Drastic Influence of Synthesis Conditions on Structural, Magnetic, and Magnetocaloric Properties of Mn(Fe,Ni)(Si,Al) Compounds
Abstract
:1. Introduction
2. Materials and Methods
3. Results and Discussion
3.1. Orthorhombic-to-Hexagonal Transition in MnFe0.6Ni0.4Si1-xAlx Compounds
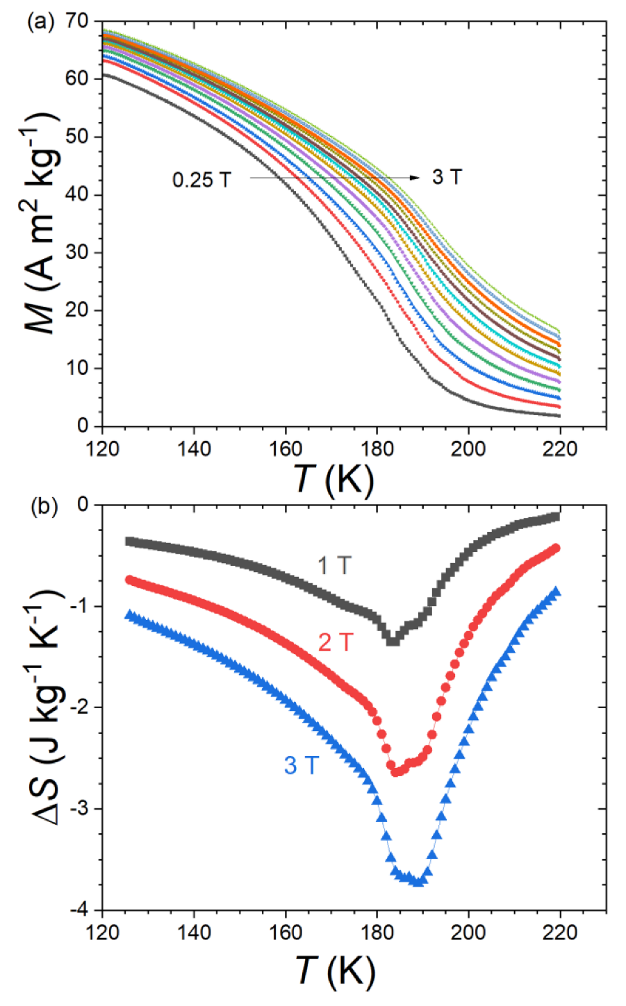
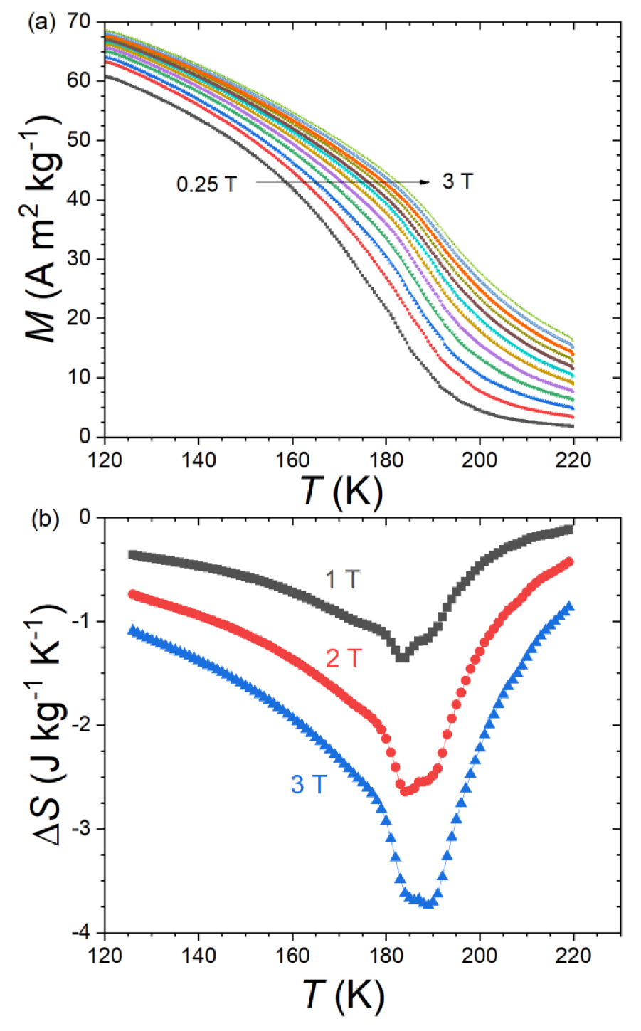
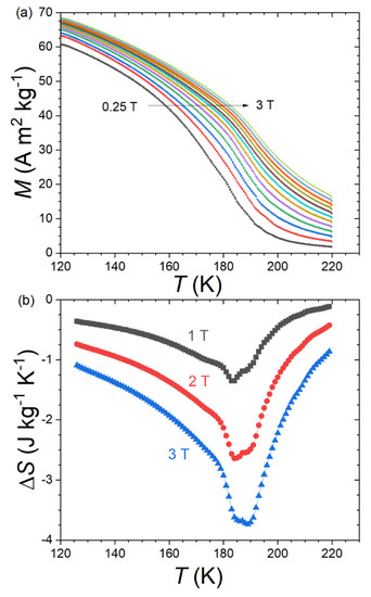
3.2. Influence of Synthesis Conditions on Crystal Structure and Properties of MnFe0.53Ni0.47Si0.94Al0.06
4. Conclusions
Author Contributions
Funding
Institutional Review Board Statement
Informed Consent Statement
Data Availability Statement
Conflicts of Interest
References
- Gschneidner, K.A., Jr.; Pecharsky, V.K.; Tsoko, A.O. Recent developments in magnetocaloric materials. Rep. Prog. Phys. 2005, 68, 1479. [Google Scholar] [CrossRef]
- Gutfleisch, O.; Willard, M.A.; Brück, E.; Chen, C.H.; Sankar, S.G.; Ping Liu, J. Magnetic Materials and Devices for the 21st Century: Stronger, Lighter, and More Energy Efficient. Adv. Mater. 2011, 23, 821–842. [Google Scholar] [CrossRef] [PubMed]
- Smith, A.; Bahl, C.R.H.; Bjørk, R.; Engelbrecht, K.; Nielsen, K.K.; Pryds, N. Materials Challenges for High Performance Magnetocaloric Refrigeration Devices. Adv. Energy Mater. 2012, 2, 1288–1318. [Google Scholar] [CrossRef]
- Balli, M.; Jandl, S.; Fournier, P.; Kedous-Lebouc, A. Advanced materials for magnetic cooling: Fundamentals and practical aspects. Appl. Phys. Rev. 2017, 4, 021305. [Google Scholar] [CrossRef]
- Kitanovski, A. Energy Applications of Magnetocaloric Materials. Adv. Energy Mater. 2020, 10, 1903741. [Google Scholar] [CrossRef]
- Hu, F.X.; Shen, B.G.; Sun, J.R.; Cheng, Z.H.; Rao, G.H.; Zhang, X.X. Influence of negative lattice expansion and metamagnetic transition on magnetic entropy change in the compound LaFe11.4Si1.6. Appl. Phys. Lett. 2001, 78, 3675–3677. [Google Scholar] [CrossRef]
- Fujita, A.; Fujieda, S.; Fukamichi, K.; Mitamura, H.; Goto, T. Itinerant-electron metamagnetic transition and large magnetovol-ume effects in La(FexSi1−x)13 compounds. Phys. Rev. B 2001, 65, 014410. [Google Scholar] [CrossRef]
