Abstract
The study on the hydration process of cement-based materials is of significance since it determines the development of the macro-properties. The hydration process of high-volume fly ash (FA)-cement based materials is quite special and needs systematic study. In this study, the hydration heat release of cement paste with high volume FA were measured with isothermal calorimetry at different temperatures. The full-width at half-maximum (FWHM) value of the exothermic peak and the cementitious index (CMI) of FA were used comprehensively to evaluate the influence of FA on cement hydration. It was found that increasing the FA content and water-binder ratio retarded the hydration process for paste but did not show obvious effects on the hydration of cement. The CMI values show that raising the temperature intensified the retarding effect of FA on cement hydration during the induction period, but promoted the subsequent hydration process. According to the normalized heat release to cement, and the change of CMI values with temperature, new evidence was found that FA may not act as nucleation sites during the hydration process of cement. The result can be better explained by the topochemical reaction mechanism.
1. Introduction
Cement is widely used in construction projects. However, due to the shortage of raw materials and environmental protection requirements, more and more supplementary cementitious materials are used to partially replace cement in concrete. Since the properties and activities of these supplementary cementitious materials are different from cement, they will cause changes in the setting time and compressive strength of concrete. In general, the hydration process of cement-based materials is closely related to the setting time and compressive strength of concrete [1,2,3]. Based on the above reasons, studying the hydration process of cement-based materials containing supplementary cementitious materials, and understanding their hydration mechanism, can provide theoretical support for the design and performance control of cement-based materials.
Fly ash (FA) is widely used as a supplementary cementitious material in concrete. Substituting it for part of cement can not only effectively reduce the cost of raw materials, but also improve the durability and workability of concrete [4,5,6]. There is no consensus on the effect of FA on cement hydration. Some researchers believe that the nucleation effect of FA accelerates cement hydration. It can be explained as the FA acting as nucleation sites for the C–S–H gel, accelerating the hydration reaction [7,8]. On the contrary, other studies have shown that FA can delay the hydration process of cement, which may be related to the reduction of cement particles and the lower activity of FA [8,9]. Some researchers have found that FA-cement-based materials can achieve comparable later age strengths, due to the slower pozzolanic reaction of FA compared to the cement hydration [10,11]. In general, FA can exert a dilution effect, physical effects and chemical effects in the process of cement hydration, but the effects of FA in the early and late age are not the same [12]. As mentioned above, more and more FA is added into cement-based materials for the purpose of environmental protection, especially to reduce CO2 emissions. Traditionally, for the concrete used in building structures, the FA content is normally 25% or less of the cement weight. For an FA content of 25% or more, especially in the high-volume FA-cement system, further research on the hydration behavior is still needed [13].
It was found that when FA was mixed into cement-based materials, the hydration exothermic value of the blended cement-based materials was reduced, and the early hydration was retarded. However, the hydration can be accelerated in the later ages, and the higher the FA content is, the more obvious the effect is [14,15,16]. For cement particles, some researchers have found that when FA was added, the rate of early hydration of cement increased [7,8]. At different temperatures, the effect of FA on the hydration process of cement-based materials is not the same. Narmluk [8] found that at 20 °C and 35 °C, FA retarded the cement hydration at early ages and accelerated the cement hydration at late ages. However, at a high temperature of 50 °C, the FA retarded the cement hydration at later ages when high contents of FA were used. Escalante [15] found that in a paste with water-binder ratio of 0.50, FA accelerated the hydration of cement at low temperatures (10–30 °C), but showed a retarding effect at high temperature (60 °C). These studies have not specifically analyzed and explained the effect of temperature on the hydration process of FA-cement-based materials.
The hydration heat and heat flow peak of cement-based material with FA can be measured with isothermal calorimetry, which can reflect the early hydration behavior of blended cement-based materials. It was found that the replacement of cement by FA results in a reduction of the hydration exothermic peak value, compared to pure cement [17]. For cement-based materials with an FA content of more than 20%, the cumulative heat release in the first 20 h was reduced [16,17,18,19]. Regarding the processing of isothermal calorimetry data, especially for blended cement-based materials mixed with supplementary cementitious materials, many studies have not analyzed and discussed the difference in heat flow and cumulative heat curves obtained with different normalization methods. In addition, the heat flow curve obtained by isothermal calorimetry can only qualitatively describe the influence of different admixtures on the hydration process, and lacks quantitative description of the hydration process. Therefore, it is necessary to find parameters or methods that can comprehensively evaluate and analyze the hydration process. Some researchers have proposed using the cementitious index (CMI) value and full width at half maximum (FWHM) value to reflect the effect of nano-particles or mineral admixtures on cement hydration [7,20], but the quantitative effect of high-volume FA on cement hydration is rarely mentioned.
In order to better understand the hydration process of FA-cement paste, especially the hydration process of high-volume FA-cement paste at different temperatures, the hydration process of FA-cement paste under different FA contents, water-binder ratios and temperatures were systematically tested. The isothermal calorimetry test was used to measure the hydration heat release of cement paste with 0%, and 30% to 70% FA. The water-binder ratio was set at 0.4, 0.5 and 0.6, and the temperature was set at 10 °C, 20 °C and 35 °C. The heat flow and cumulative heat were normalized to paste weight and cement weight, respectively, for comparative analysis. The FWHM value of the exothermic peak and the CMI value of the mineral admixtures were used to analyze the influence of FA on cement hydration heat release. Finally, the hydration mechanism of cement-based materials with FA was discussed, based on the data of hydration heat.
