You are currently viewing a new version of our website. To view the old version click .
Crystals
  • Article
  • Open Access

17 June 2022

Crystallization Kinetics of the Fe68Nb6B23Mo3 Glassy Ribbons Studied by Differential Scanning Calorimetry

,
,
,
and
1
School of Materials and Chemical Engineering, Xi’an Technological University, Xi’an 710021, China
2
Key Laboratory of Particle Astrophysics, Institute of High Energy Physics, Chinese Academy of Sciences, Beijing 100049, China
*
Author to whom correspondence should be addressed.

Abstract

Fe-based metallic glass has wide industrial application due to its unique mechanical behavior and magnetic properties. In the present work, the non-isothermal crystallization kinetics in Fe68Nb6B23Mo3 glassy alloys were investigated by differential scanning calorimeter (DSC). The results indicate that both the glass transformation and crystallization process display an obvious kinetic effect. The activation energy is calculated using Kissinger’s method and Ozawar’s method. The activation energy for Tg (glass transition temperatures), Tx (crystallization initiation temperatures) and Tp (crystallization peak temperatures) calculated from Kissinger equation, is 308 ± 4, 342 ± 5 and 310 ± 7 kJ mol−1, respectively. The activation energy for Tg, Tx and Tp calculated from Ozawa equation is 322 ± 3, 356 ± 5 and 325 ± 7 kJ mol−1, respectively. With the increase of the crystallization volume fraction x, the Avrami exponent n(x) first decreases and then increases. At the preliminary step, 0 < x < 0.25, 2.5 < n(x) < 4.0 stands for the growth from a small size with an increasing nucleation rate. When 0.25 < x < 0.71, n(x) decreases from 2.5 to 1.5, indicating that this stage is controlled by the growth of small particles with a decreasing nucleation rate.

1. Introduction

Fe-based amorphous glass has been widely used in the industrial field because of its excellent mechanical strength, outstanding magnetic properties and inexpensive material cost [1,2,3,4,5,6]. Thermodynamically, these metallic glasses are metastable materials. When heated to above the crystallization temperature, they transition into a crystalline phase. In order to precisely control the formation of the microstructure to fabricate new amorphous/nanocrystalline materials, it is of key importance to comprehended the nucleation as well as grain growth behavior in metallic glass. Differential scanning calorimetry (DSC) has been proven to be an effective way to study the crystallization kinetics of metallic glass. Traditionally, studies of the crystallization kinetics were performed on DSC equipment under non-isothermal crystallization and isothermal crystallization conditions. In previous studies, the effective activation energy, crystallized volume fraction, and transition kinetics have been analysed in detail [7,8,9,10,11,12,13,14,15]. Wang et al. [7] investigated the crystallization kinetics in the Fe80P13C7 alloys and proposed that the crystalline mechanism belongs to the diffusion-controlled growth of the glassy ribbons. Stoica et al. [8] studied the crystallization kinetics of the Fe66Nb4B30 bulk metallic glasses using the Johnson-Mehl-Avrami (JMA) and Kissinger equations. Studies on the Zr60Cu20Al10Ni10 bulk metallic glass demonstrated that the crystalline mechanism is controlled by the JMA-like mode in the initial stage and later controlled by the normal-grain-growth (NGG) mode [9]. Lu et al. [10] studied the complex primary crystallization kinetics of the amorphous Finemet alloys and pointed out that the crystalline mechanism has one-dimensional growth at a near-zero nucleation rate for the crystalline volume fraction between 0.2 and 0.9. Although studies on the crystallization kinetics have been carried out for a series of metallic glasses [7,8,9,10,11,12,13,14,15], data are still in deficiency on the crystallization kinetics of Fe-based metallic glasses.
It is important to understand the nucleation and grain growth behavior in metallic glasses in order to accurately control the formation of microstructure to fabricate novel amorphous/nanocrystalline materials. In this article, the crystallization kinetics of Fe68Nb6B23Mo3 glassy alloys under non-isothermal conditions were studied by DSC. The crystallization kinetic parameters, i.e., activation energy, local activation energy and local Avrami exponent, were calculated to understand behaviors of the nucleation and the growth during the entire crystallization process.

