Next Article in Journal
Crystallization Kinetics of the Fe68Nb6B23Mo3 Glassy Ribbons Studied by Differential Scanning Calorimetry
Previous Article in Journal
Mechanical Response and Fracture of Pultruded Carbon Fiber/Epoxy in Various Modes of Loading
 
 
Font Type:
Arial Georgia Verdana
Font Size:
Aa Aa Aa
Line Spacing:
Column Width:
Background:
Article

Effects of Basicity and Al2O3 Content on Viscosity and Crystallization Behavior of Super-High-Alumina Slag

School of Minerals Processing and Bioengineering, Central South University, Changsha 410083, China
*
Author to whom correspondence should be addressed.
Crystals 2022, 12(6), 851; https://doi.org/10.3390/cryst12060851
Submission received: 18 May 2022 / Revised: 11 June 2022 / Accepted: 14 June 2022 / Published: 16 June 2022
(This article belongs to the Topic Iron Concentrate Particles)

Abstract

:
The CaO-SiO2-MgO-Al2O3 slags with high alumina content are widely applied in various pyrometallurgical processes. However, for super-high-alumina slags, especially for those with alumina content of more than 25 wt%, there is a lack of relevant studies about the properties of slag. The melting behavior, viscosity, structural property, and crystallization behavior of high-alumina slag with the fixed MgO content of 11.13 wt% and Al2O3 content from 27.61 wt% to 40 wt% were investigated. The results revealed that the liquidus temperatures and complete solidification temperatures of slag increased with the increasing binary basicity and Al2O3 content. The melting temperature and viscosity of the CaO-SiO2-11.13wt%MgO-Al2O3 slag system increased with the increasing basicity from 0.8 to 1 and Al2O3 content from 27.61 wt% to 40 wt%. The increase in Al2O3 caused the formation of high-crystallinity and high melting point materials in the slag, such as spinel and Åkermanite. A large number of non-uniform phases could quickly crystallize out of the solids present in the slag melt, thereby increasing the slag viscosity and deteriorating the fluidity of the slag.

1. Introduction

Viscosity is a critical property of slag that affects the metallurgical process [1,2,3,4,5,6,7]. The CaO-SiO2-MgO-Al2O3 slag system is well-known for its widespread use in pyrometallurgical operations [8,9,10]. The amount of high-quality iron resources decreases with the continuous exploitation in the world; thus, the low-quality iron ores with high Al2O3 become a choice. The high-alumina iron ore is also employed as the raw material in the ironmaking process [11,12,13,14,15]. Furthermore, the high-alumina slag is used to recover platinum group metals (PGMs) from alumina-based spent catalysts with metals collection methods [16,17,18]. Moreover, a tremendous amount of slag with high Al2O3 is produced during the ferronickel alloy and ferrochromium alloy production process [19,20,21]. As we know, the fluidity property of slag has a considerable influence on the smelting process and separation of metals from slag [22,23,24,25,26]. Therefore, it is vital to study the viscosity and crystallization behavior of high-alumina slag.
At present, the effects of basicity and Al2O3 on viscosity have been reported by some researchers. Chen et al. [27] studied the viscosity of SiO2-MgO-FeO-Al2O3-MgO slag with the Al2O3 content from 4 wt% to 10 wt%, and the results revealed that Al2O3 was a network former and could polymerize the slag, increasing viscosity. Gao et al. [9] measured the viscosity of SiO2-CaO-MgO-9wt% Al2O3 slag and pointed out that the complex network structure of the molten slag was disaggregated into simple network units as the basicity increased from 0.4 to 1.0. The viscosity experiments of CaO-SiO2-MgO-Al2O3 slag [28] suggested the slag viscosity decreased with the increasing basicity from 0.5 to 0.9 and increased with the increase in alumina content from 5% to 20%. However, the effects of basicity and Al2O3 content on slag viscosity and crystallization behavior have not been sufficiently investigated for high-alumina slag with Al2O3 content above 25 %.
In this work, the effects of binary basicity and Al2O3 content on the melting behavior, viscosity, structural property, and crystallization behavior of the CaO-SiO2-Al2O3-11.13wt%MgO system were investigated. The melting behavior and viscosity of slag with different binary basicity (0.8–1.1) and alumina (27.61–40 wt%) were measured. In a high Al2O3 and MgO slag system, it is easy to form a high melting point and high-crystallinity phases. Therefore, the viscosity behavior of slag is inseparable from the melting and crystallization behavior of slag. This work can deepen the realization of basicity and Al2O3 content on melting behavior, viscosity, and phase transformation of super-high Al2O3 (27.61–40 wt%) and high MgO (11.13 wt%) slag, and the interaction between these properties. In addition, this study can provide a technical basis for the efficient utilization of low-quality iron ores with high Al2O3 content.

