Abstract
Considering the astounding biomedicine properties of pharmaceutically active drug, 4-aminophenazone, also known as 4-aminoantipyrine, the work reported in this manuscript details the formation of novel cocrystals of rearranged 4-aminophenazone and 4-nitro-N-(4-nitrobenzoyl) benzamide in 1:1 stoichiometry under employed conditions for thiourea synthesis by exploiting the use of its active amino component. However, detailed analysis via various characterization techniques such as FT-IR, nuclear magnetic resonance spectroscopy and single crystal XRD, for this unforeseen, but useful cocrystalline synthetic adduct (4 and 5) prompted us to delve into its mechanistic pathway under provided reaction conditions. The coformer 4-nitro-N-(4-nitrobenzoyl) benzamide originates via nucleophilic addition reaction following tetrahedral mechanism between para-nitro substituted benzoyl amide and its acid halide (1). While the enamine nucleophilic addition reaction by 4-aminophenazone on 4-nitrosubstituted aroyl isothiocyanates under reflux temperature suggests the emergence of rearranged counterpart of cocrystal named N-(1,5-dimethyl-3-oxo-2-phenyl-2,3-dihydro-1H-pyrazole-4-carbonothioyl)-4-nitrobenzamide. Crystallographic studies reveal triclinic system P-1 space group for cocrystal (4 and 5) and depicts two different crystallographically independent molecules with prominent C–H···O and N–H···O hydrogen bonding effective for structure stabilization. Hirshfeld surface analysis also displays hydrogen bonding and van der Waals interactions as dominant interactions in crystal packing. Further insight into the cocrystal synthetic methodologies supported the occurrence of solution-based evaporation/cocrystallization methodology in our case during purification step, promoting the synthesis of this first-ever reported novel cocrystal of 4-aminophenazone with promising future application in medicinal industry.
1. Introduction
Neutral crystalline single-phase materials composed of two or more different molecular and/or ionic compounds, which are neither solvates nor simple salts, nevertheless, maintain a stoichiometric ratio which are termed as ‘‘Cocrystals’’ [1]. In order to improve the performance of pharmaceuticals such as solubility, pharmacokinetics and stability, cocrystallization of drug substance with coformer is considered as a promising and emerging approach [2]. Cocrystalline materials possess non-covalent interactions such as: ionic interactions, hydrogen bonding and van der Waals interactions between the active pharmaceutical ingredient (API), i.e., the active cocrystal component and its conformer [3,4]. They can have varying stoichiometry, as documented in the case of carbamazepine: 4-aminobenzoic acid cocrystal system [5]. Such compounds (pharmaceutical cocrystals) are eye-catching not only to chemical and pharma industries but also to drug regulatory agencies because of their superior physical properties to either of pure starting molecules.
Cocrystal synthetic methodologies include both solid and solution phase strategies. The solid state methods include contact formation [6], solid-state grinding and [7] extrusion [8] while evaporation/cocrystallization [9,10], cooling crystallization and [11] reaction crystallization [12] highlight the solution-based strategies. Additional methods include laser, mechanochemical [13,14], freeze drying [15], spray drying [16] and resonant acoustic mixing [17].
The first cocrystal reported in 1958 was for quinone and hydroquinone in a ratio of 1:1 [18]. With the advancement in this field, various reports [17,19,20,21,22,23] on design and growth of cocrystals with potent pharmaceutical aspects have been reported in literature and some imperative examples are displayed in Figure 1.
Figure 1.
Some examples of synthetic cocrystals (I–IV).
The pyrazolone nucleus is important in pharmaceutical industry and a variety of synthetic drugs contain this core entity [24]. A potent example of pyrazolone ring containing drug is 4-aminophenazone that belongs to the family of non-steroidal anti-inflammatory drugs (NSAIDs). The drug is used for treatment of anti-inflammatory [25], analgesic and antipyretic conditions and is considered a prophylactic against oxidative stress [26,27]. In addition, it is used for treatment of soft tissue disorders, neuralgia, arthritis and lung inflammation [28]. Moreover, it has been shown to cause agranulocytosis in various cases besides other degrading effects [29]. In order to reduce the associated side effects with the non-steroidal anti-inflammatory (NSAID) drugs, specifically 4-aminophenazone, efforts have been directed in developing the cocrystals of this unique pharmacophore with ultimate enhanced effect on its biophysical properties. So far, to the best of our knowledge, only eleven molecular salts of 4-aminoantipyrine (4-AAP) have yet been reported [30,31,32,33,34,35], two of which are simple salts with halide counter-ions. Some representative examples of 4-aminophenazone salts are highlighted in Figure 2 [35].
Figure 2.
Reported examples of salts of 4-aminoantipyrine (I–III).
Organosulfur compounds with SC(NH2)2 formula are termed as ‘‘thioureas or thiocarbamide’’. Derivatives of this class of compounds are associated with a broad-spectrum application [36,37,38] in comparison to other organic compounds. They depict an exceptional role in almost every branch of chemistry and have attracted huge significance on academic, industrial and commercial scale. The presence of hard and soft sites in these compounds offer huge potential for generation of new functionalities [39,40]. Various methodologies have been documented to access this privileged functionality including: chemical, microwave, photochemical, organocatalytic and mechanochemical methods [37,41,42,43,44,45,46].
In order to meet the demand of medicinal and pharma industries of today’s world to cope with the growing number of vulnerable diseases and to address the side effects of drugs in practice, either in form of thermodynamic stability, purity, solubility or bioavailability, there is a dire need for the synthesis as well as performance optimization of active pharmaceutical drug targets.