2. Experimental Procedure

Nominally composed of Fe68Nb6B23Mo3 (at.%), the master alloy ingots were made by the arc-melted pure elements of Fe (99.8%), Nb (99.9%), B (99.99%) and Mo (99.8%) in the atmosphere of Ti-gettered argon. To guarantee the compositional uniformity, the alloy ingots were remelted six times. The amorphous strip was made by injecting the molten alloy in a quartz tube into the rotating copper roller using the melt spinning method, with a linear velocity of 40 m s−1 and injection pressure of 20 kPa. The amorphous properties of the samples were tested with an X-ray diffractometer (D8 Advance, Bruker Company, Billerica, MA, USA), by using Cu Kα as a radiation. Thermoanalysis was implemented in DSC equipment (SDT Q600, TA Instruments, New Castle, DE, USA) in high purity argon and constant flow. A series of DSC scans at different heating rates were recorded over the heating rate range of 10–40 K min−1.

3. Results and Discussion

3.1. Structure Analysis and Non-Isothermal Crystallization Behavior of the Fe68Nb6B23Mo3 Glassy Alloys

The XRD pattern of the melt-spun Fe68Nb6B23Mo3 ribbons is shown in Figure 1. Its diffraction peak is wide, and there is no other peak corresponding to the crystal phase. The results show that the alloy can be completely amorphous under the present alloy composition.
Figure 1. XRD pattern of the melt-spun Fe68Nb6B23Mo3 ribbons.
Figure 2 shows the non-isothermal DSC traces of the Fe68Nb6B23Mo3 amorphous band at different heating rates. All DSC traces show an endothermic process of the vitrification of the liquid to the undercooled state, followed by an exothermic reaction corresponding to the crystallization of the undercooled liquid. Table 1 lists the crystallization initiation temperatures (Tx), glass transition temperatures (Tg) and crystallization peak temperatures (Tp), which are the characteristic temperatures. As the heating rate increases from 10 to 40 K min−1, all the characteristic temperatures (Tx, Tg, Tp) shifts to higher temperatures, demonstrating that both the glass transition and the crystallization events have remarkable kinetic effects. As seen in Table 1, the supercooled liquid region ΔTx (= TxTg) remains almost the same.
Figure 2. DSC traces for the Fe68Nb6B23Mo3 glassy alloys under varied heating rates.
Table 1. Thermal properties of the Fe68Nb6B23Mo3 glassy alloys under varied heating rates.

3.2. Activation Energy

The activation energy (E) associated with the characteristic temperatures at different heating rates can be determined by Kissinger’s Equation [16]:
ln ( T 2 β ) = E R T + c o n s t a n t
where β represents the heating rate, R denotes the gas constant and T represents Tx, Tg or Tp. Using Equation (1) and the values of Tg, Tx and Tp are listed in Table 1, the relationship plots between ln(T2/β) versus 1/T can be drawn. Some approximately straight lines with a slope of E/R can be seen (Figure 3), from which the effective activation energy can be deduced. The effective activation energy of Ex, Eg, and Ep are shown in Table 2.
Figure 3. Kissinger plots of the Fe68Nb6B23Mo3 glassy alloys.
Table 2. The calculated activation energy of the Fe68Nb6B23Mo3 metallic glass.
Similarly, Ozawa plots, manifesting the relationship between 1/T and lnβ, can also be obtained by using the Ozawa equation [17]:
ln β = E R T + c o n s t a n t
Figure 4 reveals the relationship between 1/T and lnβ. The activation energy can be deduced from the slope of −E/R using Equation (2). Table 2 also lists the activation energy of Ex, Eg and Ep estimated from Ozawa equation. The effective activation energy of Ex, Eg and Ep estimated from both the Kissinger and Ozawa equations have almost the same tendency. However, it can be seen that the values of effective activation energy deduced from the Ozawa equation are a bit higher than those deduced from the Kissinger equation. The crystallization kinetics of Fe67Nb5B28 alloy have been studied in the literature [15]. The values of Eg, Ex and Ep calculated by Kissinger equation are equal to 447 ± 15, 536 ± 22 and 559 ± 20 kJ mol−1, respectively. The effective activation energies of Eg, Ex and Ep calculated by the Ozawa equation are 461 ± 14, 551 ± 24 and 574 ± 20 kJ mol−1, respectively. The results determined from the two equations have the same tendency, while the activation energies estimated from the Kissinger equation are slightly smaller than those obtained from the Ozawa equation.
Figure 4. Ozawa plots of the Fe68Nb6B23Mo3 glassy alloys.
It is already known that the crystallization initiation temperature is related to nucleation process and the crystallization peak temperature is directly associated with grain growth process.