- Krenke, T.; Duman, E.; Acet, M.; Wassermann, E.F.; Moya, X.; Mañosa, L.; Planes, A. Inverse magnetocaloric effect in ferromag-netic Ni-Mn-Sn alloys. Nat. Mater. 2005, 4, 450–454. [Google Scholar] [CrossRef] [Green Version]
- Li, Y.; Zeng, Q.Q.; Wei, Z.Y.; Liu, E.K.; Han, X.L.; Du, Z.W.; Li, L.W.; Xi, X.K.; Wang, W.H.; Wang, S.G.; et al. An efficient scheme to tailor the magnetostructural transitions by staged quenching and cyclical ageing in hexagonal martensitic alloys. Acta Mater. 2019, 174, 289–299. [Google Scholar] [CrossRef]
- Li, L.W.; Xu, P.; Ye, S.K.; Li, Y.; Liu, G.D.; Huo, D.X.; Yan, M. Magnetic properties and excellent cryogenic magnetocaloric performances in B-site ordered RE2ZnMnO6 (RE = Gd, Dy and Ho) perovskites. Acta Mater. 2020, 194, 354–365. [Google Scholar] [CrossRef]
- Wu, B.B.; Zhang, Y.K.; Guo, D.; Wang, J.; Ren, Z.M. Structure, magnetic properties and cryogenic magneto-caloric effect (MCE) in RE2FeAlO6 (RE = Gd, Dy, Ho) oxides. Ceram. Int. 2021, 47, 6290–6297. [Google Scholar] [CrossRef]
- Wang, Y.M.; Guo, D.; Wu, B.B.; Geng, S.H.; Zhang, Y.K. Magnetocaloric effect and refrigeration performance in RE60Co20Ni20 (RE = Ho and Er) amorphous ribbons. J. Magn. Magn. Mater. 2020, 498, 166179. [Google Scholar] [CrossRef]
- Ma, Z.P.; Dong, X.S.; Zhang, Z.Q.; Li, L.W. Achievement of promising cryogenic magnetocaloric performances in La1-xPrxFe12B6 compounds. J. Mater. Sci. Technol. 2021, 92, 138–142. [Google Scholar] [CrossRef]
- Zou, J.D.; Shen, B.G.; Gao, B.; Shen, J.; Sun, J.R. The magnetocaloric effect of LaFe11.6Si1.4, La0.8Nd0.2Fe11.5Si1.5, and Ni43Mn46Sn11 compounds in the vicinity of the first-order phase transition. Adv. Mater. 2009, 21, 693–696. [Google Scholar] [CrossRef]
- Shen, B.G.; Sun, J.R.; Hu, F.X.; Zhang, H.W.; Cheng, Z.H. Recent progress in exploring magnetocaloric materials. Adv. Mater. 2009, 21, 4545–4564. [Google Scholar] [CrossRef] [Green Version]
- Zhang, H.; Liu, J.; Zhang, M.; Shao, Y.; Li, Y.; Yan, A. LaFe11.6Si1.4Hy/Sn magnetocaloric composites by hot pressing. Scr. Mater. 2016, 120, 58–61. [Google Scholar]