2. Experimental Program
2.1. Materials
The cement used in the experiment was P·I 42.5, in accordance with Chinese GB 175-2007 with a specific surface area of 355 m2/kg. The specific surface area of FA was 434 m2/kg (BET method). Table 1 shows the main chemical compositions of the cement and FA. The X-ray diffraction patterns of the powders are shown in Figure 1. It can be found from Figure 1 that the main phases in cement include C3S, C2S, C3A, Calcite, etc., and the main phases in FA are Quartz, CH, Mullite, etc. The particle size distribution of the cement and the FA are shown in Figure 2. The measured D50 of the cement and the FA were about 16.6 μm and 32.9 μm, respectively.
Table 1.
Chemical compositions of cement and FA/%.
Figure 1.
XRD pattern of raw materials.
Figure 2.
Particle size distribution curves of raw materials.
2.2. Experimental Method and Mix Proportions
The hydration heat release was recorded by a TAM AIR eight-channel isothermal calorimeter. Each channel contains two chambers, one containing distilled water and the other containing cement paste. According to the mix proportions of binder in Table 2, we stirred 50 g paste in advance, then extracted a 5 g sample into an ampoule bottle with a syringe. After sealing, we transferred the ampoule bottle to the equipment immediately for testing. The isothermal calorimetry tests were carried out at 10 °C, 20 °C and 35 °C, and the heat release data were continuously recorded till 72 h.
Table 2.
Mix proportions of binder.
3. Experimental Results
3.1. The Exothermic Behavior of FA-Cement Paste
Figure 3 and Figure 4 show the heat flow curves and cumulative heat curves of paste at different temperatures, different FA contents, and different water-binder ratios. The hydration heat was normalized to weight of the FA-cement paste.
Figure 3.
Heat flow of cement pastes at different temperatures. (a) heat flow of the cement paste at 10 °C; (b) heat flow of the cement paste at 20 °C; (c) heat flow of the cement paste at 35 °C.

Figure 4.
Cumulative heat release of cement pastes at different temperatures. (a) cumulative heat release of the cement paste at 10 °C; (b) cumulative heat release of cement paste at 20 °C; (c) cumulative heat release of cement paste at 35 °C.
Generally, the early hydration process of cement-based material can be divided into five periods, i.e., evolution period, induction period, acceleration period, deceleration period and steady period [21,22,23]. It can be seen from Figure 3 that the addition of FA reduces the rate of hydration heat release of the paste, and the end time of the induction period is also delayed. With the increase of FA content, the effect of this extension becomes more obvious. It can be seen from Figure 4 that the addition of FA significantly reduced the cumulative heat release of the paste, and the greater the amount, the more obvious the reduction effect. At 20 °C, the cumulative heat release of the cement paste with a water-binder ratio at 0.4 was 151.0 J/g at 72 h. When FA replaced 30% and 60% of the cement, the cumulative heat release of the paste became 123.3 J/g and 84.8 J/g at the same time, reducing by 18.3% and 43.8%, respectively.
Figure 5 shows the end time of the induction period, the duration of the acceleration period and the arrival times of exothermic peaks of the pastes with different proportions. When the temperature rose, the early-age hydration rate of the pastes accelerated, and the end time of the induction period and the arrival times of the exothermic peaks obviously shortened. At 35 °C, the cumulative heat of the cement paste with 70% and 40% FA content were close to that of cement paste with 60% and 30% FA content at the later period of hydration. This might have been because the glass network structure of FA is more easily destroyed at high temperatures, and SiO44− is easier to depolymerize, which enhances the activity of FA and accelerates the activity of pozzolans. Therefore, the accumulated heat release increases.
Figure 5.
Time variables at different temperatures. (a) end time of induction period; (b) duration of acceleration period; (c) arrival time of exothermic peak.
The increase of water-binder ratio did not promote the hydration of FA-cement paste. As shown in Figure 3 and Figure 4, the hydration rate and hydration heat of the paste decreased with the increase of water-binder ratio at three temperatures. At 10 °C, when the water-binder ratio of the cement paste with 30% FA content increased from 0.4 to 0.6, the accumulated heat release of the paste for 72 h dropped from 104.4 J/g to 90.9 J/g, with a decrease of 12.9%. When the temperature rose to 35 °C, the cumulative heat release dropped from 141.4 J/g to 136.1 J/g, with a decrease of 3.7%, indicating that the change of water-binder ratio had a greater impact on the hydration heat at low temperatures.
3.2. The Effect of FA on the Early-Age Hydration Process of Cement
Some researchers [16,24,25] found that in blended cement-based materials containing FA, no matter what the glass content and composition of FA were, the early reaction of FA at room temperature (25 °C) was almost non-existent, and the reaction of FA was only observed after the age of 7 days. Through the BSE method, Han et al. [16] found that at 25 °C, FA reaction degree in the cement paste with 35% FA was 1.56%, while the cement reaction degree was 53.88% at 3 days. Although increasing the temperature will promote the pozzolanic reaction of FA in blended cement-based materials, the hydration heat of FA is still at a low level before the age of 3 days [16]. So, it can be assumed that the cement hydration contributes to all the heat release of FA-cement paste at the early ages. Hence, the heat release could be normalized to the unit cement mass to study the effect of FA on the hydration process of cement particles.