3.3. Local Activation Energy E(x)

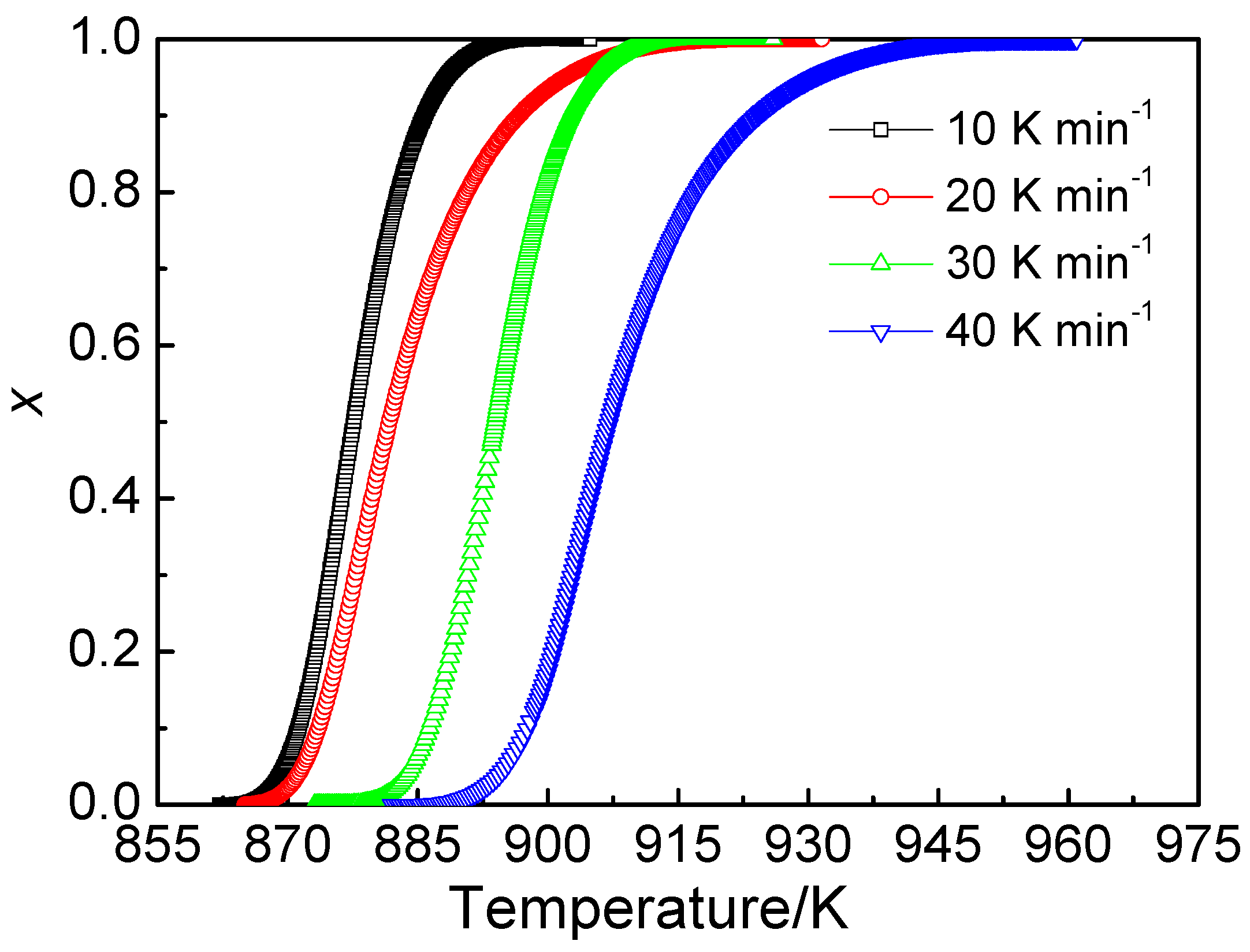
The crystallization volume fraction x at a temperature T during the crystallization can be written as AT/Atotal, with AT representing the corresponding area of the specific temperature T, while Atotal represents the whole area of the crystallization peak in the DSC curve. According to the DSC traces, the relationship between the crystallization volume fraction x and temperature T of Fe68Nb6B23Mo3 metallic glass for the crystallization event at different heating rates is shown in Figure 5. The slope of the x-T curves denotes the crystallization rate at a stationary heating rate. The x-T curves display a representative S-type shape. At the beginning and end of the x-T curve, the crystallization rate is small, and when x is in the range of 10–80%, the crystallization rate is large. As the heating rate increases, the x-T curve shifts to the right, revealing a typical thermal drive process.
Figure 5. The x-T curves of the Fe68Nb6B23Mo3 glassy alloys under various heating rates.
According to the Ozawa-Flynn-Wall (OFW) equation, the local activation energy E(x) can be expressed as [18]:
ln β = 1.0516 E ( x ) R T ( x ) + c o n s t a n t
where E(x) and T(x) stand for the local activation energy and temperature corresponding to the given crystalline percent x, respectively.
Figure 6 shows that a curve of lnβ with respect to 1000/T(x) at a specific value x can be derived from the fitting line. E(x) can be calculated from the slope of the fitting line when x is constant. Figure 7 exhibits the relationship between the variable activation energy of the Fe68Nb6B23Mo3 metallic glass and the crystallization volume percent x during crystallization. It was found that the local activation energy decreases with the increase of the crystallization volume percent x during the crystallization.
Figure 6. Plots of lnβ verse 1000/T(x) of the Fe68Nb6B23Mo3 glassy alloys.
Figure 7. Relationship between local activation energy E(x) and the crystallization volume fraction x.