Considering these aspects, herein, we report the unexpected cocrystal formation of active 4-aminophenazone drug (as shown in Figure 3) under conditions for thiourea synthesis along with details on its likely mechanistic route. Enamine nucleophilic addition pathway has been proposed that facilitates the unusual rearrangement in the 4-aminophenaznoe molecule. Further investigations on the molecular structural features and crystal packing via single crystal X-ray diffraction (XRD) and Hirshfeld surface analysis have also been documented.
Figure 3.
Aminophenazone cocrystal 4 and 5 in 1:1 ration.
2. Materials and Methods
2.1. Materials
All chemicals, as well as solvents such as potassium thiocyanate, 4-nitrobenzoic acid, thionyl chloride, 4-aminophenazone, acetone and ethanol, were purchased from Merck-Sigma Aldrich and used as received.
2.2. Instrumentation
Melting points were determined using Gallenkamp melting point apparatus (MP-D) and are uncorrected. Infrared spectra were recorded using a Bruker Tensor 27 FTIR spectrometer in ATR mode as neat samples.1H-NMR (300 MHz) and 13C-NMR (75 MHz) spectra were obtained using a Bruker 300 NMR MHz spectrometer in CDCl3 solution using TMS as an internal reference. Elemental analysis was conducted using a LECO CHNS 932 instrument.
2.3. Single Crystal X-ray Crystallography
The crystallographic data of the title compound, (4 and 5), were collected on Xcalibur, Eos, Gemini diffractometer using MoKα radiation (λ = 0.71073 Å) at 173(2) K. The multi-scan absorption correction (CrysAlisPro) [47] applied data were processed by SHELX program packages (SHELXS97 and SHELXL97) [48] for solving and refining the structure, and ORTEP-3 and PLATON [49,50] programs were used in drawings. The NH hydrogen atoms are located in a difference Fourier map and refined freely. The remaining hydrogen atom positions were calculated geometrically at distances of 0.95 Å (for aromatic CH) and 0.98 Å (for CH3) and refined using a riding model by applying the constraints of Uiso(H) = k X Ueq (C), where k = 1.2 (for aromatic CH H atoms) and k = 1.5 (for CH3 H atoms). Crystallographic data for the structure reported herein have been deposited with the Cambridge Crystallographic Data Centre as Supporting Information, CCDC Deposition Number 1998556. Copies of the data can be obtained through application to CCDC, 12 Union Road, Cambridge CB2 1EZ, UK. (fax: +44 1223 336033 or e-mail: deposit@ccdc.cam.ac.uk or at http://www.ccdc.cam.ac.uk).
2.4. Synthesis
General procedure for synthesis in favor of N-(1,5-dimethyl-3-oxo-2-phenyl-2,3-dihydro-1H-pyrazole-4-carbonothioyl)-4-nitrobenzamide; 4-nitro-N-(4-nitrobenzoyl) benzamide (4 and 5).
Freshly synthesized 4-nitrobenzoyl chloride formed via reaction between equimolar quantities of 4-nitrobenzoic acid (0.5 g, 2.99 mmol) and thionyl chloride (0.20 mL, 2.99 mmol) under reflux conditions was added to the flask containing clear solution of potassium thiocyanate (4) (0.56 g, 5.8 mmol) in dry acetone under inert atmosphere of nitrogen. The reaction mixture was stirred for two hours with mild heating while tracking the formation of corresponding isothiocyanate intermediate (2) with TLC. This was followed by the addition of 4-aminophenazone solution (0.56 g, 2.99 mmol) in dry acetone with visual color change indication to orange. The reaction mixture was set to reflux for four hours under inert conditions to attain the expected product 6 (which, though, ended up as cocrystal 4 and 5 formation) on aqueous work-up followed by recrystallization from aqueous ethanol.
N-(1,5-dimethyl-3-oxo-2-phenyl-2,3-dihydro-1H-pyrazole-4-carbonothioyl)-4-nitrobenzamide; 4-nitro-N-(4-nitrobenzoyl) benzamide (4 and 5).
White and orange crystalline compound; Yield: 85%; Rf: 0.42 (n-Hexane: CHCl3, 4:1); m.p.: 67–68 °C; FTIR (ATR, cm−1): 3460, 3445 (N–H), 1690 (NHC=O), 1234 (NHC=S); 1H-NMR ((CH3)2SO, 300 MHz): δ 14.48 (s, 1H, NH-coformer), 11.96 (s, 1H, NH-aminophenazone), 8.35 (d, 2H, J = 9 Hz, Ar-H-conformer), 8.13 (d, 2H, J = 9 Hz, Ar-H-Aminophenazone), 7.62–7.48 (m, 5H, Ar-H-aminophenazone), 3.43 (s, 3H, -NCH3 aminophenazone), 2.88 (s, 3H, Csp2-CH3 aminophenazone); 13C-NMR ((CH3)2SO, 75 MHz): δ 188.9 (NHC=S), 165.9 (NHC=O), 158.0, 144.5, 143.4, 129.4, 126.4, 125.1, 124.0. 121.5, 35.3, 13.7. Anal. Calc. for C33H25N7S: C 56.63, H 3.74, N 13.18, S 4.21; Found: C 56.60, H 3.78, N 13.13, S 4.25.
3. Results and Discussion
3.1. Chemistry
The synthetic strategy employed to prepare the expected product 6 is illustrated in Scheme 1. Consequently, the freshly synthesized para-nitro substituted benzoyl chloride (1) was added to the solution of potassium thiocyanate in dry acetone at 35–40 °C for 2 h to form the corresponding isothiocyanate intermediate (2). It was followed by addition of an acetone solution of 4-aminophenazone (3) to intermediate (2) under reflux condition for 4 h. Completion of reaction on tracking with TLC was followed by aqueous work-up of reaction mixture with subsequent filtration, drying and recrystallization of crude expected product.
Scheme 1.
Synthesis of 4-aminophenazone cocrystal under thiourea reaction conditions.