2. Materials and Experimental Methods

2.1. Slag Sample Preparation

The slag samples in the experiment were half-synthetic slag based on a blast furnace slag from one steel company in China. The reagents used to modify the composition of slag include CaCO3 (≥98 wt%), SiO2 (≥99 wt%), MgO (≥98 wt%), and Al2O3 (≥99 wt%) reagents. The chemical composition of blast furnace slag is shown in Table 1. The chemical methods [29] were adopted for the chemical composition of blast furnace slag. The converted main compositions of the slag are 32.37 wt% SiO2, 27.61 wt% Al2O3, 28.89 wt% CaO, 11.13 wt% MgO, and the binary basicity (CaO/SiO2) is 0.89. The XRD pattern of the blast furnace slag is shown in Figure 1. As shown in Figure 1, the main phase of blast furnace slag is spinel (MgAl2O4). The half-synthetic slags were prepared by mixing the practical blast furnace slag and chemical reagents with a fixed mass ratio of 2:1. In this way, the chemical compositions of the slag sample are closer to the actual slag compositions. The designed chemical compositions of the half-synthetic slags are shown in Table 2. It could be seen that the CaO/SiO2 ratio ranged from 0.8 to 1.1, and alumina ranged from 27.61 wt% to 40 wt%. All reagents except CaCO3 powder were roasted at 1000 °C for one hour to remove carbonate and water. Appropriate amounts of the blast furnace slag powder and reagents were weighed and then mixed in an agate mortar to ensure composition uniformity. After that, one part of the mixtures was premelted in an electric furnace at 1500 °C for 1 h to attain the homogeneous samples. These pre-melted samples were used for subsequent viscosity measurement experiments. Additionally, another part of the mixtures were placed in a graphite crucible lined with molybdenum sheets and smelted in the electric furnace at 1500 °C for 1 h under the protection of N2 gas (>99.9). Thereafter, the sample was removed from the furnace and quenched in cool water. After drying, the sample was crushed and ground for the melting properties tests.

2.2. Experimental Methods

2.2.1. Viscosity Tests

The RTW-10 melt physical properties comprehensive testing instrument was applied to measure the viscosity value of the slag samples listed in Table 2. The schematic diagram of the experimental apparatus is illustrated in Figure 2, which consists of a high-temperature furnace, measuring system, gas purification system, and data acquisition system. The MoSi2 heating element was used to heat the samples. The slag samples were placed into a molybdenum crucible surrounded by a graphite crucible), and a disassembled graphite sleeve was wrapped in the graphite crucible to hold the extra slag sample. The Mo spindle consisted of a bob and a shaft connected to a viscometer head. The viscometer was validated before the measurements adopting castor oil (A.R.) of known viscosity at room temperature.
During the experiment, about 125 g of premelted slag was added to the molybdenum crucible and then transferred to the furnace, and then it was set to heat at the rate of 5 °C min−1 under the Ar atmosphere (>99.99%). The slag sample was premelted at 1550 °C for 30 min to sustain the temperature and completely melt the slag sample. The rotating spindle was slowly immersed into the molten slag and rotated at a fixed rate of 200 r/min. The tip of the bob was positioned approximately 10 mm away from the bottom of the molybdenum crucible. The measurement was performed to cool down at a rate of 3 °C/min, and the target temperature was maintained for 0.5 h to ensure thermal equilibrium. The temperature and viscosity were recorded every 10 s by the data acquisition system. Furthermore, the final slag viscosity at each target temperature was the average of the measured value. When viscosity tests were over, the slag sample was reheated to 1500 °C and then cooled to room temperature with the furnace to complete the slag crystallization.

2.2.2. Melting Properties Tests

The slag sample was shaped into a triangular cone using a mold, and the samples were heated in a tube furnace with a camera. The shape change in the slag samples during the softening and melting process was observed by a camera. Figure 3 exhibited the morphologic changes in a sample at spherical temperature, hemispherical temperature, and flowing temperature, defined by the Chinese Standard GB/T 219-2008 [30]. The hemispherical temperature (HT) implies the melting temperature of the slag at which the solid phase begins to precipitate out of the molten slag. Correspondingly, the flowing temperature can also be called the liquefaction temperature [31].

2.3. Characterization Methods

The FactSage 8.0 software [32,33,34,35] was utilized to draw the phase diagram and calculate the crystallization and phase transformation of slags. The used modules were “Phase Diagram” and “Equilib”, with the corresponding databases being “FToxid” and “FactPS”. The locations of the slag composition in the diagram are marked in Figure 4. The phase composition of the crystallized slag was determined by X-ray diffraction (XRD, Advance D8, Brock Company, Zürich, Switzerland), operation at 40 kV and 4 mA with CuK α radiation, step 4°/min and range of angles analyzed from 10 to 80°. The slag structure was analyzed using FT-IR spectroscopy (Spectrum Two, PerkinElmer, Groningen, the Netherlands) with a frequency between 1200 and 400 cm−1. The size and proportion of crystal phases in slags were observed and counted by LEICA optical microscope and Image J Software, respectively.

3. Results

3.1. Crystallization and Phase Transformation of Slags

In this part, the FactSage 8.0 was used to calculate the equilibrium phase and precipitated solid mass fraction in the slag from 2000 °C to 1000 °C with 100 °C intervals. The Equilib module was adopted with the FToxid database based on the Gibbs minimum free energy principle [36,37].
As shown in Figure 5, the initial phase of the slag precipitation is spinel. The amount of spinel precipitation does not change significantly as the slag basicity increases from 0.8 to 1.1 with the fixed Al2O3 and MgO contents of 27.61 wt% and 11.13 wt%, respectively. Moreover, the precipitation silicate phase changes from CaAl2Si2O8 to melilite (Ca2MgSi2O7) when the basicity increases from 0.8 to 1.1. The amount of spinel phase increases as the Al2O3 content increases from 27.61 wt% to 40 wt% with the fixed slag basicity of 0.9. Furthermore, a small number of CaMg2Al16O27 appear when the Al2O3 content of slag is up to 40 wt%. Moreover, as illustrated in Figure 5f,g, the CaAl2Si2O8 disappears, and the Ca2MgSi2O7 generates when the slag basicity increases from 0.9 to 1.1 at the fixed Al2O3 content of 40 wt%. Figure 5h shows the liquidus temperatures and complete solidification temperatures of slags with various basicity and Al2O3 contents. As shown in Figure 5h, both the liquidus temperature and complete solidification temperature of the slags increase with the basicity of slag increases from 0.8 to 1.1. In addition, the liquidus temperatures and complete solidification temperatures of the slags also increase with the increasing Al2O3 content, and this result is similar to the calculations of Ma et al. [31].