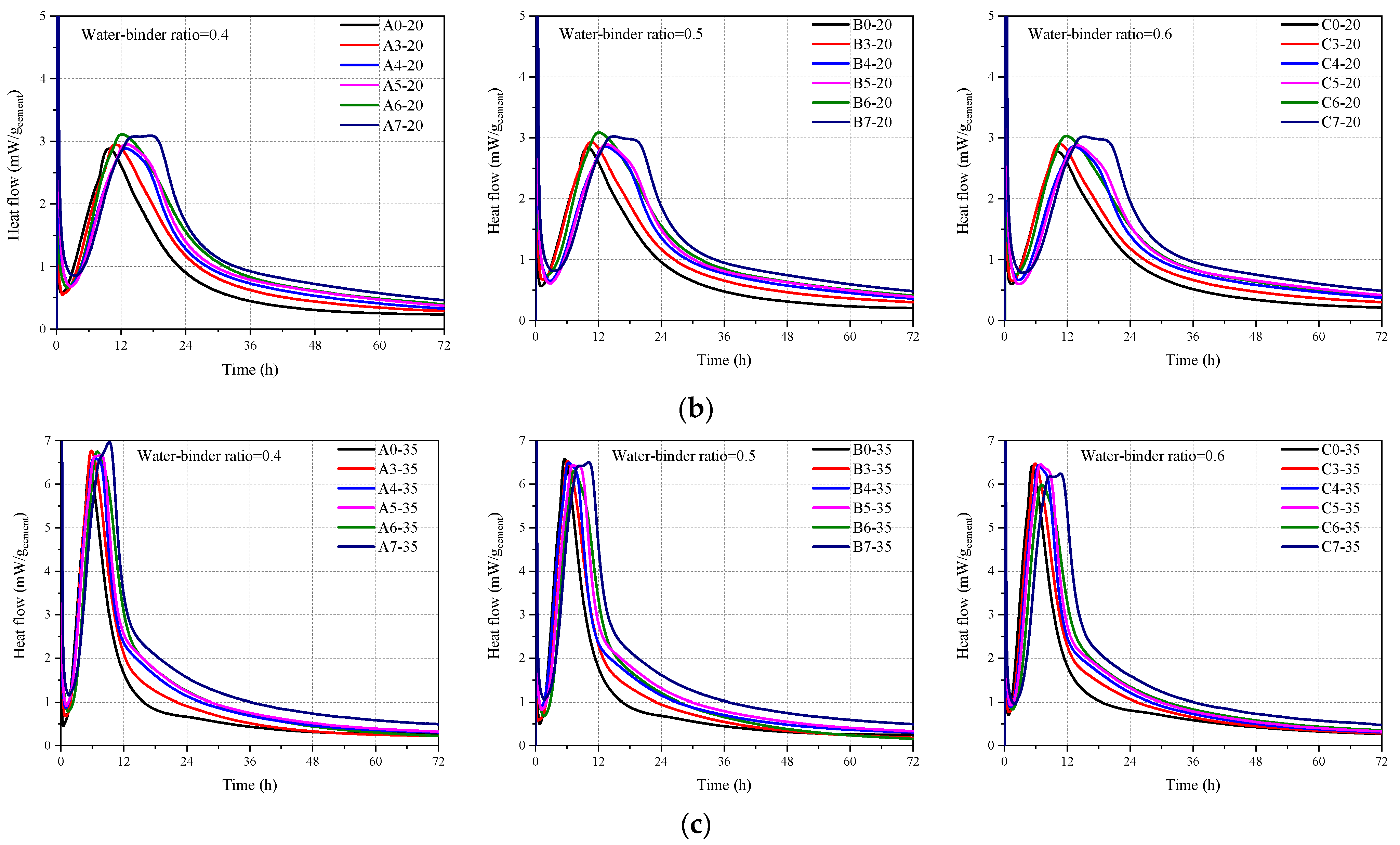
The heat flow and cumulative heat which were normalized to mass of cement are shown in Figure 6 and Figure 7. With the increase of FA content, the exothermic peak value of cement hydration in blended cement paste was higher than for pure cement paste. The maximum heat flow peak occurring time was delayed, and the accumulated exothermic value also increased with an increase of FA content. Similar to the normalization to paste, when the water-binder ratio increases, the peak heat flow of cement hydration decreases, and the hydration process is accelerated with an increase of temperature.

Figure 6.
Heat flow of the paste at different temperatures (normalized to cement). (a) heat flow of the paste at 10 °C; (b) heat flow of the paste at 20 °C; (c) heat flow of the paste at 35 °C.

Figure 7.
Cumulative heat release of the paste at different temperatures (normalized to cement). (a) cumulative heat release of the paste at 10 °C; (b) cumulative heat release of the paste at 20 °C; (c) cumulative heat release of the paste at 35 °C.
When the heat flow and accumulated heat are normalized to the paste, the change in the heat release of the paste after replacing the cement with FA is obvious. However, this method takes the paste as a whole and cannot analyze the influence of FA on the hydration process of cement. Normalizing the test results to the unit mass of cement in the paste can more clearly reflect the hydration process of the cement. Furthermore, the effect of FA on cement can be analyzed.
3.3. CMI Values of FA
The cumulative heat release of mineral admixtures in cement-based materials can be determined by Equation (1) [20].
where CMI is the cementitious index of FA, Qb (J/g) is cumulative heat normalized to paste mass, Qc (J/g) is cumulative heat normalized to cement mass, and fm is replacement ratio of cement by FA in paste.