However, to our surprise, detailed spectroscopic and single crystal XRD analysis revealed the formation of the rearrangement product of 4-aminophenazone (4) along with its side product (5) (as coformer), both cocrystallized as orange and white crystals (4 and 5) rather than the expected thiourea product (6).
The structure of 4-aminophenazone cocrystal has been fully characterized by FT-IR, 1H-NMR, 13C-NMR (see Supplementary Materials) and detailed single crystal XRD analysis. In FT-IR, a characteristic symmetric stretching signal for N–H bond of the cocrystal appears at 3460 cm−1 with a shoulder peak at 3445 cm−1, respectively. A very sharp stretching at 1690 cm−1, indicative of amide bonds with additional signal at around 1234 cm−1 corresponding to thioamide functionality, confirmed the structure of cocrystal. Medium-intensity peaks appearing in the range of 1000–600 cm−1 as overtones confirm the aromatic skeleton of the structure (4 and 5). In 1H-NMR, two singlets, each integrating to one proton, confirms the presence of N–H bonds in the cocrystal (4 and 5) with the deshielded signal at 14.48 ppm corresponding to N–H of 4-nitro-N-(4-nitrobenzoyl) benzamide while the shielded one at 11.96 ppm highlights the presence of N–H bond of API cocrystal unit, i.e., N-(1,5-dimethyl-3-oxo-2-phenyl-2,3-dihydro-1H-pyrazole-4-carbonothioyl)-4-nitrobenzamide. The resonances for para disubstituted benzene rings for both cocrystallized structures appear with specific para substitution pattern as clean doublets with coupling constant J = 9 Hz in the range of 8.37–8.12 ppm, while the mono substitution aromatic pattern appears as multiplets in range 7.62–7.48 ppm, respectively. Resonances in the aliphatic region in form of singlets further confirms the methyl protons of the aminophenazone ring with the N-substituted methyl resonance slightly in deshielded region at 3.43 ppm than the Csp2-CH3 at 2.88 ppm, fully justifies the structure of unexpected cocrystal formation of 4-aminophenazone. The typical resonances for thioamide thiocarbonyl (NHC=S) along with the thioamide carbonyl carbon (NHC=O) appear at their specific ppm values, i.e., 188.9 ppm and 165.9 ppm, respectively in 13C-NMR, supporting the structural features in cocrystal (4 and 5). Other characteristic signals approving the remaining structural components include the signals for 4-aminophenazone skeleton at 158.01, 144.50, 143.4 ppm while the methyl resonates at 58.0 and 13.7 ppm, respectively. The signals in the range from 129.4–121.5 ppm feature the para and mono substitution aromatic signals which fully justify the cocrystal structure (4 and 5).
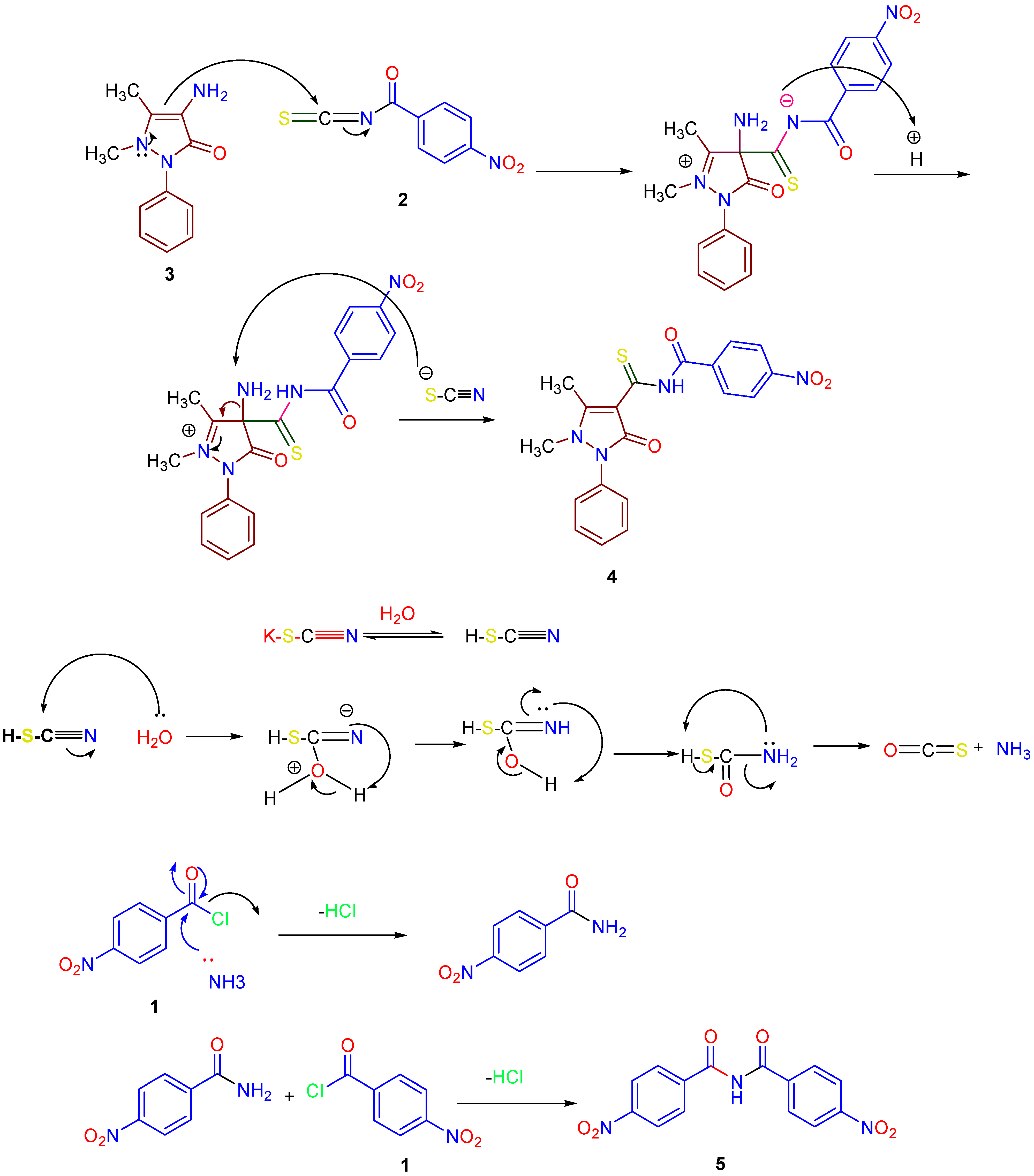
3.2. Plausible Reaction Mechanism
The possible mechanism favoring the formation of cocrystal 4 and 5 is shown in Figure 4 below.
