and defect superstructures in epitaxial FeSe films on SrTiO3. Phys. Rev. Mater. 2020, 4, 051402(R). [Google Scholar] [CrossRef]
- Cammack, D.A.; Shahzad, K.; Marshall, T. Low-temperature growth of ZnSe by molecular beam epitaxy using cracked selenium. Appl. Phys. Lett. 1990, 56, 845–847. [Google Scholar] [CrossRef]
- Lee, J.J.; Schmitt, F.T.; Moore, R.G.; Vishik, I.M.; Ma, Y.; Shen, Z.X. Intrinsic ultrathin topological insulators grown via molecular beam epitaxy characterized by in-situ angle resolved photoemission spectroscopy. Appl. Phys. Lett. 2012, 101, 013118. [Google Scholar] [CrossRef] [Green Version]
- Zhang, M.-L.; Ge, J.-F.; Duan, M.-C.; Yao, G.; Liu, Z.-L.; Guan, D.-D.; Li, Y.-Y.; Qian, D.; Liu, C.-H.; Jia, J.-F. Molecular beam epitaxy growth of multilayer FeSe thin film on SrTiO3(001). Acta. Phys. Sin. 2016, 65, 127401. [Google Scholar] [CrossRef]
- Zhang, W.; Li, Z.; Li, F.; Zhang, H.; Peng, J.; Tang, C.; Wang, Q.; He, K.; Chen, X.; Wang, L.; et al. Interface charge doping effects on superconductivity of single-unit-cell FeSe films on SrTiO3 substrates. Phys. Rev. B 2014, 89, 060506(R). [Google Scholar] [CrossRef] [Green Version]
- Huang, D.; Hoffman, J.E. Monolayer FeSe on SrTiO3. Annu. Rev. Condens. Matter Phys. 2017, 8, 311–336. [Google Scholar] [CrossRef] [Green Version]
- Zhang, W.-H.; Sun, Y.; Zhang, J.-S.; Li, F.-S.; Guo, M.-H.; Zhao, Y.-F.; Zhang, H.-M.; Peng, J.-P.; Xing, Y.; Wang, H.-C.; et al. Direct observation of high-temperature superconductivity in one-unit-cell FeSe films. Chin. Phys. Lett. 2014, 31, 017401. [Google Scholar] [CrossRef] [Green Version]
- Sun, Y.; Zhang, W.; Xing, Y.; Li, F.; Zhao, Y.; Xia, Z.; Wang, L.; Ma, X.; Xue, Q.K.; Wang, J. High temperature superconducting FeSe films on SrTiO3 substrates. Sci. Rep. 2014, 4, 6040. [Google Scholar] [CrossRef] [PubMed]
- Zhao, W.; Li, M.; Chang, C.-Z.; Jiang, J.; Wu, L.; Liu, C.; Moodera, J.S.; Zhu, Y.; Chan, M.H.W. Direct imaging of electron transfer and its influence on superconducting pairing at FeSe/SrTiO3 interface. Sci. Adv. 2018, 4, eaao2682. [Google Scholar] [CrossRef] [PubMed] [Green Version]
- Yang, M.; Yan, C.; Ma, Y.; Li, L.; Cen, C. Light induced non-volatile switching of superconductivity in single layer FeSe on SrTiO3 substrate. Nat. Commun. 2019, 10, 85. [Google Scholar] [CrossRef]
- Pedersen, A.K.; Ichinokura, S.; Tanaka, T.; Shimizu, R.; Hitosugi, T.; Hirahara, T. Interfacial superconductivity in FeSe ultrathin films on SrTiO3 probed by in situ independently driven four-point-probe measurements. Phys. Rev. Lett. 2020, 124, 227002. [Google Scholar] [CrossRef]
- Wang, Z.; Zhou, T.; Jiang, T.; Sun, H.; Zang, Y.; Gong, Y.; Zhang, J.; Tong, M.; Xie, X.; Liu, Q.; et al. Dimensional crossover and topological nature of the thin films of a three-dimensional topological insulator by band gap engineering. Nano Lett. 2019, 19, 4627–4633. [Google Scholar] [CrossRef]
- Sun, H.; Jiang, T.; Zang, Y.; Zheng, X.; Gong, Y.; Yan, Y.; Xu, Z.; Liu, Y.; Fang, L.; Cheng, X.; et al. Broadband ultrafast photovoltaic detectors based on large-scale topological insulator Sb2Te3/STO heterostructures. Nanoscale 2017, 9, 9325–9332. [Google Scholar] [CrossRef] [PubMed]




Publisher’s Note: MDPI stays neutral with regard to jurisdictional claims in published maps and institutional affiliations. |
© 2022 by the authors. Licensee MDPI, Basel, Switzerland. This article is an open access article distributed under the terms and conditions of the Creative Commons Attribution (CC BY) license (https://creativecommons.org/licenses/by/4.0/).
Share and Cite
Zhu, K.; Wang, H.; Zhu, Y.; Zang, Y.; Feng, Y.; Tong, B.; Zhao, D.; Xie, X.; Chang, K.; He, K.; et al. Stoichiometric Growth of Monolayer FeSe Superconducting Films Using a Selenium Cracking Source. Crystals 2022, 12, 853. https://doi.org/10.3390/cryst12060853
Zhu K, Wang H, Zhu Y, Zang Y, Feng Y, Tong B, Zhao D, Xie X, Chang K, He K, et al. Stoichiometric Growth of Monolayer FeSe Superconducting Films Using a Selenium Cracking Source. Crystals. 2022; 12(6):853. https://doi.org/10.3390/cryst12060853
Chicago/Turabian StyleZhu, Kejing, Heng Wang, Yuying Zhu, Yunyi Zang, Yang Feng, Bingbing Tong, Dapeng Zhao, Xiangnan Xie, Kai Chang, Ke He, and et al. 2022. "Stoichiometric Growth of Monolayer FeSe Superconducting Films Using a Selenium Cracking Source" Crystals 12, no. 6: 853. https://doi.org/10.3390/cryst12060853
APA StyleZhu, K., Wang, H., Zhu, Y., Zang, Y., Feng, Y., Tong, B., Zhao, D., Xie, X., Chang, K., He, K., & Liu, C. (2022). Stoichiometric Growth of Monolayer FeSe Superconducting Films Using a Selenium Cracking Source. Crystals, 12(6), 853. https://doi.org/10.3390/cryst12060853