CMI = Qb − Qc(1 − fm)
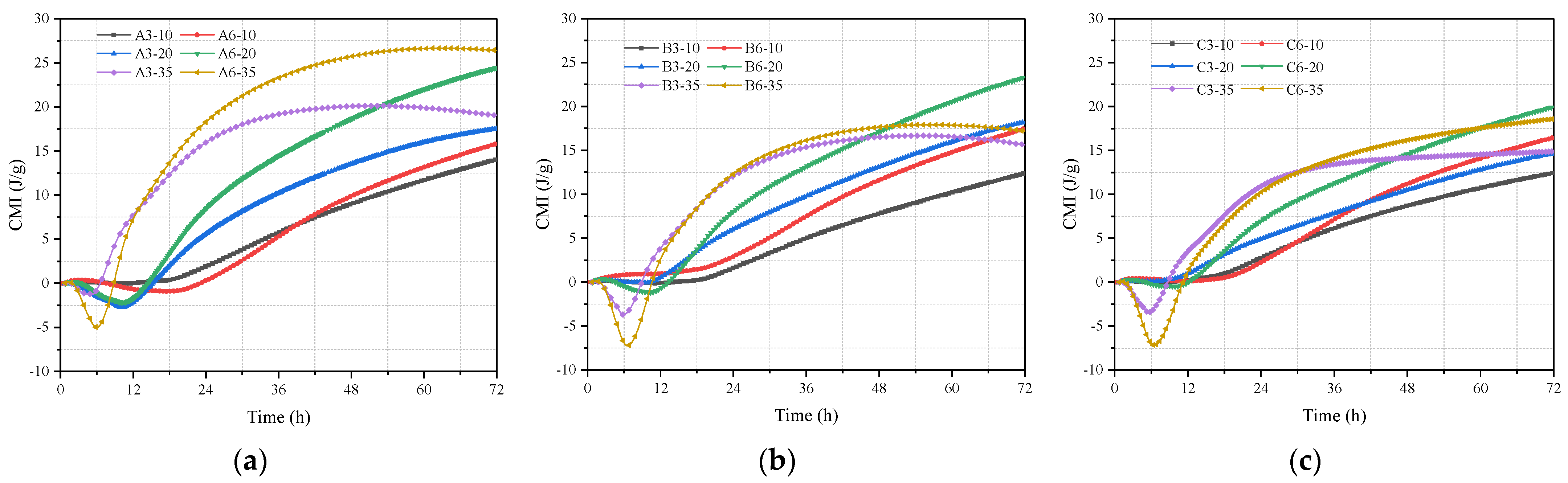
Since FA did not react before the age of 3 d, the CMI values of FA actually reflect the effect of FA on the heat release of cement hydration. The calculated CMI values of FA are shown in Figure 8.
Figure 8.
CMI values of FA at different water-binder ratios. (a) CMI values of FA at water-binder ratio of 0.4; (b) CMI values of FA at water-binder ratio of 0.5; (c) CMI values of FA at water-binder ratio of 0.6.
CMI is negative in the induction period, which indicates that the heat release of the FA-cement paste was less than pure cement paste. This effect was more pronounced when the content of FA increased from 30% to 60%. Yin et al. [26] suggested that FA made the distance between cement particles large, resulting in a greater repulsive force between particles than the van der Waals force. Therefore, more time was needed to form the flocculation structure. When FA replaces more cement particles, i.e., when there are fewer cement particles, it will result in a decrease in the hydration rate and a decrease in the amount of hydration products.
It was interesting to find that during the induction period, raising the temperature accelerated decrease of the CMI values. It shows that when the temperature rises, FA has a retarding, rather than a promoting, effect on cement hydration. For instance, for the paste with a water-binder ratio at 0.4 and FA content at 60%, when the temperature was at 10 °C, the time for CMI to reach the minimum value (−0.91 J/g) was about 17.5 h. When the temperature rose to 20 °C and 35 °C, the times for the minimum CMI values to be reached (−2.15 J/g and −5.01 J/g) were advanced to 10.3 h and 6.0 h, respectively. The absolute value of CMI also increased with raising of the temperature, which indicated that the temperature increase intensified the retarding effect of FA on cement hydration. Escalante-García et al. [27,28] thought the denser hydration products produced at elevated temperatures around unhydrated cement particles are detrimental to further cement hydration in the later period, which offsets the contribution resulting from increasing temperature.
During the deceleration period, the CMI values gradually became positive, which indicated that the heat release of the paste with FA increased gradually and was greater than pure cement paste. The CMI values of FA improved faster after the minus peak time at higher temperature. The high temperature enhanced the hydration, but the effective period was limited to the early age (e.g., 72 h), depending on the water-binder ratio and FA content. The increase in FA content also had a significant impact on the CMI values. In the very early hydration stages, when the FA content increased to 60%, the retarding effect was more significant, especially at 35 °C.
The water-binder ratio also had an impact on CMI values, but the effect was different in the early and late hydration stages. In the early stage of hydration, the CMI values were negative values. At lower temperatures, the CMI values decreased with the increase of the water-binder ratio, but at higher temperatures, the absolute CMI values were proportional to the water-binder ratio. In the later stage of hydration, the CMI values of the higher water-binder ratio cement paste were smaller than the CMI values of FA in the lower water-binder ratio cement paste. Generally, at 10 °C and 20 °C, the higher water-binder ratio attenuated both the retarding effect of FA at very early age and the acceleration effect of FA at relatively late age. However, at 35 °C, the higher water-binder ratio enhanced the retarding effect of FA on very early age cement hydration. The underlying mechanism needs further investigation.
3.4. FWHM Analysis
Wu et al. [7] used full width at half maximum (FWHM) value for the analysis of isothermal calorimetry results of blended cement pastes. As shown in Figure 9, the heat flow curve of A0 at 20 °C was taken as an example. According to the method proposed by Wu et al. [7,29], by subtracting the maximum heat flow value and the minimum heat flow value, the Y0 value is obtained. The width of the heat flow curve at half Y0 is the FWHM value. Generally, the heat flow curve obtained by isothermal calorimetry can only qualitatively describe the influence of different admixtures on the hydration process. The FWHM value can comprehensively and quantitatively analyze the hydration process of cement-based materials.
Figure 9.
Calculation principle of FWHM value.