Figure 4.
Plausible mechanistic pathway for cocrystal (4 and 5) formation.
The conceivable mechanistic route for the synthesis of cocrystal 4 and 5 has been proposed in Figure 4. The pyrazolone ring of 4-aminophenazone (3) serves as active enamine species which reacts in nucleophilic addition manner [51] with para nitro substituted benzoyl isothiocyanate (2) to form the rearranged aminophenazone-based cocrystal unit over two steps. The potassium thiocyanate (that exists in equilibrium with thiocyanic acid) used in first step of synthesis, acts as a source of ammonia that facilitates the synthesis of p-nitro substituted benzoyl amide via nucleophilic addition reaction with freshly synthesized 4-nitrosubstituted benzoyl chloride (1) following tetrahedral mechanism which was accompanied by elimination of HCl. The p-nitro substituted benzoyl amide then reacts with another molecule of (1) following the same mechanistic steps giving rise to the coformer (5) (Figure 4).
3.3. X-ray Structure
The experimental details are given in Table 1. The asymmetric unit of the title compound (4 and 5) contains two different crystallographically independent molecules, where the cocrystals are linked through the trifurcated, one C–H···O and two N–H···O, hydrogen bonds (Table 2 and Figure 5). These hydrogen bonds as well as the close contacts between the atoms in the asymmetric unit (Table 3) seem to be effective in the stabilization of the structure as clarified by the detailed Hirshfeld surface analysis in Section 3.4. The planar rings: A (C1—C6), B (N3/N4/C9—C11), C (C14—C19) (for molecule I) and D (C20—C25), E (C28—C33) (for molecule II) are oriented at dihedral angles of A/B = 23.99(4)°, A/C = 66.51(6)°, B/C = 69.90(6)° and D/E = 30.88(6)°. On the other hand, the dihedral angles between the rings of the two different crystallographically independent molecules in the asymmetric unit are A/D = 10.62(6)°, A/E = 22.75(6)°, B/D = 28.12(6)°, B/E = 11.92(6)°, C/D = 56.04(6)° and C/E = 80.06(6)°. In the crystal structure, the intermolecular C–H···O and N–H···O hydrogen bonds (Table 2) link the molecules into a three-dimensional architecture (Figure 6a), in which they may be effective in the stabilization of the structure. On the other hand, the rings of the two molecules are stacked along the a-axis (Figure 6b). There is neither π··· π nor C–H··· π interactions in the structure as mentioned in Section 3.4. The S···H interatomic distances (Table 3) are nearly on the border of the van der Waals interactions (where rS = 1.80 Å, rH = 1.20 Å and rS + rH = 3.00 Å). Thus, they are very weak.
Table 1.
Experimental details.
Table 2.
Hydrogen-bond geometry (Å, º). for (as-1a).
Figure 5.
The asymmetric unit of the title compound with the atom numbering scheme. Thermal ellipsoids are drawn at the 30% probability level. The C–H···O and N–H···O hydrogen bonds linking the two molecules and the intramolecular N–H···O hydrogen bond are shown as dashed lines. The nonbonding hydrogen atoms have been omitted for clarity.
Table 3.
Selected interatomic distances (Å). for (as-1a).
Figure 6.
(a) A partial packing diagram viewed down the b-axis. The C–H···O and N–H···O hydrogen bonds linking the molecules into a three-dimensional architecture are shown as dashed lines. The nonbonding hydrogen atoms have been omitted for clarity; (b) A partial packing diagram viewed down the a-axis showing the stackings of the rings. The hydrogen atoms have been omitted for clarity.
3.4. Hirshfeld Surface Analysis
To visualize the intermolecular interactions in the crystal of the title compound, a Hirshfeld surface (HS) analysis [52,53] was carried out by using Crystal Explorer 17.5 [54]. In the HS plotted over dnorm (Figure 7), the white surface indicates contacts with distances equal to the sum of van der Waals radii, and the red and blue colors indicate distances shorter (in close contact) or longer (distinct contact) than the van der Waals radii, respectively [55]. The bright-red spots appearing near O2, O10 and hydrogen atoms H5A, H15A, H23A, H33A indicate their roles as the respective donors and/or acceptors. The shape-index of the HS is a tool to visualize the π … π stacking by the presence of adjacent red and blue triangles; if there are no adjacent red and/or blue triangles, then there are no π … π interactions. Figure 8 clearly suggests that there are no π … π interactions in 4 and 5. The overall two-dimensional fingerprint plot, Figure 9a, and those delineated into H … O/O … H, H … H, H … C/C … H, H … S/S … H, C … C, O … C/C … O, O … O, O … N/N … O, H … N/N … H and C … N/N … C contacts [52,53] are illustrated in Figs. 9b—k, respectively, together with their relative contributions to the Hirshfeld surface. The most important interaction is H … O/O … H (Table 3), contributing 43.3% to the overall crystal packing, which is reflected in Figure 9b as the pair of characteristic wings and is viewed as pair of spikes with the tips at de + di = 2.25 Å. The widely scattered points of high density due to the large hydrogen content of the molecule, the H … H contacts (Table 3), Figure 6, with 22.0% contribution to the HS are viewed with the tips at de + di = 2.37 Å and 2.17 Å, for big and small wings, respectively. In the absence of C—H … π interactions, the pair of characteristic wings resulting in the fingerprint plot delineated into H … C/C … H contacts, Figure 9d; the 12.4% contribution to the HS are viewed as pair of spikes with the tips at de + di = 2.78 Å, arising from the H … C/C … H contacts (Table 3). The pair of characteristic wings resulting in the fingerprint plot delineated into H … S/S … H, Figure 9e, contacts with 6.0% contribution to the HS arises from the H … S/S … H contacts (Table 3) and is viewed as pair of spikes with the tips at de + di = 2.75 Å. The C … C contacts (Table 3), Figure 9f, with 5.0% contribution to the HS have a split arrow-shaped distribution of points with the tips at de + di = 3.43 Å.