3.2. Melting Properties

Figure 6 shows the effects of the slag basicity on the melting temperatures of slags. It can be seen that the melting temperatures ranged from 1220 °C to 1340 °C, and the basicity had a significant influence on the melting temperature of the high-alumina slag. The spherical temperature, hemispherical temperature, and flowing temperature increase gradually with the increasing binary basicity. When the basicity increased from 0.8 to 1.1, the hemispherical temperature increased from 1228 °C to 1327 °C, and the flowing temperature increased from 1242 °C to 1338 °C.
Figure 7 illustrates the influence of the Al2O3 content on the melting temperatures of the high-alumina slag. It indicates that the trends illustrated by the spherical temperature, hemispherical temperature, and flowing temperature with changing Al2O3 content were similar, and they significantly increased with increasing Al2O3 content. The hemispherical temperature of slag increases from 1253 °C to 1375 °C, and the flowing temperature increases from 1268 °C to 1402 °C as the Al2O3 content increases from 27.6 wt% to 40 wt%. The spherical temperature, hemispherical temperature, and flowing temperature reflect the melting properties of the slag, and high melting temperatures of slag may produce a solid phase during the smelting process, thus affecting the viscosity and fluidity of the slag. In our study, all characteristic temperatures increased with the increasing basicity from 0.8 to 1.1 and Al2O3 content from 27.6 wt% to 40 wt% in CaO-SiO2-11.13 wt%MgO-Al2O3 slag, which indirectly mirrored the possibility of the existence of the solid phase in the smelting process.

3.3. Slag Viscosity

Figure 8 shows the viscosity-temperature curve of CaO-SiO2-MgO-Al2O3 slag with basicity ranging from 0.8 to 1.1. It can be seen that the slag viscosity increases with the increasing basicity. As illustrated in Figure 9, the viscosity of the slags increases with the increasing Al2O3 content of slag. When the Al2O3 content of slag is fixed at 40 wt%, the measured slag viscosity is high and exceeds 5 Pa·s at 1522 °C. Figure 10 shows the effects of basicity on the viscosity of the slag system at 1500 °C and the effects of Al2O3 content on the viscosity of the slag system at 1520 °C, respectively. There is a linear relationship between viscosity and basicity of slag with fixed Al2O3 content of 27.61 wt% and MgO content of 11.13 wt% at 1500 °C, the viscosity of slag increased by approximately 0.14 Pa·s for every additional CaO/SiO2 ratio of 0.1. The effect of Al2O3 content on the viscosity of slag is more significant.
Comparisons between the measured viscosities in the present study and other reports of the CaO-SiO2-MgO-Al2O3 slags at 1500 °C are shown in Figure 11. From Figure 11a, it was noted that the slag viscosity increases with increasing basicity for the CaO-SiO2-11.13wt%MgO-27.61wt%Al2O3 slags, a trend that is contrary to the results obtained by Hyuk Kim et al. [38] for CaO-SiO2-10 wt%MgO-20 wt%Al2O3 slags and Y.M. Gao et al. [9] for CaO-SiO2-13wt%MgO-9wt%Al2O3 slags. Moreover, it could be seen from Figure 11b that the viscosity of the slag increases with increasing Al2O3 content for the fixed MgO content of 11.13 wt% and basicity of 0.9. A similar observation was made by Lu Yao et al. [12] for the CaO-SiO2-11wt%MgO-Al2O3 slag and Hyuk Kim et al. [38] for the CaO-SiO2-10 wt%MgO-Al2O3 slag, but the viscosities were lower than that in this study.
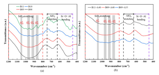
In addition, the structure of slags was determined by the FT-IR technique, and the results are shown in Figure 12. According to previous investigations [39,40,41,42], the FT-IR analysis of molten slag was typically situated in the wavenumber region between 1200 to 400 cm−1. These regions at about 1200–800 cm−1, 750–630 cm−1, and 630–450 cm−1, corresponding to [SiO4]-tetrahedral stretching vibration bands, [AlO4]-tetrahedral stretching vibration bands, and Si-O-Al bending, respectively. Furthermore, the [SiO4]-tetrahedral stretching vibration bands can be classified depending on the values of NBO/Si, which corresponds to Q S i 0 (monomers, NBO/Si = 4), Q S i 1 (dimers, NBO/Si = 3), Q S i 2 (chains, NBO/Si = 2), and Q S i 3 (sheets, NBO/Si = 1), respectively. Figure 12a shows that the trough depth of [SiO4]-tetrahedral band groups, [AlO4]-tetrahedral band, and Si-O-Al bending were weakened when the CaO/SiO2 ratio increased from 0.8 to 1. It indicated that the complicated network structures were disaggregated to simple structural units, which primarily attributed to the increase in free oxygen ions O2−. However, with the further increase in the CaO/SiO2 ratio from 1 to 1.1, the trough depth of [SiO4]-tetrahedral band groups, [AlO4]-tetrahedral band, and Si-O-Al bending became more remarkable, which signified that the silicate network became more complex because the compensation effects of Ca2+ on the [AlO4] units are more pronounced when the CaO/SiO2 ratio increases from 1 to 1.1. As shown in Figure 12b, both the trough depth of Q S i 0 and Q S i 1 bands decreased while the trough depth of Q S i 2 band increased with increasing Al2O3 content. The trough of [AlO4]-tetrahedral stretching vibration bands had little change. This indicated that higher Al2O3 content tends to polymerize Si-O networks which play an active role in increasing viscosity [43,44].
As the Si–O network structures depolymerized with increasing Al2O3 content, the viscosity increased, which agreed with the current study. While the silicate network structures showed a tendency that depolymerized firstly and then polymerized with increasing CaO/SiO2 from 0.8 to 1.1, the viscosity of slag increased consistently, which was a contradiction.
Moreover, the proportions of the slag liquid phase and solid phase were calculated by FactSage 8.0. As shown in Figure 13, the proportion of slag liquid phase decreased with increasing CaO/SiO2 and Al2O3 content, and the proportion of solid phase increased at 1500 °C. Combining the phase diagram (Figure 4) and Figure 13 indicated that the slag samples exhibited a mixture of liquid and solid phases at 1500 °C, and the solid phase mainly consists of spinel.
According to the above results, the inconsistency of viscosity changes that the viscosity of the slag increases with increasing basicity for the slags may be attributed to the high Al2O3 content and solid–liquid mixture behaviors. It is well known that partially molten materials or solid suspension liquids have a high viscosity value [27]. Additionally, the Roscoe model has been the most widely used to describe the viscosity of these melts [45,46]. The viscosity of the solid-containing melt is calculated by the following equation:
η = η ο 1 a f n
where η and η ο are the viscosity of solid-containing and solid-free melt, respectively; f is the concentration of solid particles; a and n are constants that are dependent on solid particles size.
As shown in Figure 11 and Figure 13, increasing Al2O3 content increased both the viscosity of solid-containing and solid-free slag melt, indicating that Al2O3 acts as a network former in the slag system. However, increasing basicity decreased the viscosity of the slag system by providing additional free oxygen ions (O2−) with Al2O3 content of slag was no more than 20 wt%. When the Al2O3 content of slag reached 27.61 wt%, slag samples exhibited a mixture of liquid and solid phases, resulting in high viscosity. It indicated that the effect of the solid phase on slag viscosity is predominant compared to the additional free oxygen and that effect is more pronounced at a higher Al2O3.