The FWHM value and exothermic peak value obtained by two different normalization methods are shown in Figure 10 and Figure 11. It is interesting that for the heat flow curves normalized to cement paste and cement, the obtained FWHM values were the same. The incorporation of FA made the shape of the heat flow curve wider. Figure 10 and Figure 11 show that under different temperatures and different water-binder ratios, the FWHM value of cement paste with FA was greater than pure cement paste. When the FA content increased, the FWHM value obviously improved. At the same temperature and FA content, the FWHM value decreased slightly with the increase of the water-binder ratio. As the temperature increased, the hydration reaction progressed faster, so the FWHM value decreased.

Figure 10.
FWHM and exothermic peak values at different temperatures (normalized to paste). (a) FWHM and exothermic peak values at 10 °C; (b) FWHM and exothermic peak values at 20 °C; (c) FWHM and exothermic peak values at 35 °C.

Figure 11.
FWHM and exothermic peak values at different temperatures (normalized to cement). (a) FWHM and exothermic peak values at 10 °C; (b) FWHM and exothermic peak values at 20 °C; (c) FWHM and exothermic peak values at 35 °C.
According to the results of the Figure 10 and Figure 11, it can be found that the peak heat flow of the FA-cement paste decreased with the increase of FA content and water-binder ratio, but the increase of temperature could increase the peak heat flow. Differently to the FA-cement paste, it can be seen in the heat flow curve that temperature, FA content and water-binder ratio were proportional to the peak heat flow of cement. The increase of temperature, FA content and water-binder ratio all led to an increase in the peak heat flow. Analysis of the relationship between the FWHM values and the peak heat flow under the two normalization methods showed completely different results. Although the FWHM values were constant at different temperatures, with the change of FA content and water-binder ratio, the change of FWHM values was consistent with the change of heat flow peak normalized to cement. In contrast, the peak value of heat flow from normalization to paste showed the completely opposite trend.
Wu et al. [7] attributed the difference of the curve to the filling effect of the supplementary cementitious materials. This effect changes the shape of the heat flow curve during the deceleration period, which leads to higher FWHM values to the exothermic peak. In fact, the FWHM values also reflect the comprehensive effect of FA on the acceleration period and peak heat flow of cement hydration.
Wang et al. [12] proposed that the effects of FA on cement hydration include a dilution effect, early physical effects and chemical effects. The dilution effect is mainly due to the addition of FA, which increases the effective water-cement ratio [30]. Narmluk et al. [8] found that the degree of cement hydration increased with the increase in the replacement rate of FA, and was more pronounced at high FA content. The physical effect of FA on cement hydration is reflected in the early retarding of hydration and the provision of nucleation sites. The surface of FA adsorbs a large amount of Ca2+, so that the decrease of Ca2+ concentration in the solution leads to the retarded nucleation of Ca(OH)2 (CH) and generates C–S–H gels with a low Ca/Si ratio [9]. Due to the instability of C–S–H gels with a low Ca/Si ratio, they transforms into stable C–S–H gels at a slow rate, which prolongs the end of the induction period (Figure 5a) and hinders cement hydration [8]. The nucleation effect is the opposite of this retarding effect. By providing additional nucleation sites for the hydration products [12], the cement pastes mixed with FA will show a higher hydration rate. Besides this, FA mainly participates in the hydration process of cement through two chemical reactions, including the consumption of CH crystals through the pozzolanic reaction, and the consumption of water by FA (C-type) in the hydration reaction [12]. However, at the early age, both of these chemical reactions are extremely weak.
The FWHM values are calculated from the exothermic peak, which includes the acceleration period and the deceleration period. For the accelerated period of hydration, dilution and the physical effect are dominant. Due to these two effects, cement hydration is promoted, and the peak heat flow is increased. In this period, due to the low activity of FA, the chemical action at the initial stage of acceleration does not show a significant effect. During the deceleration period, due to the large amount of hydration products filling the pores, the CMI of FA shows a gentle or even downward trend in the later stage of hydration (Figure 8). The FWHM value reflects the comprehensive effect of FA on the acceleration period, deceleration period and peak hydration heat flow of cement, which is a comprehensive method for evaluating and analyzing the influence of FA on the hydration kinetics of FA-blended cement paste.
4. Discussion on Hydration Mechanism
There are two main mechanisms for cement hydration: one is the topochemical reaction mechanism, and the other is the through-solution mechanism. At present, the mechanism of cement hydration has not yet reached a unified understanding [3,31,32,33]. The topochemical reaction mechanism proposed that C–S–H gels will be generated and covered on the surface of cement clinker [34], while the through-solution mechanism suggests that the C–S–H gels will form through nucleation in the solution, after dissolution of cement particles [35]. Despite new experimental data, the situation has not changed much, with both theories having their partisans choosing essentially to highlight their most apposite arguments. In order to have a further understanding of the hydration process of cement-based materials with FA, the hydration mechanism is discussed from three periods (induction period, acceleration period and deceleration period).
4.1. Induction Period
When FA and cement are mixed with water, the cement particles dissolve rapidly and release various ions in the water. Gartner et al. [32] believed that the supersaturation of C–S–H gels and CH in the pore solution was essential for their growth. As mentioned above, the surface of FA adsorbs a large amount of Ca2+, which reduces the concentration of Ca2+, and the C–S–H gels with a low Ca/Si ratio turn into stable C–S–H gels at a slow rate [8]. Since it takes more time to reach the critical concentration of C–S–H gels and CH, the end of the induction period is extended (Figure 5a). At this time, the CMI values of FA showed a negative value (Figure 8), which indicate FA reduced the hydration heat release of cement in the period.