Figure 7.
View of the three-dimensional Hirshfeld surface of the title compound (4 and 5) plotted over dnorm in the range of −0.2458 to 1.4457 a.u.
Figure 8.
Hirshfeld surface of the title compound (4 and 5) plotted over shape-index.
Figure 9.
The full two-dimensional fingerprint plots for the title compound (4 and 5), showing (a) all interactions and delineated into (b) H … O/O … H, (c) H … H, (d) H … C/C … H, (e) H … S/S … H, (f) C … C, (g) O … C/C … O, (h) O … O, (i) O … N/N … O, (j) H … N/N … H and (k) C … N/N … C interactions. The di and de values are the closest internal and external distances (in Å) from given points on the Hirshfeld surface contacts.
The Hirshfeld surface analysis confirms the importance of H-atom contacts in establishing the packing. The large number of H … H, H … O/O … H and H … C/C … H interactions suggest that van der Waals interactions and hydrogen bonding play the major roles in the crystal packing [56].
4. Conclusions
Taking into account the reactivity of active amino group of non-steroidal anti-inflammatory drug 4-aminophenazone under employed reaction conditions for thiourea synthesis, we encountered an unanticipated formation of cocrystal of rearranged aminophenazone, i.e., N-(1,5-dimethyl-3-oxo-2-phenyl-2,3-dihydro-1H-pyrazole-4-carbonothioyl)-4-nitrobenzamide), along with its coformer 4-nitro-N-(4-nitrobenzoyl)benzamide. Spectroscopic (FT-IR, 1H-NMR, 13C-NMR) and single crystal XRD analysis fully corroborates the entire structural units of cocrystal hence authenticating their favored formation under used reaction conditions. Plausible mechanistic justification highlighting the enamine nucleophilic addition reaction by aminophenazone has also been provided. Solution-based evaporation/cocrystallization methodology has been suggested based on its formation. Detailed crystal analysis explains the triclinic lattice arrangement for the cocrystal while the Hirshfeld surface analysis penlights the prevalence of hydrogen bonding together with van der Waals interaction as a promising feature responsible for cocrystal stabilization. This unexpected formation of novel cocrystal will prove to be a useful addition to the increasing demand of drug and pharmaceutical industries for active cocrystal pharmacophores. In future, more detailed studies will be supportive in determining drug candidacy of cocrystal form with its coformer.
Supplementary Materials
The following supporting information can be downloaded at: https://www.mdpi.com/article/10.3390/cryst12050608/s1, Figures S1 and S2: 1H and 13C-NMR of 4 and 5.
Author Contributions
Conceptualization, A.S. and A.K.; methodology, A.S. and A.K.; software.; validation, A.S., A.K., U.T. and M.I.; formal analysis, U.T. and M.I.; investigation, A.S., A.K. and T.H.; resources, A.S. and A.K.; data curation, A.S., A.K., H.R.E.-S., S.U.K. and A.I.; writing—original draft preparation, A.S., A.K. and T.H.; writing—review and editing, A.K. and A.S.; visualization, H.R.E.-S., S.U.K. and A.I.; supervision, A.S.; project administration, A.S.; funding acquisition, H.R.E.-S. All authors have read and agreed to the published version of the manuscript.
Funding
This research received no external funding.
Institutional Review Board Statement
Not applicable.
Informed Consent Statement
Not applicable.
Data Availability Statement
Not applicable.
Acknowledgments
H. R. El-Seedi is very grateful to Jiangsu University, China, for the adjunct professorship. #Dedicated with great pleasure and honor to Rob Verpoorte, Leiden University, Netherland on the occasion of his 75th birthday.
Conflicts of Interest
The authors declare no conflict of interest.