3.4. Determination of Crystalline Phase

The phase compositions of slag with different Al2O3 content and basicity were investigated by XRD. It can be seen from Figure 14 that the main solid phases of CaO-SiO2-MgO-Al2O3 slags are spinel (MgAl2O4) and Åkermanite (Ca2MgSi2O7).
The amount of spinel precipitation does not change significantly as the slag basicity increases from 0.8 to 1.1 with the fixed Al2O3 and MgO contents of 27.61 wt% and 11.13 wt%, respectively. When the basicity of slag is 0.8, the main phase is the spinel phase, and the diffraction peak of the Åkermanite phase is not obvious. There are significant diffraction peaks of the Åkermanite phase when the basicity of slag increases to 1.0. As the basicity continues to increase to 1.1, the Åkermanite phase increases further. The XRD patterns of slag with different Al2O3 content and the fixed binary basicity of 0.9 and MgO content of 11.13 wt% are illustrated in Figure 15. As shown in Figure 15, the main phase of slag is the spinel phase, which also increases with the increasing Al2O3 content. These regulations of crystalline phases are fit with the thermodynamic calculations.
The effects of basicity and Al2O3 content on the microstructure of high-alumina slag were observed, and the proportions of the solid phase in high-alumina slag were determined by Image J software and shown in Figure 16. As the basicity increased from 0.8 to 1.1, the size of solid particles became larger, and the proportion of solid phase in slag increased from 13.86% to 25.41%. This result agrees with the theoretical calculations in Figure 13 and also explains the increase in viscosity with increasing basicity. With higher Al2O3 content, a large number of fine solid phases emerged, and the percentage of crystals phase continues to increase, resulting in a more significant effect on viscosity.
Briefly, the increases in basicity and Al2O3 content caused an ascendance in the melting temperature and viscosity of slags, which are detrimental to reducing energy consumption and metal–slag separation. In addition, The Al2O3 content has a strong influence on the structure of slag. As the Al2O3 content increased, the number of aluminum oxide tetrahedra [AlO4]5- which formed by the absorption of O2- by the Al2O3 increased, causing the formation of complex compounds with high crystallinity and high melting points, such as spinel. As the Al2O3 content increased further, Åkermanite and other mineral phase components that have a greater impact on the slag emerge, making the internal structure more complex and thus forming many non-uniform phases that can easily crystallize out of the solids present in the slag melt, causing the viscosity of the slag to become greater and the fluidity of the slag to become worse.

4. Conclusions

The effects of basicity and Al2O3 content on the melting behavior, viscosity, structural property, and crystallization behavior of super-high-alumina (27.61–40 wt%) slag were investigated. At a fixed MgO content of 11.13 wt% and Al2O3 content of 27.61 wt%, the melting temperature, viscosity, and crystals phase (spinel and Åkermanite) increased when the basicity increased from 0.8 to 1.1. The viscosity of slag increased by approximately 0.14 Pa·s for every additional CaO/SiO2 ratio of 0.1 at 1500 °C. The proportion of crystal phase in slag increased from 13.86% to 25.41%. At a fixed MgO content of 11.13 wt% and basicity of 0.9 or 1.1, the melting temperature, viscosity, and crystal phase (spinel and Åkermanite) increased with the increasing Al2O3 content from 27.61–40 wt%. The Al2O3 content has a strong influence on the slag, When the Al2O3 content of slag is fixed at 40 wt%, the measured slag viscosity is high and exceeds 5 Pa·s at 1522 °C, and the proportion of solid phase in slag increased to more than 35%.

Author Contributions

Conceptualization, Y.G. and S.W.; methodology, S.W.; validation, F.C. and L.Y.; formal analysis, G.L.; writing—original draft preparation, S.W. and Y.J.; writing—review and editing, Y.G.; visualization, S.W.; supervision, Y.G. and S.W.; data curation, Z.Y. All authors have read and agreed to the published version of the manuscript.

Funding

This research was funded by the National Natural Science Foundation of China, grant number 52104345; the Major Science and Technology Special Project of Yunan Province, grant number 202002AB080001-1.