4.2. Acceleration Period
In previous studies, it was generally believed that the nucleation effect of FA can provide additional nucleation sites for hydration products [36], so that cement has a higher hydration rate. Therefore, for cement paste mixed with FA, the cement particles should have a faster hydration rate under the action of the dilution effect and the nucleation effect. The slope of the heat flow curve during the acceleration period indicates the rate of hydration of the cement particles. From the normalized heat flow curve of cement in Figure 6, in the acceleration period, the slope of the heat flow curve of cement paste mixed with FA was not significantly different from that of pure cement paste. Table 3 shows the slope of paste heat flow curve in the acceleration period at different temperatures. It can be found from the table that even with the addition of high-volume FA, the slope of the heat flow curve did not increase significantly, and only the time of arrival of the exothermic peak was delayed. It shows that the addition of FA did not accelerate the hydration of cement particles.
Table 3.
Slope of paste heat flow curve in the acceleration period at different temperatures.
In addition, after increasing the temperature, the cement hydration reaction should become more intense, so it would produce a higher heat release. However, it was found from Figure 8 that the absolute value of the CMI was greater after the temperature increased, which indicates that the hydration heat of the cement paste mixed with FA was smaller at this time, and the retarding effect of FA on cement hydration was stronger at this time. In fact, He et al. [37] observed the microscopic morphology of the surface of cement paste mixed with FA by SEM for 3 days and found that almost no C–S–H gels were found on the surface of FA at 20 °C. In the process of cement hydration, FA or other particles may not have the nucleation effect of C–S–H gels formation [37,38]. There is a contradiction between the experimental phenomena and the through-solution mechanism.
The hydration theory based on topochemical reaction, rather than through-solution mechanism, seems to be able to explain this process [39,40]. After the hydration of C3S and other components in cement particles, a semi-permeable gel layer is formed. When the water molecules diffuse into the gel layer, the gel layer ruptures and the hydration begins to accelerate as a result of the stress and chemical gradient [33]. Due to the reduction in cement weight, the hydration stress and chemical gradient are small. For cement paste with large volume FA, the start of the acceleration period is delayed. When FA replaces cement in a large volume, FA can play a diluting effect and increase the effective water-binder ratio. Therefore, the hydration degree of cement is increased, and the exothermic peak generated is also increased (Figure 6). Considering the FA cannot serve as nucleation sites for C–S–H gels, the hydration rate of cement does not increase, and the slope of the heat flow curve marginally changes during the acceleration period. Due to the delay in the start of the acceleration period, the arrival time of the exothermic peak is also delayed.
The chemical reaction and diffusion process are sensitive to temperature [8]. At higher temperatures, the ability of ion migration is enhanced, resulting in the acceleration of hydration reaction (Figure 6), as well as the rapid consumption of water in the system. Similarly, the increase in temperature shortens the induction period time and can be analyzed by the topochemical reaction theory [41]. As the temperature rises, the denser hydration products are formed earlier around the unhydrated cement particles [27,28], which has a more obvious hindering effect on cement hydration. Therefore, increasing temperature accelerates the decrease of CMI value, and the absolute value of CMI also increases with increasing temperature (Figure 8). At the same time, high temperature promotes hydration products to overcome their dissolution energy barrier [41], and once a critical point is reached, the acceleration phase will appear rapidly.
As the mechanisms of cement hydration are still controversial, some researchers believe that the hydration of mineral admixtures is also a topochemical reaction [31,39,40]. Therefore, further experiments are needed to verify the correctness of the mechanism.
4.3. Deceleration Period
With the extension of hydration time, the hydration products on the surface of cement or C3S reach a certain thickness, and the diffusion rate of water molecules to the interior decreases. The hydration product continuously fills in the space previously occupied by water due to osmotic expansion. Meanwhile, it also fills the pores between the particles. In the end, a dense solid is formed. In the later stage of the hydration reaction, it is mainly water molecules and anions/cations that diffuse inward through the hydration product layer and control the hydration reaction [42]. Since the early hydration of FA is inert, the hydration products of cement paste with FA are less than that of pure cement paste at the same time. Therefore, cement paste with FA has more structural space, less resistance to the diffusion process and easy diffusion of water in C–S–H gels. Considering that the cement paste with 60% FA has fewer cement particles, it may cause a weaker ion diffusion process.
5. Conclusions
In this study, the heat release of high-volume FA-cement paste at different temperatures, water-binder ratios and FA contents was tested comprehensively. From the normalized heat flow curve of cement paste and the change of CMI values with temperature, new evidence was found that FA cannot act as a nucleation site during the hydration process of cement. The conclusions obtained from the experiments are as follows:
(1) For cement paste with FA, increasing the content of FA and the water-binder ratio will retard the hydration process of FA-cement paste and reduce the cumulative heat release.
(2) For the cement particles in the paste, the increase of FA content raises the cement hydration exothermic peak, delays the arrival times of exothermic peak and increases the cumulative heat release, but there is no obvious acceleration effect on the cement hydration rate. Increasing the water-binder ratio reduces the exothermic peak.
(3) As the temperature increases, the hydration reaction proceeds faster. The absolute values of CMI also increase with increasing temperature, which indicates that the temperature increase intensifies the retarding effect of FA on cement hydration.
(4) FWHM values and CMI values can comprehensively evaluate the influence of FA on cement hydration. The results of heat normalization to cement and the increase in CMI values with increasing temperature show that FA may not act as the nucleation sites for hydration products. The results can be better explained by the topochemical reaction mechanism.
Author Contributions
Conceptualization, writing—original draft preparation, S.H.; validation, investigation, J.Y. and J.L.; methodology, writing—review and editing, C.G., D.K. and X.W.; supervision, funding acquisition, Y.Y. All authors have read and agreed to the published version of the manuscript.