- Zhang, H.; Li, Y.; Liu, E.; Ke, Y.; Jin, J.; Long, Y.; Shen, B.G. Giant rotating magnetocaloric effect induced by highly texturing in polycrystalline DyNiSi compound. Sci. Rep. 2015, 5, 11929. [Google Scholar] [CrossRef]
- Ćwik, J.; Koshkid’ko, Y.; Małecka, M.; Weise, B.; Krautz, M.; Mikhailova, A.; Kolchugina, N. Magnetocaloric prospects of mutual substitutions of rare-earth elements in pseudobinary Tb1−xHoxNi2 compositions (x = 0.25–0.75). J. Alloys Compd. 2021, 886, 161295. [Google Scholar] [CrossRef]
- Gschneidner, K.A., Jr.; Mudryk, Y.; Pecharsky, V.K. On the nature of the magnetocaloric effect of the first-order magneto-structural transition. Scr. Mater. 2012, 67, 572–577. [Google Scholar] [CrossRef]
- Johnson, V. Diffusionless orthorhombic to hexagonal transitions in ternary silicides and germanides. Inorg. Chem. 1975, 14, 1117–1120. [Google Scholar] [CrossRef]
- Trung, N.T.; Zhang, L.; Caron, L.; Buschow, K.H.J.; Brück, E. Giant magnetocaloric effects by tailoring the phase transitions. Appl. Phys. Lett. 2010, 96, 172504. [Google Scholar] [CrossRef]
- Liu, J.; Skokov, K.; Gutfleisch, O. Magnetostructural transition and adiabatic temperature change in Mn–Co–Ge magnetic refrigerants. Scr. Mater. 2012, 66, 642–645. [Google Scholar] [CrossRef]
- Miao, X.; Gong, Y.; Caron, L.; You, Y.; Xu, G.; Sheptyakov, D.; Manuel, P.; Qian, F.; Zhang, Y.; Xu, F.; et al. Switching the magnetostructural coupling in MnCoGe-based magnetocaloric materials. Phys. Rev. Materials 2020, 4, 104407. [Google Scholar] [CrossRef]
- Liu, E.; Wang, W.; Feng, L.; Zhu, W.; Li, G.; Chen, J.; Zhang, H.; Wu, G.; Jiang, C.; Xu, H.; et al. Stable magnetostructural coupling with tunable magnetoresponsive effects in hexagonal ferromagnets. Nat Commun. 2012, 3, 873. [Google Scholar] [CrossRef] [Green Version]
- Taubel, A.; Gottschall, T.; Fries, M.; Faske, T.; Skokov, K.P.; Gutfleisch, O. Influence of magnetic field, chemical pressure and hydrostatic pressure on the structural and magnetocaloric properties of the Mn–Ni–Ge system. J. Phys. D Appl. Phys. 2017, 50, 464005. [Google Scholar] [CrossRef] [Green Version]