Institutional Review Board Statement

Not applicable.

Informed Consent Statement

Not applicable.

Data Availability Statement

Data sharing is not applicable to this article.

Acknowledgments

The authors would like to acknowledge the financial supports from the National Natural Science Foundation of China (52104345) and the Major Science and Technology Special Project of Yunan Province (202002AB080001-1).

Conflicts of Interest

The authors declare no conflict of interest.

References

  1. Wu, T.; Wang, Q.; Yu, C.; He, S. Structural and viscosity properties of CaO-SiO2-Al2O3-FeO slags based on molecular dynamic simulation. J. Non-Cryst. Solids 2016, 450, 23–31. [Google Scholar] [CrossRef]
  2. Liu, Y.; Bai, C.; Lv, X.; Wei, R. Molecular dynamics simulation on the influence of Al2O3 on the slag structure at 1873 K. Mater. Today Proc. 2015, 2, 453–459. [Google Scholar] [CrossRef]
  3. Sukenaga, S.; Saito, N.; Kawakami, K.; Nakashima, K. Viscosities of CaO-SiO2-Al2O3-(R2O or RO) melts. ISIJ Int. 2006, 46, 352–358. [Google Scholar] [CrossRef] [Green Version]
  4. Zhan, W.; Liu, Y.; Shao, T.; Han, X.; Pang, Q.; Zhang, J.; He, Z. Evaluating the effect of MgO/Al2O3 ratio on thermal behaviors and structures of blast furnace slag with low carbon consumption. Crystals 2021, 11, 1386. [Google Scholar] [CrossRef]
  5. Ghosh, D.; Krishnamurthy, V.A.; Sankaranarayanan, S.R. Application of optical basicity to viscosity of high alumina blast furnace slags. J. Min. Metall. 2010, 46, 41–49. [Google Scholar] [CrossRef]
  6. Liu, W.; Xing, X.D.; Zuo, H.B. Effect of TiO2 on viscosity and sulfide capacity of blast furnace slag containing barium. ISIJ Int. 2020, 60, 1886–1891. [Google Scholar] [CrossRef]
  7. Marvila, M.T.; Azevedo, A.R.G.d.; Matos, P.R.d.; Monteiro, S.N.; Vieira, C.M.F. Rheological and the fresh state properties of alkali-activated mortars by blast furnace slag. Materials 2021, 14, 2069. [Google Scholar] [CrossRef]
  8. Xiang, D.; Shen, F.; Jiang, X.; Gao, Q.; Zheng, H. Effect of unburned pulverized coal on the melting characteristics and fluidity of blast furnace slag. Crystals 2021, 11, 579. [Google Scholar] [CrossRef]
  9. Gao, Y.M.; Wang, S.B.; Hong, C.; Ma, X.J.; Yang, F. Effects of basicity and MgO content on the viscosity of the SiO2-CaO-MgO-9wt%Al2O3 slag system. Int. J. Miner. Metall. Mater. 2014, 21, 353–362. [Google Scholar] [CrossRef]
  10. Kong, W.G.; Liu, J.H.; Yu, Y.W.; Hou, X.M.; He, Z.J. Effect of w(MgO)/w(Al2O3) ratio and basicity on microstructure and metallurgical properties of blast furnace slag. Steel Res. Int. 2021, 10, 1223–1232. [Google Scholar] [CrossRef]
  11. Yan, Z.; Lv, X.; Zhang, J.; Qin, Y.; Bai, C. Influence of MgO, Al2O3 and CaO/SiO2 on the viscosity of blast furnace type slag with high Al2O3 and 5 wt-% TiO2. Can. Metall. Q. 2016, 55, 160215144748001. [Google Scholar] [CrossRef]
  12. Yao, L.; Ren, S.; Wang, X.; Liu, Q.; Liu, J. Effect of Al2O3, MgO, and CaO/SiO2 on viscosity of high alumina blast furnace slag. Steel Res. Int. 2016, 87, 241–249. [Google Scholar] [CrossRef]
  13. Zhang, X.; Jiang, T.; Xue, X.; Hu, B. Influence of MgO/Al2O3 ratio on viscosity of blast furnace slag with high Al2O3 content. Steel Res. Int. 2016, 87, 87–94. [Google Scholar] [CrossRef]
  14. Yan, Z.; Pang, Z.; Lv, X.W.; Qiu, G.; Bai, C. Physicochemical Properties of High Alumina Blast Furnace Slag. In TMS Annual Meeting & Exhibition; Springer: Cham, Switzerland, 2018; Volume 279-286, pp. 279–286. [Google Scholar] [CrossRef]
  15. Dong, L.; Yan, Z.; Lv, X.; Jie, Z.; Bai, C.B. Transition of blast furnace slag from silicate-based to aluminate-based: Structure evolution by molecular dynamics simulation and raman spectroscopy. Metall. Mater. Trans. B 2016, 48, 1–9. [Google Scholar]
  16. Zhao, J.; Cui, H.; Bao, S.; Tong, W.; Wu, Y.; Dong, H. Theoretical and experimental study on recovery of Platinum group metals by copper trapping method. Chin. J. Nonferrous Met. 2019, 29, 2820–2825. [Google Scholar]
  17. Dong, H.; Zhao, J.; Chen, J.; Wu, Y.; Li, B. Recovery of platinum group metals from spent catalysts: A review. Int. J. Mineral. Processing 2015, 145, 108–113. [Google Scholar] [CrossRef]
  18. Zheng, H.; Ding, Y.; Wen, Q.; Zhao, S.; He, X.; Zhang, S.; Dong, C. Slag design and iron capture mechanism for recovering low-grade Pt, Pd, and Rh from leaching residue of spent auto-exhaust catalysts. Sci. Total Environ. 2022, 802, 149830. [Google Scholar] [CrossRef]
  19. Zhang, T.; Zhang, H.; Dai, S.; Huang, D.; Wang, W. Variation of viscosity and crystallization properties of synthetic ferronickel waste slag with Al2O3 content. Ceram. Int. 2021, 47, 22918–22923. [Google Scholar] [CrossRef]
  20. Biswal, S.S.; Panda, C.; Sahoo, S.; Jena, T.; Panda, K.C. Assessment of factors influencing the elution of chromium from ferrochromium slag using factorial design of experiment. Mater. Today Proc. 2020, 35, 97–101. [Google Scholar] [CrossRef]
  21. Ren, Y.; Ren, Q.; Wu, X.; Zheng, J.; Hai, O. Recycling of solid wastes ferrochromium slag for preparation of eco-friendly high-strength spinel–corundum ceramics. Mater. Chem. Phys. 2019, 239, 122060. [Google Scholar] [CrossRef]
  22. Chenglin, Q.; Jianliang, Z.; Jiugang, S.; Weijia, L.; Zhixing, Z.; Xuesong, Z. Study of boronizing mechanism of high-alumina slag. Steel Res. Int. 2011, 82, 1319–1324. [Google Scholar] [CrossRef]