Funding
This research was funded by the National Natural Science Foundation of China, grant number: 51778583; the Natural Science Foundation of Zhejiang Province, grant number: LY22E080014; the Zhejiang Provincial Key Research and Development Program, grant number: 2021C01060; the National Natural Science Foundation of China, grant number: 51708502; and the Natural Science Foundation of Zhejiang Province, grant number: LY21E080016.
Institutional Review Board Statement
Not applicable.
Informed Consent Statement
Not applicable.
Data Availability Statement
Data are contained within the article.
Conflicts of Interest
The authors declare no conflict of interest.
References
- Koenders, E.A.B.; Pepe, M.; Martinelli, E. Compressive strength and hydration processes of concrete with recycled aggregates. Cem. Concr. Res. 2014, 56, 203–212. [Google Scholar] [CrossRef]
- Baran, T.; Pichniarczyk, P. Correlation factor between heat of hydration and compressive strength of common cement. Constr. Build. Mater. 2017, 150, 321–332. [Google Scholar] [CrossRef]
- Dorn, T.; Blask, O.; Stephan, D. Acceleration of cement hydration—A review of the working mechanisms, effects on setting time, and compressive strength development of accelerating admixtures. Constr. Build. Mater. 2022, 323, 126554. [Google Scholar] [CrossRef]
- Yang, Q.; Yang, Q.; Zhu, P. Scaling and corrosion resistance of steam-cured concrete. Cem. Concr. Res. 2003, 33, 1057–1061. [Google Scholar] [CrossRef]
- Sumer, M. Compressive strength and sulfate resistance properties of concretes containing Class F and Class C fly ashes. Constr. Build. Mater. 2012, 34, 531–536. [Google Scholar] [CrossRef]
- Zhimin, H.; Junzhe, L.; Kangwu, Z. Influence of Mineral Admixtures on the Short and Long-term Performance of Steam-cured Concrete. Energy Procedia 2012, 16, 836–841. [Google Scholar] [CrossRef] [Green Version]
- Wu, M.; Sui, S.; Zhang, Y.; Jia, Y.; She, W.; Liu, Z.; Yang, Y. Analyzing the filler and activity effect of fly ash and slag on the early hydration of blended cement based on calorimetric test. Constr. Build. Mater. 2021, 276, 122201. [Google Scholar] [CrossRef]
- Narmluk, M.; Nawa, T. Effect of fly ash on the kinetics of Portland cement hydration at different curing temperatures. Cem. Concr. Res. 2011, 41, 579–589. [Google Scholar] [CrossRef] [Green Version]
- Gartner, E.M.; Jennings, H.M. Thermodynamics of Calcium Silicate Hydrates and Their Solutions. J. Am. Ceram. Soc. 1987, 70, 743–749. [Google Scholar] [CrossRef]
- Huang, C.-H.; Lin, S.-K.; Chang, C.-S.; Chen, H.-J. Mix proportions and mechanical properties of concrete containing very high-volume of Class F fly ash. Constr. Build. Mater. 2013, 46, 71–78. [Google Scholar] [CrossRef]
- Zeng, Q.; Li, K.; Fen-chong, T.; Dangla, P. Determination of cement hydration and pozzolanic reaction extents for fly-ash cement pastes. Constr. Build. Mater. 2012, 27, 560–569. [Google Scholar] [CrossRef]
- Wang, X.-Y.; Lee, H.-S. Simulation of a temperature rise in concrete incorporating fly ash or slag. Mater. Struct. 2010, 43, 737–754. [Google Scholar] [CrossRef]
- Lam, L.; Wong, Y.L.; Poon, C.S. Degree of hydration and gel/space ratio of high-volume fly ash/cement systems. Cem. Concr. Res. 2000, 30, 747–756. [Google Scholar] [CrossRef]
- Escalante-Garcia, J.I.; Martínez-Aguilar, O.A.; Gomez-Zamorano, L.Y. Calcium sulphate anhydrite based composite binders; effect of Portland cement and four pozzolans on the hydration and strength. Cem. Concr. Compos. 2017, 82, 227–233. [Google Scholar] [CrossRef]
- Escalante-García, J.I.; Sharp, J.H. Effect of temperature on the hydration of the main clinker phases in portland cements: Part ii, blended cements. Cem. Concr. Res. 1998, 28, 1259–1274. [Google Scholar] [CrossRef]
- Han, F.; He, X.; Zhang, Z.; Liu, J. Hydration heat of slag or fly ash in the composite binder at different temperatures. Thermochim. Acta 2017, 655, 202–210. [Google Scholar] [CrossRef]
- Thongsanitgarn, P.; Wongkeo, W.; Chaipanich, A.; Poon, C.S. Heat of hydration of Portland high-calcium fly ash cement incorporating limestone powder: Effect of limestone particle size. Constr. Build. Mater. 2014, 66, 410–417. [Google Scholar] [CrossRef]
- Han, F.; Zhang, Z.; Liu, J.; Yan, P. Hydration kinetics of composite binder containing fly ash at different temperatures. J. Therm. Anal. Calorim. 2016, 124, 1691–1703. [Google Scholar] [CrossRef]
- Vance, K.; Aguayo, M.; Oey, T.; Sant, G.; Neithalath, N. Hydration and strength development in ternary portland cement blends containing limestone and fly ash or metakaolin. Cem. Concr. Compos. 2013, 39, 93–103. [Google Scholar] [CrossRef]
- Ma, C.; He, J.; Qin, T.; Long, G.; Du, Y.; Xie, Y. A comparison of the influence of micro- and nano-silica on hydration kinetics of Portland cement under different temperatures. Constr. Build. Mater. 2020, 248, 118670. [Google Scholar] [CrossRef]