- Dutta, P.; Pramanick, S.; Chattopadhyay, S.; Das, D.; Chatterjee, S. Observation of colossal magnetocaloric effect and its dependence on applied hydrostatic pressure in thermally cycled Mn0.53Fe0.47NiSi0.53Ge0.47 alloy. J. Alloys Compd. 2018, 735, 2087–2091. [Google Scholar] [CrossRef]
- Liu, K.; Ma, S.C.; Ma, C.C.; Yang, S.; Ge, Q.; Han, X.Q.; Yu, K.; Song, Y.; Zhang, Z.S.; Chen, C.C.; et al. Tuning the magnetostructural transformation by wheel speed in Mn-Fe-Ni-Ge-Si alloy ribbons. J. Alloys Compd. 2018, 746, 503–508. [Google Scholar] [CrossRef]
- Zhang, C.L.; Shi, H.F.; Nie, Y.G.; Ye, E.J.; Han, Z.D.; Wang, D.H. Thermal-cycling-dependent magnetostructural transitions in a Ge-free system Mn0.5Fe0.5Ni(Si,Al). Appl. Phys. Lett. 2014, 105, 242403. [Google Scholar] [CrossRef]
- Biswas, A.; Pathak, A.K.; Zarkevich, N.A.; Liu, X.; Mudryk, Y.; Balema, V.; Johnson, D.D.; Pecharsky, V.K. Designed materials with the giant magnetocaloric effect near room temperature. Acta Mater. 2019, 180, 341–348. [Google Scholar] [CrossRef]
- Nizioł, S.; Bombik, A.; Bazela, W.; Szytuła, A.; Fruchart, D. Crystal and magnetic structure of CoxNi1-xMnGe system. J. Magn. Magn. Mater. 1982, 27, 281–292. [Google Scholar] [CrossRef]
- Hanggai, W.; Tegus, O.; Yibole, H.; Guillou, F. Structural and magnetic phase diagrams of MnFe0.6Ni0.4(Si,Ge) alloys and their giant magnetocaloric effect probed by heat capacity measurements. J. Magn. Magn. Mater. 2020, 494, 165785. [Google Scholar] [CrossRef]
- Rodríguez-Carvajal, J. Recent advances in magnetic structure determination by neutron powder diffraction. Physica B 1993, 192, 55–69. [Google Scholar] [CrossRef]
- Songlin, D.; Tegus, O.; Brück, E.; Klaasse, J.C.P.; de Boer, F.R.; Buschow, K.H.J. Magnetic phase transition and magnetocaloric effect in Mn5-xFexSi3. J. Alloys Compd. 2002, 334, 249. [Google Scholar] [CrossRef]
- Guillou, F.; Yibole, H.; Kamantsev, A.; Porcari, G.; Ćwik, J.; Koledov, V.; van Dijk, N.H.; Brück, E. Field Dependence of the Magnetocaloric Effect in MnFe (P,Si) Materials. IEEE Trans. Magn. 2015, 51, 2503904. [Google Scholar] [CrossRef]