  23. Shankar, A. Sulphur partition between hot metal and high alumina blast furnace slag. Ironmak. Steelmak. 2006, 33, 413–418. [Google Scholar] [CrossRef]
  24. Khandelwal, D.; Sanapala, V. Measurement of Viscosity of High Alumina Blast Furnace Slags by Statistical Approach. Ph.D. Thesis, National Institute of Technology Rourkela, Odisha, India, 2015. [Google Scholar]
  25. Sunahara, K.; Nakano, K.; Hoshi, M.; Inada, T.; Komatsu, S.; Yamamoto, T. Effect of high Al2O3 slag on the blast furnace operations. Isij Int. 2008, 48, 420–429. [Google Scholar] [CrossRef] [Green Version]
  26. Sun, C.Y.; Liu, X.H.; Li, J.; Yin, X.T.; Song, S.; Wang, Q. Influence of Al2O3 and MgO on the Viscosity and Stability of CaO-MgO-SiO2-Al2O3 Slags with CaO/SiO2 = 1.0. ISIJ Int. 2017, 57, 978–982. [Google Scholar] [CrossRef] [Green Version]
  27. Chen, Y.F.; Lv, X.M.; Pang, Z.D.; Lv, X.W. Effect of basicity and Al2O3 on viscosity of ferronickel smelting slag. J. Iron Steel Res. Int. 2020, 27, 1400–1406. [Google Scholar] [CrossRef]
  28. Tang, X.L.; Zhang, Z.T.; Guo, M.; Zhang, M.; Wang, X.D. Viscosities Behavior of CaO-SiO2-MgO-Al2O3 Slag With Low Mass Ratio of CaO to SiO2 and Wide Range of Al2O3 Content. J. Iron Steel Res. Int. 2011, 18, 1–17. [Google Scholar] [CrossRef]
  29. Zheng, G. Chemical analysis method standards and proficiency testing of laboratory for iron ore. Metall. Anal. 2015, 35, 37–44. [Google Scholar]
  30. China Standardization Administration. GB/T-219-2008; Determination of Fusibility of Coal ash. China Standardization Administration: Beijing, China, 2008.
  31. Ma, J.; Li, W.; Fu, G.; Zhu, M. Effect of Al2O3 on the viscosity and crystallization behavior of CaO-SiO2-MgO-Al2O3-TiO2-Cr2O3 slag. JOM 2021, 74, 159–166. [Google Scholar] [CrossRef]
  32. Zhao, Y.; Zhang, Y.; Bao, S.; Chen, T.; Han, J. Calculation of mineral phase and liquid phase formation temperature during roasting of vanadium-bearing stone coal using FactSage software. Int. J. Mineral. Process. 2013, 124, 150–153. [Google Scholar] [CrossRef]
  33. Bale, C.W.; Belisle, E.; Chartrand, P.; Decterov, S.A.; Eriksson, G.; Gheribi, A.E.; Hack, K.; Jung, I.H.; Kang, Y.B.; Melancon, J.; et al. FactSage thermochemical software and databases, 2010–2016. Calphad-Comput. Coupling Phase Diagr. Thermochem. 2016, 54, 35–53. [Google Scholar] [CrossRef] [Green Version]
  34. Wang, S.; Chen, M.; Guo, Y.F.; Jiang, T.; Zhao, B.J. Comparison of phase equilibria between FactSage predictions and experimental results in titanium oxide-containing system. Calphad-Comput. Coupling Phase Diagr. Thermochem. 2018, 63, 77–81. [Google Scholar] [CrossRef]
  35. Rocha, V.C.d.; Silva, M.L.d.; Bielefeldt, W.V.; Vilela, A.C.F. Assessment of viscosity calculation for calcium-silicate based slags using computational thermodynamics. REM Int. Eng. J. 2018, 71, 243–252. [Google Scholar] [CrossRef]
  36. Eriksson, G.; Konigsberger, E. FactSage and ChemApp: Two tools for the prediction of multiphase chemical equilibria in solutions. Pure Appl. Chem. 2008, 80, 1293–1302. [Google Scholar] [CrossRef] [Green Version]
  37. Jung, I.-H.; Van Ende, M.-A. Computational thermodynamic calculations: FactSage from CALPHAD thermodynamic database to virtual process simulation. Metall. Mater. Trans. B-Process. Metall. Mater. Process. Sci. 2020, 51, 1851–1874. [Google Scholar] [CrossRef]
  38. Kim, H.; Matsuura, H. Effect of Al2O3 and CaO/SiO2 on the viscosity of calcium-silicate–based slags containing 10 mass pct MgO. Metall. Mater. Trans. B 2013, 44, 5–12. [Google Scholar] [CrossRef]
  39. Kim, Y.; Min, D.-J. Viscosity and structural investigation of high-concentration Al2O3 and MgO slag system for FeO reduction in electric arc furnace processing. Metals 2021, 11, 1169. [Google Scholar] [CrossRef]
  40. Shen, X.; Chen, M.; Wang, N.; Wang, D. Viscosity property and melt structure of CaO-MgO-SiO2-Al2O3-FeO slag system. ISIJ Int. 2019, 59, 9–15. [Google Scholar] [CrossRef] [Green Version]
  41. Huang, W.-J.; Zhao, Y.-H.; Yu, S.; Zhang, L.-X.; Ye, Z.-C.; Wang, N.; Chen, M. Viscosity property and structure analysis of FeO-SiO2-V2O3-TiO2-Cr2O3 Slags. ISIJ Int. 2016, 56, 594–601. [Google Scholar] [CrossRef] [Green Version]
  42. Deng, L.; Zhang, X.; Zhang, M.; Jia, X. Effect of CaF2 on viscosity, structure and properties of CaO-Al2O3-MgO-SiO2 slag glass ceramics. J. Non-Cryst. Solids 2018, 500, 310–316. [Google Scholar] [CrossRef]
  43. Li, T.; Sun, C.; Song, S.; Wang, Q. Influences of Al2O3 and TiO2 content on viscosity and structure of CaO–8%MgO–Al2O3–SiO2–TiO2–5%FeO blast furnace primary slag. Metals 2019, 9, 743. [Google Scholar] [CrossRef] [Green Version]
  44. Xu, C.-Y.; Wang, C.; Xu, R.-Z.; Zhang, J.-L.; Jiao, K.-X. Effect of Al2O3 on the viscosity of CaO-SiO2-Al2O3-MgO-Cr2O3 slags. Int. J. Miner. Metall. Mater. 2021, 28, 797–803. [Google Scholar] [CrossRef]
  45. Roscoe, R. The viscosity of suspensions of rigid spheres. Br. J. Appl. Phys 1952, 3, 267. [Google Scholar] [CrossRef]
  46. Zhang, G.H.; Zheng, Y.L.; Chou, K.C. Influence of TiC on the Viscosity of CaO-MgO-Al2O3-SiO2-TiC Suspension System. ISIJ Int. 2015, 55, 922–927. [Google Scholar] [CrossRef] [Green Version]
Figure 1. XRD pattern of blast furnace slag.
Figure 1. XRD pattern of blast furnace slag.
Crystals 12 00851 g001
Figure 2. Schematic diagram of the slag viscosity measurement device.
Figure 2. Schematic diagram of the slag viscosity measurement device.
Crystals 12 00851 g002