- Sun, J.; Zhang, P. Effects of different composite mineral admixtures on the early hydration and long-term properties of cement-based materials: A comparative study. Constr. Build. Mater. 2021, 294, 123547. [Google Scholar] [CrossRef]
- Zhou, Y.; Zhang, Z. Effect of fineness on the pozzolanic reaction kinetics of slag in composite binders: Experiment and modelling. Constr. Build. Mater. 2021, 273, 121695. [Google Scholar] [CrossRef]
- Zhang, Z.; Han, F.; Yan, P. Modelling the dissolution and precipitation process of the early hydration of C3S. Cem. Concr. Res. 2020, 136, 106174. [Google Scholar] [CrossRef]
- Sakai, E.; Miyahara, S.; Ohsawa, S.; Lee, S.-H.; Daimon, M. Hydration of fly ash cement. Cem. Concr. Res. 2005, 35, 1135–1140. [Google Scholar] [CrossRef]
- Lothenbach, B.; Scrivener, K.; Hooton, R.D. Supplementary cementitious materials. Cem. Concr. Res. 2011, 41, 1244–1256. [Google Scholar] [CrossRef]
- Yin, B.; Kang, T.; Kang, J.; Chen, Y.; Wu, L.; Du, M. Investigation of the hydration kinetics and microstructure formation mechanism of fresh fly ash cemented filling materials based on hydration heat and volume resistivity characteristics. Appl. Clay Sci. 2018, 166, 146–158. [Google Scholar] [CrossRef]
- Escalante-García, J.I.; Sharp, J.H. The microstructure and mechanical properties of blended cements hydrated at various temperatures. Cem. Concr. Res. 2001, 31, 695–702. [Google Scholar] [CrossRef]
- Liu, C.; Zhang, M. Effect of curing temperature on hydration, microstructure and ionic diffusivity of fly ash blended cement paste: A modelling study. Constr. Build. Mater. 2021, 297, 123834. [Google Scholar] [CrossRef]
- Das Bakshi, S.; Sinha, D.; Ghosh Chowdhury, S. Anisotropic broadening of XRD peaks of α′-Fe: Williamson-Hall and Warren-Averbach analysis using full width at half maximum (FWHM) and integral breadth (IB). Mater. Charact. 2018, 142, 144–153. [Google Scholar] [CrossRef]
- Lawrence, P.; Cyr, M.; Ringot, E. Mineral admixtures in mortars: Effect of inert materials on short-term hydration. Cem. Concr. Res. 2003, 33, 1939–1947. [Google Scholar] [CrossRef]
- Meredith, P.; Donald, A.; Luke, K. Pre-induction and induction hydration of tricalcium silicate: An environmental scanning electron microscopy study. J. Mater. Sci. 1995, 30, 1921–1930. [Google Scholar] [CrossRef]
- Bullard, J.W.; Jennings, H.M.; Livingston, R.A.; Nonat, A.; Scherer, G.W.; Schweitzer, J.S.; Scrivener, K.L.; Thomas, J.J. Mechanisms of cement hydration. Cem. Concr. Res. 2011, 41, 1208–1223. [Google Scholar] [CrossRef]
- Scrivener, K.; Ouzia, A.; Juilland, P.; Kunhi Mohamed, A. Advances in understanding cement hydration mechanisms. Cem. Concr. Res. 2019, 124, 105823. [Google Scholar] [CrossRef]
- Kondo, R.; Daimon, M. Early Hydration of Tricalcium Silicate: A Solid Reaction with Induction and Acceleration Periods. J. Am. Ceram. Soc. 2006, 52, 503–508. [Google Scholar] [CrossRef]
- Richardson, C. Experimental researches on the constitution of hydraulic mortars. J. Am. Chem. Soc. 1905, 27, 1028–1029. [Google Scholar] [CrossRef] [Green Version]
- Han, F.; Liu, R.; Wang, D.; Yan, P. Characteristics of the hydration heat evolution of composite binder at different hydrating temperature. Thermochim. Acta 2014, 586, 52–57. [Google Scholar] [CrossRef]
- He, J.; Long, G.; Ma, K.; Xie, Y. Influence of fly ash or slag on nucleation and growth of early hydration of cement. Thermochim. Acta 2021, 701, 178964. [Google Scholar] [CrossRef]
- Kong, D.; Huang, S.; Corr, D.; Yang, Y.; Shah, S.P. Whether do nano-particles act as nucleation sites for C-S-H gel growth during cement hydration? Cem. Concr. Compos. 2018, 87, 98–109. [Google Scholar] [CrossRef]
- Bentz, D.P.; Garboczi, E.J. Percolation of phases in a three-dimensional cement paste microstructural model. Cem. Concr. Res. 1991, 21, 325–344. [Google Scholar] [CrossRef]
- Trettin, R.; Oliew, G.; Stadelmann, C.; Wieker, W. Very early hydration of dicalcium silicate-polymorphs. Cem. Concr. Res. 1991, 21, 757–764. [Google Scholar] [CrossRef]
- Liu, L.; Yang, P.; Qi, C.; Zhang, B.; Guo, L.; Song, K.-I. An experimental study on the early-age hydration kinetics of cemented paste backfill. Constr. Build. Mater. 2019, 212, 283–294. [Google Scholar] [CrossRef]
- Xu, H.; Van Deventer, J.S.J. The geopolymerisation of alumino-silicate minerals. Int. J. Miner. Process. 2000, 59, 247–266. [Google Scholar] [CrossRef] [Green Version]
Publisher’s Note: MDPI stays neutral with regard to jurisdictional claims in published maps and institutional affiliations. |
© 2022 by the authors. Licensee MDPI, Basel, Switzerland. This article is an open access article distributed under the terms and conditions of the Creative Commons Attribution (CC BY) license (https://creativecommons.org/licenses/by/4.0/).