3.4. Local Avrami Exponent n(x)

During the phase transition, the local Avrami exponent (n(x)) is important for understanding the mechanism of crystal nucleation and grain growth. The n(x) can be described as [10,19]:
n ( x ) = R ln [ ln ( 1 x ) ] E ( x ) ( 1 / T )
Figure 8 displays the plots of ln(−ln(1 − x)) as a function of 1000/T of the Fe68Nb6B23Mo3 glassy alloys. The figure shows that there are many different stages during the crystallization process. The plots of n(x) versus x can be obtained by using Equation (4). Figure 9 exhibits the relationship between the local Avrami exponent n(x) and the crystallized volume percent x of the Fe68Nb6B23Mo3 metallic glass with a heating rate of 20 K/min. During the whole crystallization process, the value of n(x) changes strongly with different x. The value of n(x) first decreases and then increases with the increase of x. At the initial crystallization stage (x < 0.05), the value of n(x) is larger than 4.0. With the progress of crystallization, n(x) decreases slowly from 4.0 to 0.88, and x increases from 0.05 to 0.97. However, when the crystal volume percent further exceeds 0.97, n(x) is sharply increased to approximately 3.6.
Figure 8. Plots of ln(−ln(1 − x)) against 1000/T of the Fe68Nb6B23Mo3 metallic glass (at 10\20\30\40 K/min).
Figure 9. The variation of local Avrami exponent n(x) as a function of the crystallization volume fraction at heating rate of 20 K/min.
The Avrami exponent n(x) can be described as [20]:
n = a + b c
where a is the nucleation index, b is the dimension of the growth, c is the growth index (c = 1 and 0.5, respectively, for interfacial control growth and diffusion control growth). The value of c is set at 0.5 for current metal because of the diffusion control growth in the Fe-based metallic glass [7].
The Avrami exponent n is an indicator of the nucleation and growth mechanism during the crystallization process. As the local Avrami exponent n(x) is bigger than 4 with no essentially meaning [20], it is not considered in the current study. In the initial stage of 0 < x < 0.25, the value of n(x) ranges from 2.5 to 4.0, indicating that it grows from small dimensions with an increasing nucleation rate in the initial stage. The value of n(x) = 2.5 stands for the growth from small dimensions with a constant nucleation rate. With the increase of x in the range 0.25–0.71, n(x) shows a decrease from 2.5 to 1.5, which represents the growth of small particles with a decreasing nucleation rate at this stage. The value of n(x) = 1.5 stands for the grain growth at zero nucleation rate. The value of n(x) drops from 1.5 to 1.0, where x ranges from 0.71 to 0.97, illustrating that it is controlled by the particle growth with considerable original volume. In the final stage with x > 0.95, it was found that n(x) increases sharply to 3.6. The abnormal rise of n(x) at high x is attributed to the uneven distribution of nuclei in amorphous alloys [15,21].

3.5. Dependence of Glass Transition and Crystallization Event on Heating Rates

Figure 10 described the changes of Tg, Tx and Tp with lnβ of the Fe68Nb6B23Mo3 glassy alloys, which can be expressed by Lasocka’s empirical relations [22]:
T = A + B ln β
where A and B are constants, and β stands for the heating rate. The values of A and B are calculated by the least square method and are listed in Table 3. The value of B represents the response of the matrix to the configurational change in the glass transition region. With the increase of the B value, the characteristic temperature is more sensitive to the heating rate. The value of B for Tp is the largest, while the value of B for Tx is the smallest. Thus, the crystallization process is the most susceptible to the heating rate.
Figure 10. Relationship between lnβ and characteristic temperatures of the Fe68Nb6B23Mo3 glassy alloys.
Table 3. Values of A and B of the Fe68Nb6B23Mo3 glassy alloys.