Figure 3. Melting characteristic temperature (DT—deformation temperature; ST—spherical temperature; HT—hemispherical temperature; FT—flowing temperature).
Figure 3. Melting characteristic temperature (DT—deformation temperature; ST—spherical temperature; HT—hemispherical temperature; FT—flowing temperature).
Crystals 12 00851 g003
Figure 4. Phase diagram of CaO-SiO2-Al2O3-11.13wt%MgO calculated by 8.0.
Figure 4. Phase diagram of CaO-SiO2-Al2O3-11.13wt%MgO calculated by 8.0.
Crystals 12 00851 g004
Figure 5. Equilibrium phase compositions of the high-alumina slags at various temperatures. (a) B = 0.8, (b) B = 0.9, (c) B = 1.0, (d)B = 1.1, (e) B = 0.9, Al2O3 = 35 wt%, (f) B = 0.9, Al2O3 = 40 wt%, (g) B = 1.1, Al2O3 = 40 wt%, and (h) the liquidus temperatures and complete solidification temperatures.
Figure 5. Equilibrium phase compositions of the high-alumina slags at various temperatures. (a) B = 0.8, (b) B = 0.9, (c) B = 1.0, (d)B = 1.1, (e) B = 0.9, Al2O3 = 35 wt%, (f) B = 0.9, Al2O3 = 40 wt%, (g) B = 1.1, Al2O3 = 40 wt%, and (h) the liquidus temperatures and complete solidification temperatures.
Crystals 12 00851 g005
Figure 6. Effects of the slag basicity on the melting temperature of high-alumina slag (Al2O3 = 27.61 wt%; MgO = 11.13 wt%).
Figure 6. Effects of the slag basicity on the melting temperature of high-alumina slag (Al2O3 = 27.61 wt%; MgO = 11.13 wt%).
Crystals 12 00851 g006
Figure 7. Effects of the Al2O3 content on the melting temperature of high-alumina slag. (B = 0.9, Al2O3 = 27.61 wt%).
Figure 7. Effects of the Al2O3 content on the melting temperature of high-alumina slag. (B = 0.9, Al2O3 = 27.61 wt%).
Crystals 12 00851 g007
Figure 8. Effects of temperature on the viscosity of slag with different basicity (Al2O3 = 27.61 wt%; MgO = 11.13 wt%).
Figure 8. Effects of temperature on the viscosity of slag with different basicity (Al2O3 = 27.61 wt%; MgO = 11.13 wt%).
Crystals 12 00851 g008
Figure 9. Effects of temperature on the viscosity of slag with different Al2O3 content (B = 0.9; MgO = 11.13 wt%).
Figure 9. Effects of temperature on the viscosity of slag with different Al2O3 content (B = 0.9; MgO = 11.13 wt%).
Crystals 12 00851 g009
Figure 10. Effects of basicity (a) and Al2O3 content (b) on the viscosity of the CaO-SiO2-MgO-Al2O3 slags.
Figure 10. Effects of basicity (a) and Al2O3 content (b) on the viscosity of the CaO-SiO2-MgO-Al2O3 slags.
Crystals 12 00851 g010
Figure 11. Comparisons of the effects of basicity (a) and Al2O3 content (b) on the viscosity of the CaO-SiO2-MgO-Al2O3 slags at 1500 °C [9,12,38].
Figure 11. Comparisons of the effects of basicity (a) and Al2O3 content (b) on the viscosity of the CaO-SiO2-MgO-Al2O3 slags at 1500 °C [9,12,38].
Crystals 12 00851 g011
Figure 12. FT–IR transmittance spectra of CaO–SiO2–MgO–Al2O3 slag with different basicity values.
Figure 12. FT–IR transmittance spectra of CaO–SiO2–MgO–Al2O3 slag with different basicity values.
Crystals 12 00851 g012
Figure 13. Variation of the main phases (liquid phase and solid phase) for high-alumina slag with different basicity and Al2O3 content at 1500 °C (FeO = 1.63%; MnO = 1.36%; TiO2 = 0.58%; P (O2) = 1.0 × 10−16 atm).
Figure 13. Variation of the main phases (liquid phase and solid phase) for high-alumina slag with different basicity and Al2O3 content at 1500 °C (FeO = 1.63%; MnO = 1.36%; TiO2 = 0.58%; P (O2) = 1.0 × 10−16 atm).
Crystals 12 00851 g013
Figure 14. XRD patterns of the slowly cooled slag with different basicity (S-Spinel (MgAl2O4); A-Åkermanite (Ca2MgSi2O7)).
Figure 14. XRD patterns of the slowly cooled slag with different basicity (S-Spinel (MgAl2O4); A-Åkermanite (Ca2MgSi2O7)).
Crystals 12 00851 g014
Figure 15. XRD patterns of the slowly cooled slag with different Al2O3 content and basicity (S-Spinel (MgAl2O4); A-Åkermanite (Ca2MgSi2O7)).
Figure 15. XRD patterns of the slowly cooled slag with different Al2O3 content and basicity (S-Spinel (MgAl2O4); A-Åkermanite (Ca2MgSi2O7)).
Crystals 12 00851 g015
Figure 16. The effects of basicity and Al2O3 content on the microstructure of high-alumina slag. (a) B = 0.8, (b) B = 0.9, (c) B = 1.0, (d) B = 1.1, (e) B = 0.9, Al2O3 = 35 wt%, (f) B = 0.9, Al2O3 = 40 wt%, (g) B = 1.1, Al2O3 = 40 wt%, and (h) proportion of solid phase in high-alumina slag (determined by Image J software).
Figure 16. The effects of basicity and Al2O3 content on the microstructure of high-alumina slag. (a) B = 0.8, (b) B = 0.9, (c) B = 1.0, (d) B = 1.1, (e) B = 0.9, Al2O3 = 35 wt%, (f) B = 0.9, Al2O3 = 40 wt%, (g) B = 1.1, Al2O3 = 40 wt%, and (h) proportion of solid phase in high-alumina slag (determined by Image J software).
Crystals 12 00851 g016
Table 1. Chemical composition of blast furnace slag (mass fraction, %).
Table 1. Chemical composition of blast furnace slag (mass fraction, %).
SiO2CaOAl2O3MgOFeOTFeMnOSTiO2Cr2O3MFe
27.924.9023.89.591.631.401.360.970.580.570.13
Table 2. Design of composition of high-alumina slag (mass fraction, %).
Table 2. Design of composition of high-alumina slag (mass fraction, %).
No.Slag CompositionBinary Basicity
(B = CaO/SiO2)
CaOSiO2MgOAl2O3
1#27.2334.0311.1327.610.8
2#29.0232.2411.1327.610.9
3#30.6330.6311.1327.611.0
4#32.0929.1711.1327.611.1
5#25.5228.3511.1335.000.9
6#23.1525.7211.1340.000.9
7#25.6023.2711.1340.001.1
Publisher’s Note: MDPI stays neutral with regard to jurisdictional claims in published maps and institutional affiliations.

