Splitting Opaque, Brittle Materials with Dual-Sided Thermal Stress Using Thermal-Controlled Fracture Method by Microwave
Abstract
:1. Introduction
2. Experiment
2.1. Experimental Principle
2.2. Experimental Material and Apparatus
3. Results
3.1. Machining Capacity
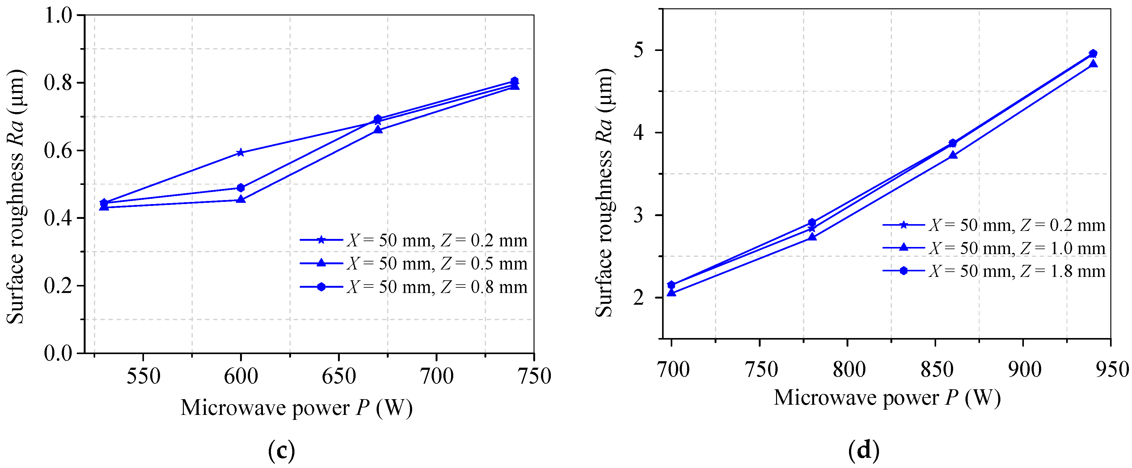
3.2. Fracture Quality
4. Discussion
4.1. Finite Element Modeling of the Cutting Process
- (1)
- Absorption of microwave and heat generation.
- (2)
- Heat transfer process.
- (3)
- Thermal stress generation.
- (4)
- Crack propagation process.
4.2. Mechanism of the High Machining Capacity
4.3. Analysis of the Fracture Quality Distribution
5. Conclusions
Author Contributions
Funding
Institutional Review Board Statement
Informed Consent Statement
Data Availability Statement
Conflicts of Interest
References
- Rakshit, R.; Das, A. A review on cutting of industrial ceramic materials. Precis. Eng. 2019, 59, 90–109. [Google Scholar] [CrossRef]
- Lumley, R.M. Controlled Separation of Brittle Materials Using a Laser. Am. Ceram. Soc. Bull. 1968, 48, 850–854. [Google Scholar]
- Yang, L.J.; Wang, Y.; Tian, Z.G.; Cai, N. YAG laser cutting soda-lime glass with controlled fracture and volumetric heat absorption. Int. J. Mach. Tool Manuf. 2010, 50, 849–859. [Google Scholar] [CrossRef]
- Haupt, O.; Siegel, F.; Schoonderbeek, A.; Richter, L.; Kling, R.; Ostendorf, A. Laser dicing of silicon: Comparison of ablation mechanisms with a novel technology of thermally induced stress. J. Laser Micro Nanoeng. 2008, 3, 135–140. [Google Scholar] [CrossRef]
- Yang, L.; Ding, Y.; Cheng, B.; Mohammed, A.; Wang, Y. Numerical simulation and experimental research on reduction of taper and HAZ during laser drilling using moving focal point. Int. J. Mach. Tool Manuf. 2017, 91, 1171–1180. [Google Scholar] [CrossRef]
- Li, C.; Piao, Y.; Meng, B.; Hu, Y.; Li, L.; Zhang, F. Phase transition and plastic deformation mechanisms induced by self-rotating grinding of GaN single crystals. Int. J. Mach. Tool Manuf. 2022, 172, 103827. [Google Scholar] [CrossRef]
- Li, C.; Wu, Y.; Li, X.; Ma, L.; Zhang, F.; Huang, H. Deformation characteristics and surface generation modelling of crack-free grinding of GGG single crystals. J. Mater. Process. Technol. 2020, 279, 116577. [Google Scholar] [CrossRef]
- Ueda, T.; Yamada, K.; Oiso, K.; Hosokawa, A. Thermal Stress Cleaving of Brittle Materials by Laser Beam. Cirp. Ann.-Manuf. Technol. 2002, 51, 149–152. [Google Scholar] [CrossRef]
- Zhao, C.; Zhang, H.; Wang, Y. Semiconductor laser asymmetry cutting glass with laser induced thermal-crack propagation. Opt. Laser Eng. 2014, 63, 43–52. [Google Scholar] [CrossRef]
- Cai, Y.; Yang, L.; Zhang, H.; Wang, Y. Laser cutting silicon-glass double layer wafer with laser induced thermal-crack propagation. Opt. Laser Eng. 2016, 82, 173–185. [Google Scholar] [CrossRef]