4. Conclusions

The purpose of the study of crystallization kinetics in this paper was to control the crystallization products and their size distribution, to obtain amorphous nanocrystalline alloys and to control their properties.
  • Both the glass transition process and crystallization process display an obvious kinetic effect. The activation energy was calculated by using the Kissinger equation and the Ozawa equation. The values of Eg, Ex and Ep, calculated by Kissinger equation, are 308 ± 4, 342 ± 5 and 310 ± 7 kJ mol−1, respectively, and they are 322 ± 3, 356 ± 5 and 325 ± 7 kJ mol−1 calculated by the Ozawa equation, respectively.
  • With the increase of crystallization volume fraction x, the Avrami exponent n(x) first decreases and then increases. The 2.5 < n(x) < 4.0 in the initial stage of 0 < x < 0.25 stands for the growth from small dimensions with an increasing nucleation rate. With the increase of x in the range 0.25–0.71, n(x) decreases from 2.5 to 1.5, indicating that it is controlled by the growth of small particles with decreasing nucleation rate at this stage. The value of n(x) decreases from 1.5 to 1.0 with x ranging from 0.71 to 0.97, suggesting that it is controlled by the growth of particles with appreciable initial volume.
  • The fitting curves, using Lasocka’s equation, clearly indicate that the course of the crystallization of Fe68Nb6B23Mo3 is most susceptible to the heating rate.

Author Contributions

Conceptualization, Y.L. and M.Z.; methodology, Y.L., M.Z. and L.Y.; software, L.Y. and Y.L.; formal analysis, Y.L.; investigation, Y.L. and M.Z.; resources, Z.J.; data curation, Y.L. and Y.D.; writing—original draft preparation, Y.L., M.Z. and Y.D.; writing—review and editing, Y.L., M.Z. and Y.D.; supervision, Y.L., M.Z., L.Y., Y.D. and Z.J.; project administration, Y.L.; funding acquisition, M.Z. and Z.J. All authors have read and agreed to the published version of the manuscript.

Funding

This work was supported by the National Natural Science foundation of China (Grant No. 51301125) and the Natural Science Basic Research Program of Shaanxi Province (No. 2020JM-557).

Institutional Review Board Statement

Not applicable.

Data Availability Statement

The data presented in this study are available on request from the corresponding author.

Conflicts of Interest

The authors declare no conflict of interest.