Share and Cite

MDPI and ACS Style

Wang, S.; Jiang, Y.; Guo, Y.; Yang, Z.; Chen, F.; Yang, L.; Li, G. Effects of Basicity and Al2O3 Content on Viscosity and Crystallization Behavior of Super-High-Alumina Slag. Crystals 2022, 12, 851. https://doi.org/10.3390/cryst12060851

AMA Style

Wang S, Jiang Y, Guo Y, Yang Z, Chen F, Yang L, Li G. Effects of Basicity and Al2O3 Content on Viscosity and Crystallization Behavior of Super-High-Alumina Slag. Crystals. 2022; 12(6):851. https://doi.org/10.3390/cryst12060851

Chicago/Turabian Style

Wang, Shuai, Ying Jiang, Yufeng Guo, Zhuang Yang, Feng Chen, Lingzhi Yang, and Guang Li. 2022. "Effects of Basicity and Al2O3 Content on Viscosity and Crystallization Behavior of Super-High-Alumina Slag" Crystals 12, no. 6: 851. https://doi.org/10.3390/cryst12060851

APA Style

Wang, S., Jiang, Y., Guo, Y., Yang, Z., Chen, F., Yang, L., & Li, G. (2022). Effects of Basicity and Al2O3 Content on Viscosity and Crystallization Behavior of Super-High-Alumina Slag. Crystals, 12(6), 851. https://doi.org/10.3390/cryst12060851

Note that from the first issue of 2016, this journal uses article numbers instead of page numbers. See further details here.

Article Metrics

Back to TopTop