- Kalyanasundaram, D.; Schmidt, A.; Molian, P.; Shrotriya, P. Hybrid CO2 laser/waterjet machining of polycrystalline diamond substrate: Material separation through transformation induced controlled fracture. J. Manuf. Sci. Eng. 2014, 136, 1–10. [Google Scholar] [CrossRef]
- Furumoto, T.; Hashimoto, Y.; Ogi, H.; Kawabe, T.; Yamaguchi, M.; Koyano, T.; Hosokawa, A. CO2 laser cleavage of chemically strengthened glass. J. Mater. Process. Technol. 2021, 289, 116961. [Google Scholar] [CrossRef]
- Liu, P.; Deng, L.; Zhang, F.; Chen, H.; Duan, J.; Zeng, X. Study on high-efficiency separation of laminated glass by skillfully combining laser-induced thermal-crack propagation and laser thermal melting. Appl. Phys. A 2020, 126, 1–13. [Google Scholar] [CrossRef]
- Xu, J.; Hu, H.; Zhuang, C.; Ma, G.; Han, J.; Lei, Y. Controllable laser thermal cleavage of sapphire wafers. Opt. Laser Eng. 2018, 102, 26–33. [Google Scholar] [CrossRef]
- Cheng, X.; Yang, L.; Wang, M.; Cai, Y.; Wang, Y.; Ren, Z. Laser beam induced thermal-crack propagation for asymmetric linear cutting of silicon wafer. Opt. Laser Technol. 2019, 120, 105765. [Google Scholar] [CrossRef]
- Cheng, X.; Yang, L.; Wang, M.; Cai, Y.; Wang, Y.; Ren, Z. The unbiased propagation mechanism in laser cutting silicon wafer with laser induced thermal-crack propagation. Appl. Phys. A 2019, 125, 1–11. [Google Scholar] [CrossRef]
- Brugan, P.; Cai, G.; Akarapu, R.; Segall, A.E. Controlled-fracture of prescored alumina ceramics using simultaneous CO2 lasers. J. Laser Appl. 2006, 18, 236–241. [Google Scholar] [CrossRef]
- Saman, A.M.; Furumoto, T. Evaluation of Separating Process for Different Materials by Thermal Stress Cleaving Technique. Int. J. Precis. Eng. 2018, 7, 158–161. [Google Scholar] [CrossRef]
- Tsai, C.; Chen, H. Laser cutting of thick ceramic substrates by controlled fracture technique. J. Mater. Process. Technol. 2003, 136, 166–173. [Google Scholar] [CrossRef]
- Wang, H.; Zhang, H.; Wang, Y. Splitting of glass and SiC ceramic sheets using controlled fracture technique with elliptic microwave spot. Ceram. Int. 2016, 43, 1669–1676. [Google Scholar] [CrossRef]
- Cheng, X.; Zhao, C.; Wang, H.; Wang, Y.; Wang, Z. Mechanism of irregular crack-propagation in thermal controlled fracture of ceramics induced by microwave. Mech. Ind. 2020, 21, 610. [Google Scholar] [CrossRef]
- Wang, H.; Zhang, H.; Wang, Y.; Wang, M. Thermal controlled fracture of Al2O3 substrate by inducing microwave discharge in graphite coat. Ceram. Int. 2019, 45, 6149–6159. [Google Scholar] [CrossRef]