| x | Orthorhombic TiNiSi-Type | Hexagonal Ni2In-Type | ||||||
|---|---|---|---|---|---|---|---|---|
| a (Å) | b (Å) | c (Å) | V (Å3) | wt.% | a (Å) | c (Å) | V (Å3) | |
| 0.00 | 5.7825 (9) | 3.6930 (5) | 6.9730 (9) | 148.91 (5) | 100 | |||
| 0.02 | 5.7812 (5) | 3.6926 (3) | 6.9710 (5) | 148.82 (3) | 100 | |||
| 0.04 | 5.7649 (7) | 3.7010 (4) | 6.9756 (8) | 148.83 (3) | 100 | |||
| 0.06 | 5.7398 (6) | 3.7157 (4) | 6.9798 (7) | 148.86 (3) | 73.6 (8) | 4.0115 (5) | 5.1640 (9) | 71.96 (2) |
| 0.08 | 4.0050 (3) | 5.1588 (5) | 71.67 (1) | |||||
Publisher’s Note: MDPI stays neutral with regard to jurisdictional claims in published maps and institutional affiliations. |
© 2022 by the authors. Licensee MDPI, Basel, Switzerland. This article is an open access article distributed under the terms and conditions of the Creative Commons Attribution (CC BY) license (https://creativecommons.org/licenses/by/4.0/).
Share and Cite
Nuendute, B.; Hanggai, W.; Yibole, H.; Tana, B.; Tegus, O.; Guillou, F. Drastic Influence of Synthesis Conditions on Structural, Magnetic, and Magnetocaloric Properties of Mn(Fe,Ni)(Si,Al) Compounds. Crystals 2022, 12, 233. https://doi.org/10.3390/cryst12020233
Nuendute B, Hanggai W, Yibole H, Tana B, Tegus O, Guillou F. Drastic Influence of Synthesis Conditions on Structural, Magnetic, and Magnetocaloric Properties of Mn(Fe,Ni)(Si,Al) Compounds. Crystals. 2022; 12(2):233. https://doi.org/10.3390/cryst12020233
Chicago/Turabian StyleNuendute, Balnude, Wuliji Hanggai, Hargen Yibole, Bao Tana, Ojiyed Tegus, and Francois Guillou. 2022. "Drastic Influence of Synthesis Conditions on Structural, Magnetic, and Magnetocaloric Properties of Mn(Fe,Ni)(Si,Al) Compounds" Crystals 12, no. 2: 233. https://doi.org/10.3390/cryst12020233
APA StyleNuendute, B., Hanggai, W., Yibole, H., Tana, B., Tegus, O., & Guillou, F. (2022). Drastic Influence of Synthesis Conditions on Structural, Magnetic, and Magnetocaloric Properties of Mn(Fe,Ni)(Si,Al) Compounds. Crystals, 12(2), 233. https://doi.org/10.3390/cryst12020233