References

  1. Inoue, A.; Takeuchi, A. Recent development and application products of bulk glassy alloys. Acta Mater. 2011, 59, 2243–2267. [Google Scholar] [CrossRef]
  2. Liu, T.; Lai, L.; Xiao, S.; Tang, M.; Zhang, H.; Guo, S. Ternary Fe–W–B bulk metallic glasses with ultrahigh thermal stabilities. Mater. Sci. Eng. A 2021, 826, 142034. [Google Scholar] [CrossRef]
  3. Li, M.; Guan, H.; Yang, S.; Ma, X.; Li, Q. Minor Cr alloyed Fe–Co–Ni–P–B high entropy bulk metallic glass with excellent mechanical properties. Mater. Sci. Eng. A 2021, 805, 140542. [Google Scholar] [CrossRef]
  4. Li, H.X.; Lu, Z.C.; Wang, S.L.; Wu, Y.; Lu, Z.P. Fe-based bulk metallic glasses: Glass formation, fabrication, properties and applications. Prog. Mater. Sci. 2019, 103, 235–318. [Google Scholar] [CrossRef]
  5. Shen, B.L.; Chang, C.T.; Inoue, A. Superhigh strength and good soft-magnetic properties of (Fe, Co)-B-Si-Nb bulk glassy alloys with high glass-forming ability. Appl. Phys. Lett. 2004, 85, 4911–4913. [Google Scholar] [CrossRef]
  6. Stoica, M.; Hajlaoui, K.; Lemoulec, A.; Yavari, A.R. New ternary Fe-based bulk metallic glass with high boron content. Philos. Mag. Lett. 2006, 86, 267–275. [Google Scholar] [CrossRef]
  7. Wang, Y.; Xu, K.; Li, Q. Comparative study of non-isothermal crystallization kinetics between Fe80P13C7 bulk metallic glass and melt-spun glassy ribbon. J. Alloys Compd. 2012, 540, 6–15. [Google Scholar] [CrossRef]
  8. Stoica, M.; Kumar, S.; Roth, S.; Ram, S.; Eckert, J.; Vaughan, G.; Yavari, A.R. Crystallization kinetics and magnetic properties of Fe66Nb4B30 bulk metallic glass. J. Alloys Compd. 2009, 483, 632–637. [Google Scholar] [CrossRef]
  9. Zhuang, Y.X.; Duan, T.F.; Shi, H.Y. Calorimetric study of non-isothermal crystallization kinetics of Zr60Cu20Al10Ni10 bulk metallic glass. J. Alloys Compd. 2011, 509, 9019–9025. [Google Scholar] [CrossRef]
  10. Lu, W.; Yan, B.; Huang, W.-H. Complex primary crystallization kinetics of amorphous Finemet alloy. J. Non-Cryst. Solids 2005, 351, 3320–3324. [Google Scholar] [CrossRef]
  11. Chen, Q.; Liu, L.; Chan, K.C. Crystallization kinetics of the Zr55.9Cu18.6Ta8Al7.5Ni10 bulk metallic glass matrix composite under isothermal conditions. J. Alloys Compd. 2006, 419, 71–75. [Google Scholar] [CrossRef]
  12. Hu, X.; Qiao, J.; Pelletier, J.M.; Yao, Y. Evaluation of thermal stability and isochronal crystallization kinetics in the Ti40Zr25Ni8Cu9Be18 bulk metallic glass. J. Non-Cryst. Solids. 2016, 432, 254–264. [Google Scholar] [CrossRef]
  13. Prajapati, S.R.; Kasyap, S.; Patel, A.T.; Pratap, A. Non-isothermal crystallization kinetics of Zr52Cu18Ni14Al10Ti6 metallic glass. J. Therm. Anal. Calorim. 2016, 124, 21–33. [Google Scholar] [CrossRef]
  14. Gong, P.; Zhao, S.F.; Wang, X.; Yao, K.F. Non-isothermal crystallization kinetics and glass-forming ability of Ti41Zr25Be28Fe6 bulk metallic glass investigated by differential scanning calorimetry. Appl. Phys. A 2015, 120, 145–153. [Google Scholar] [CrossRef]
  15. Zhu, M.; Fa, Y.; Jian, Z.; Yao, L.; Jin, C.; Nan, R.; Chang, F. Non-isothermal crystallization kinetics and soft magnetic properties of the Fe67Nb5B28 metallic glasses. J. Therm. Anal. Calorim. 2018, 132, 173–180. [Google Scholar] [CrossRef]
  16. Kissinger, H.E. Reaction Kinetics in Differential Thermal Analysis. Anal. Chem. 1957, 29, 1702–1706. [Google Scholar] [CrossRef]
  17. Ozawa, T. Kinetic analysis of derivative curves in thermal analysis. J. Therm. Anal. 1970, 2, 301–324. [Google Scholar] [CrossRef]
  18. Flynn, J.H.; Wall, L.A. A quick, direct method for the determination of activation energy from thermogravimetric data. J. Polym. Sci. 1966, 4, 323–328. [Google Scholar] [CrossRef]
  19. Zhu, M.; Li, J.J.; Yao, L.J.; Jian, Z.Y.; Chang, F.E.; Yang, G.C. Non-isothermal crystallization kinetics and fragility of (Cu46Zr47Al7)97Ti3 bulk metallic glass investigated by differential scanning calorimetry. Thermochim. Acta 2013, 565, 132–136. [Google Scholar] [CrossRef]
  20. Christian, J.W. The Theory of Transformations in Metals and Alloys; Elsevier Science Ltd.: Oxford, UK, 2002; p. 546. [Google Scholar]
  21. Sun, N.X.; Liu, X.D.; Lu, K. An explanation to the anomalous avrami exponent. Scr. Mater. 1996, 34, 1201–1207. [Google Scholar] [CrossRef]
  22. Lasocka, M. The effect of scanning rate on glass transition temperature of splat-cooled Te85Ge15. Mater. Sci. Eng. 1975, 23, 173–177. [Google Scholar] [CrossRef]
Publisher’s Note: MDPI stays neutral with regard to jurisdictional claims in published maps and institutional affiliations.

Article Metrics

Citations

Article Access Statistics

Multiple requests from the same IP address are counted as one view.