- Cai, Y.; Wang, M.; Zhang, H.; Yang, L.; Fu, X.; Wang, Y. Laser cutting sandwich structure glass–silicon–glass wafer with laser induced thermal—Crack propagation. Opt. Laser Technol. 2017, 93, 49–59. [Google Scholar] [CrossRef]
- Yin, Y.; Gao, Y.; Yang, C. Sawing characteristics of diamond wire cutting sapphire crystal based on tool life cycle. Ceram. Int. 2021, 47, 26627–26634. [Google Scholar] [CrossRef]






















| Test Group No | Workpiece Thickness (mm) | Single-Sided Heat Source | Dual-Sided Heat Source | ||
|---|---|---|---|---|---|
| Microwave Power (W) | Scanning Speed (mm/s) | Microwave Power (W) | Microwave Power (W) | ||
| NO.1 | 1 | 600–1200 | 2.0–3.5 | 400–700 | 2.0–3.5 |
| NO.2 | 2 | 900–1500 | 0.5–2.0 | 800–1100 | 2.0–3.5 |
| NO.3 | 4 | 1200–1500 | 0.3–0.6 | 1200–1500 | 1.0–2.5 |
| NO.4 | 6 | 1200–1500 | 0.1–0.4 | 1200–1500 | 0.5–2.0 |
| NO.5 | 8 | 1200–1500 | 0.1–0.4 | 1200–1500 | 0.25–1.00 |
| Workpiece Thickness (mm) | Single-Sided Heat Source | Dual-Sided Heat Source | ||
|---|---|---|---|---|
| Microwave Power (W) | Cutting Speed (mm/s) | Microwave Power (W) | Cutting Speed (mm/s) | |
| 1 | 1000 | 3 | 600 | 3 |
| 2 | 1500 | 0.5/1.0 | 1000 | 3 |
| 4 | —— | —— | 1500 | 2 |
| 6 | —— | —— | 1500 | 1 |
| 8 | —— | —— | 1500 | 0.5 |
| Physical Parameters | Value |
|---|---|
| Thermal conductivity (W/m·°C) | 25 |
| Density (g/cm3) | 3.9 |
| Specific heat (J/Kg·°C) | 880 |
| Expansion coefficient (10−6/°C) | 7.5 |
| Young’s modulus (G Pa) | 370 |
| Poisson ratio | 0.22 |
Publisher’s Note: MDPI stays neutral with regard to jurisdictional claims in published maps and institutional affiliations. |
© 2022 by the authors. Licensee MDPI, Basel, Switzerland. This article is an open access article distributed under the terms and conditions of the Creative Commons Attribution (CC BY) license (https://creativecommons.org/licenses/by/4.0/).
Share and Cite
Cheng, X.; He, Z.; Wang, H.; Wang, Y. Splitting Opaque, Brittle Materials with Dual-Sided Thermal Stress Using Thermal-Controlled Fracture Method by Microwave. Crystals 2022, 12, 801. https://doi.org/10.3390/cryst12060801
Cheng X, He Z, Wang H, Wang Y. Splitting Opaque, Brittle Materials with Dual-Sided Thermal Stress Using Thermal-Controlled Fracture Method by Microwave. Crystals. 2022; 12(6):801. https://doi.org/10.3390/cryst12060801
Chicago/Turabian StyleCheng, Xiaoliang, Zongyang He, Hailong Wang, and Yang Wang. 2022. "Splitting Opaque, Brittle Materials with Dual-Sided Thermal Stress Using Thermal-Controlled Fracture Method by Microwave" Crystals 12, no. 6: 801. https://doi.org/10.3390/cryst12060801
APA StyleCheng, X., He, Z., Wang, H., & Wang, Y. (2022). Splitting Opaque, Brittle Materials with Dual-Sided Thermal Stress Using Thermal-Controlled Fracture Method by Microwave. Crystals, 12(6), 801. https://doi.org/10.3390/cryst12060801