References
- Aitipamula, S.; Banerjee, R.; Bansal, K.; Biradha, M.L.; Cheney, A.R.; Choudhury, G.R.; Desiraju, A.G.; Dikundwar, R.; Dubey, N.; Duggirala, P.P.; et al. Polymorphs, salts, and cocrystals. Cryst. Growth Des. 2012, 12, 2147–2152. [Google Scholar] [CrossRef]
- Guo, M.; Sun, X.; Chen, J.; Cai, T. Pharmaceutical cocrystals: A review of preparations, physicochemical properties, and applications. Acta Pharm. Sin. B 2021, 11, 2537–2564. [Google Scholar] [CrossRef] [PubMed]
- Bandaru, R.K.; Rout, S.R.; Kenguva, G.; Gorain, B.; Alhakamy, N.A.; Kesharwani, P.; Dandela, R. Recent advances in pharmaceutical cocrystals: From bench to market. Front. Pharmacol. 2021, 12, 1663–9812. [Google Scholar] [CrossRef] [PubMed]
- Shah, K.; Parmar, V.K. Application of cocrystallization approach in drug development: Recent Patents Review. Recent Pat. Nanotechnol. 2018, 12, 143–154. [Google Scholar] [CrossRef]
- Li, Z.; Matzger, A.J. Influence of coformer stoichiometric ratio on pharmaceutical cocrystal dissolution: Three cocrystals of carbamazepine/4-aminobenzoic acid. Mol. Pharm. 2016, 13, 990–995. [Google Scholar] [CrossRef] [Green Version]
- Aakeröy, C.; Champness, N.; Janiak, C. Recent advances in crystal engineering. CrystEngComm 2010, 12, 22–43. [Google Scholar] [CrossRef]
- Maheshwari, C.; Jayasankar, A.; Khan, N.A.; Amidon, G.E.; Rodríguez-Hornedo, N. Factors that influence the spontaneous formation of pharmaceutical cocrystals by simply mixing solid reactants. CrystEngComm 2009, 11, 493–500. [Google Scholar] [CrossRef]
- Hu, Y.; Gniado, K.; Erxleben, A.; McArdle, P. Mechanochemical reaction of sulfathiazole with carboxylic acids: Formation of a cocrystal, a salt, and coamorphous solids. Cryst. Growth Des. 2014, 14, 803–813. [Google Scholar] [CrossRef]
- Tanaka, R.; Osotprasit, S.; Peerapattana, J.; Ashizawa, K.; Hattori, Y.; Otsuka, M. Complete cocrystal formation during resonant acoustic wet granulation: Effect of granulation liquids. Pharmaceutics 2021, 13, 56. [Google Scholar] [CrossRef]
- Moradiya, H.G.; Islam, M.T.; Halsey, S.; Maniruzzaman, M.; Chowdhry, B.Z.; Snowden, M.J.; Douroumis, D. Continuous cocrystallisation of carbamazepine and trans-cinnamic acid via melt extrusion processing. Cryst. Eng. Comm. 2014, 16, 3573–3583. [Google Scholar] [CrossRef]
- Wittering, K.; King, J.; Thomas, L.; Wilson, C. From evaporative to cooling crystallization: An initial cocrystallization study of cytosine and its fluorinated derivative with 4-chloro-3,5-Dinitrobenzoic acid. Crystals 2014, 4, 123–140. [Google Scholar] [CrossRef] [Green Version]
- Biscaia, I.F.B.; Gomes, S.N.; Bernardi, L.S.; Oliveira, P.R. Obtaining cocrystals by reaction crystallization method: Pharmaceutical applications. Pharmaceutics 2021, 13, 898. [Google Scholar] [CrossRef]
- Mazzeo, P.P.; Pioli, M.; Montisci, F.; Bacchi, A.; Pelagatti, P. Mechanochemical preparation of dipyridyl-naphthalenediimide cocrystals: Relative role of halogen-bond and π–π interactions. CrystGrowthDes. 2021, 21, 5687–5696. [Google Scholar] [CrossRef] [PubMed]
- Kudo, S.; Takiyama, H. Production method of carbamazepine/saccharin cocrystal particles by using two solution mixing based on the ternary phase diagram. J. Cryst. Growth 2014, 392, 87–91. [Google Scholar] [CrossRef]
- Titapiwatanakun, V.; Basit, A.W.; Gaisford, S. A new method for producing pharmaceutical cocrystals: Laser irradiation of powder blends. Cryst. Growth Des. 2016, 16, 3307–3312. [Google Scholar] [CrossRef]
- Eddleston, M.D.; Patel, B.; Day, G.M.; Jones, W. Cocrystallization by freeze-drying: Preparation of novel multicomponent crystal forms. Cryst. Growth Des. 2013, 13, 4599–4606. [Google Scholar] [CrossRef] [Green Version]
- Karimi-Jafari, M.; Padrela, L.; Walker, G.M.; Croker, D.M. Creating cocrystals: A review of pharmaceutical cocrystal preparation routes and applications. Cryst. Growth Des. 2018, 18, 6370–6387. [Google Scholar] [CrossRef]
- Ende, D.J.; Anderson, S.R.R.; Salan, J.S. Development and scale-up of cocrystals using resonant acoustic mixing. Org. Process Res. Dev. 2014, 18, 331–341. [Google Scholar] [CrossRef]
- Fael, H.; Barbas, R.; Prohens, R.; Ràfols, C.; Fuguet, E. Synthesis and characterization of a new norfloxacin/resorcinol cocrystal with enhanced solubility and dissolution profile. Pharmaceutics 2022, 14, 49. [Google Scholar] [CrossRef]
- Karagianni, A.; Malamatari, M.; Kachrimanis, K. Pharmaceutical cocrystals: New solid phase modification approaches for the formulation of APIs. Pharmaceutics 2018, 10, 18. [Google Scholar] [CrossRef] [Green Version]
- Kavanagh, O.N.; Croker, D.M.; Walker, G.M.; Zaworotko, M.J. Pharmaceutical cocrystals: From serendipity to design to application. Drug Discov. Today 2019, 24, 796–804. [Google Scholar] [CrossRef] [PubMed] [Green Version]
- Bacchi, A.; Paolo, P.M. Cocrystallization as a tool to stabilize liquid active ingredients. Crystallogr. Rev. 2021, 27, 102–123. [Google Scholar] [CrossRef]
- Goud, N.R.; Gangavaram, S.; Suresh, K.; Pal, S.; Manjunatha, S.G.; Nambiar, S.; Nangia, A. Novel furosemide cocrystals and selection of high solubility drug forms. J. Pharm. Sci. 2012, 101, 664–680. [Google Scholar] [CrossRef] [PubMed]
- Saeed, A.; Ejaz, S.A.; Khurshid, A.; Hassan, A.; al-Rashida, M.; Latif, M.; Lecka, J.; Sévigny, J.; Iqbal, J. Synthesis, characterization and biological evaluation of N-(2,3-dimethyl-5-oxo-1-phenyl-2,5-dihydro-1H-pyrazol-4-yl)benzamides. RSC Adv. 2015, 5, 86428–86439. [Google Scholar] [CrossRef]
- Chavan, R.R.; Hosamani, K.M. Microwave-assisted synthesis, computational studies and antibacterial/anti-inflammatory activities of compounds based on coumarin-pyrazole hybrid. R. Soc. Open Sci. 2018, 5, 172435. [Google Scholar] [CrossRef] [Green Version]
- Zhao, Z.; Dai, X.; Li, C.; Wang, X.; Tian, J.; Feng, J.; Xie, J.; Ma, C.; Nie, Z.; Fan, P.; et al. Pyrazolone structural motif in medicinal chemistry: Retrospect and prospect. Eur. J. Med. Chem. 2020, 186, 111893. [Google Scholar] [CrossRef]
- Teran, T.; Guevara, R.; Mora, J.; Dobronski, L.; Barreiro-Costa, O.; Beske, T.; Pérez-Barrera, J.; Araya-Maturana, R.; Rojas-Silva, P.; Poveda, A.; et al. Characterization of antimicrobial, antioxidant, and leishmanicidal activities of schiff base derivatives of 4-aminoantipyrine. Molecules 2019, 24, 2696. [Google Scholar] [CrossRef] [Green Version]
- Refat, M.S.; Hamza, R.Z.; Adam, A.M.A.; Saad, H.A.; Gobouri, A.A.; Al-Salmi, F.A.; Altalhi, T.; El-Megharbel, S.M. Synthesis of N,N′-bis(1,5-dimethyl-2-phenyl-1,2-dihydro-3-oxopyrazol-4-yl) sebacamide that ameliorate osteoarthritis symptoms and improve bone marrow matrix structure and cartilage alterations induced by monoiodoacetate in the rat model: “Suggested potent anti-inflammatory agent against COVID-19”. Hum. Exp. Toxicol. 2021, 40, 325–341. [Google Scholar]
- Murtaza, S.; Akhtar, M.S.; Kanwal, F.; Abbas, A.; Ashiq, S.; Shamim, S. Synthesis and biological evaluation of schiff bases of 4-aminophenazone as anti-inflammatory, analgesic and antipyretic agent. J. Saudi Chem. Soc. 2017, 21, S359–S372. [Google Scholar] [CrossRef] [Green Version]
- Chitradevi, A.; Kumar, S.S.; Athimoolam, S.; Bahadur, S.A.; Sridhar, B.J. Single crystal XRD, vibrational spectra, quantum chemical and thermal studies on a new semi-organic crystal: 4-Aminium antipyrine chloride. J. Mol. Struct. 2015, 1099, 58–67. [Google Scholar] [CrossRef]
- Yang, Y.-Y.; Xu, L.; Kang, T.-G.; Chen, T.P.; Wu, P. 1,5-Dimethyl-3-oxo-2-phenyl-2,3- dihydro-1-H-pyrazol-4-aminium bromide monohydrate. Acta Crystallogr. Sect. E 2012, 68, 1964. [Google Scholar] [CrossRef] [PubMed] [Green Version]
- Murtaza, S.; Hamza, M.; Tahir, M.N. 1,5-Dimethyl-3-oxo-2-phenyl-2,3-dihydro-1H-pyrazol-4-aminium chloride-thiourea (1/1). Acta Crystallogr. Sect. E. 2011, 67, o2193. [Google Scholar] [CrossRef] [PubMed] [Green Version]
- Fazil, S.; Ravindran, R.; Devi, A.S.; Bijili, B.K.J. Structural studies of 1-phenyl-2,3-dimethyl 5-oxo-1,2-dihydro-1-H-pyrazol-4-ammonium 2[(2-carboxyphenyl)disulfanyl] benzoate. J. Mol. Struct. 2012, 1021, 147–152. [Google Scholar] [CrossRef]
- Chitradevi, A.; Athimoolam, S.; Sridhar, B.; Bahadur, S.A. 1,5-Dimethyl-3-oxo-2-phenyl-2,3- di-hydro-1H-pyrazol-4-aminium- 2-hydroxy-benzoate. Acta Crystallogr. 2009, 65, 3041–3042. [Google Scholar]
- Smith, M.G.; Lemmerer, A. Novel crystal forms of 4-aminoantipyrine and its derivatives: Co-crystallizing a reluctant molecule. J. Mol. Struct. 2019, 1175, 307–313. [Google Scholar] [CrossRef]
- Khurshid, A.; Saeed, A.; Ashraf, Z.; Abbas, Q.; Hassan, M. Understanding the enzymatic inhibition of intestinal alkaline phosphatase by aminophenazone derived aryl thioureas with aided computational molecular dynamic simulations. Mol. Divers. 2020, 25, 1701–1715. [Google Scholar] [CrossRef]
- Larik, F.A.; Faisal, M.; Saeed, A.; Channar, P.A.; Korabecny, J.; Jabeen, F.; Mahar, I.A.; Kazi, M.A.; Abbas, Q.; Murtaza, G.; et al. Investigation on the effect of alkyl chain linked mono-thioureas as Jack bean urease inhibitors, SAR, pharmacokinetics ADMET parameters and molecular docking studies. Bioorg. Chem. 2019, 86, 473–481. [Google Scholar] [CrossRef]
- Ahmed, A.; Saeed, A.; Zeinhom, M.A.; Bahy, M.E.; Channar, P.A.; Khurshid, A.; Tehzeeb, A.; Ashraf, Z.; Raza, H.; Hamid, A.; et al. Exploring amantadine derivatives as urease inhibitors: Molecular docking and structure–activity relationship (SAR) studies. Molecules 2021, 26, 7150. [Google Scholar] [CrossRef]
- Batool, I.; Jabeen, F.; Vellore, N.A.; Shabir, G.; Saeed, A. Identification of novel thiourea-stilbene-triazine conjugates as persuasive lymphoid tyrosine phosphatase inhibitors. J. Hetererocycl. Chem. 2020, 57, 3400–3411. [Google Scholar] [CrossRef]
- Saeed, A.; Florke, U.; Erben, M.F. Rview A review on the chemistry, coordination, structure, and biological properties of 1-(acyl/aroyl)-3-(substituted) thioureas. J. Sulfur Chem. 2013, 35, 318–355. [Google Scholar] [CrossRef]
- Saeed, A.; Khurshid, A.; Bolte, M.; Fantoni, A.C.; Erben, M.F. Intra- and intermolecular hydrogen bonding and conformation in 1-acyl thioureas: An experimental and theoretical approach on 1-(2-chlorobenzoyl)thiourea. Spectrochim. Acta A Mol. Biomol. Spectrosc. 2015, 143, 59–66. [Google Scholar] [CrossRef] [PubMed]
- Saeed, A.; Javaid, M.; Shah, S.J.A.; Channar, P.A.; Shabir, G.; Tehzeeb, A.; Iqbal, J. Azomethine-clubbed thiazoles as human tissue non-specific alkaline phosphatase (h-TNAP) and intestinal alkaline phosphatase (h-IAP) inhibitors: Kinetics and molecular docking studies. Mol. Divers. 2022. [Google Scholar] [CrossRef] [PubMed]
- Wei, T.-B.; Lin, Q.; Zhang, Y.M.; Wei, W. Microwave promoted efficient synthesis of N-Aryl-N′-aroyl thioureas under solvent-free and phase transfer catalysis conditions. Synth. Commun. 2004, 34, 181–186. [Google Scholar] [CrossRef]
- Zahra, U.; Zaib, S.; Saeed, A.; Rehman, M.U.; Shabir, G.; Alsaab, H.O.; Khan, I. New acetylphenol-based acyl thioureas broaden the scope of drug candidates for urease inhibition: Synthesis, in vitro screening and in silico analysis. Int. J. Biol. Macromol. 2022, 198, 157–167. [Google Scholar] [CrossRef]
- Serdyuk, O.V.; Heckel, C.M.; Tsogoeva, S.B. Bifunctional primary amine-thioureas in asymmetric organocatalysis. Org. Biomol. Chem. 2013, 11, 7051–7071. [Google Scholar] [CrossRef] [Green Version]
- Mazzei, L.; Broll, V.; Casali, L.; Silva, M.; Braga, D.; Grepioni, F.; Baltrusaitis, J.; Ciurli, S. Multifunctional urea cocrystal with combined ureolysis and nitrification inhibiting capabilities for enhanced nitrogen management. ACS Sustain. Chem. Eng. 2019, 7, 13369–13378. [Google Scholar] [CrossRef]
- Agilent. Crys.Alis PRO; Agilent Technologies Ltd.: Yarnton, Oxfordshire, UK, 2014. [Google Scholar]
- Sheldrick, G.M. A short history of SHELX. Acta Cryst. A 2008, 64, 112–122. [Google Scholar] [CrossRef] [Green Version]
- Spek, A.L. Structure validation in chemical crystallography. Acta Cryst. 2009, D65, 148–155. [Google Scholar] [CrossRef]
- Farrugia, L.J.; Win, G.X. ORTEP for Windows: An update. J. Appl. Cryst. 2012, 45, 849–854. [Google Scholar] [CrossRef]
- Uher, M.; Ilavský, D.; Foltín, J.; Škvareninová, K. Reactions of carbonyl isothiocyanates with enamines of the type CH3-C(NH2)=CH-X, Collect. Czech. Chem. Commun. 1981, 46, 3128–3133. [Google Scholar]
- Hirshfeld, F.L. Bonded-Atom Fragments for Describing Molecular Charge Densities. Theor. Chim. Acta 1977, 44, 129–138. [Google Scholar] [CrossRef]
- Spackman, M.A.S.; Jayatilaka, D. Hirshfeld surface analysis. CrystEngComm 2009, 11, 19–32. [Google Scholar] [CrossRef]
- Turner, M.J.; McKinnon, J.J.; Wolff, S.K.; Grimwood, D.K.; Spackman, P.R.; Jayatilaka, D.; Spackman, M.Z. Crystal Explorer 17; The University of Western Australia: Perth, Australia, 2017. [Google Scholar]
- Venkatesan, P.; Thamotharan, S.; Ilangovan, A.; Liang, H.; Sundius, T. Crystal structure, Hirshfeld surfaces and DFT computation of NLO active (2E)-2-(ethoxycarbonyl)-3-[(1-methoxy-1-oxo-3-phenylpropan-2-yl)amino] prop-2-enoic acid. Spectrochim. Acta Part A 2016, 153, 625–636. [Google Scholar] [CrossRef] [Green Version]
- McKinnon, J.J.; Jayatilaka, D.; Spackman, M.A. Towards quantitative analysis of intermolecular interactions with Hirshfeld surfaces. Chem. Commun. 2007, 37, 3814–3816. [Google Scholar] [CrossRef] [PubMed]
Publisher’s Note: MDPI stays neutral with regard to jurisdictional claims in published maps and institutional affiliations. |
© 2022 by the authors. Licensee MDPI, Basel, Switzerland. This article is an open access article distributed under the terms and conditions of the Creative Commons Attribution (CC BY) license (https://creativecommons.org/licenses/by/4.0/).









