Low Temperature Thermal Properties of Nanodiamond Ceramics
Abstract
1. Introduction
2. Materials and Methods
2.1. Samples
2.2. Thermal Conductivity
2.3. Heat Capacity
3. Results and Discussion
3.1. Thermal Conductivity
3.2. Heat Capacity
3.3. Thermal Diffusivity
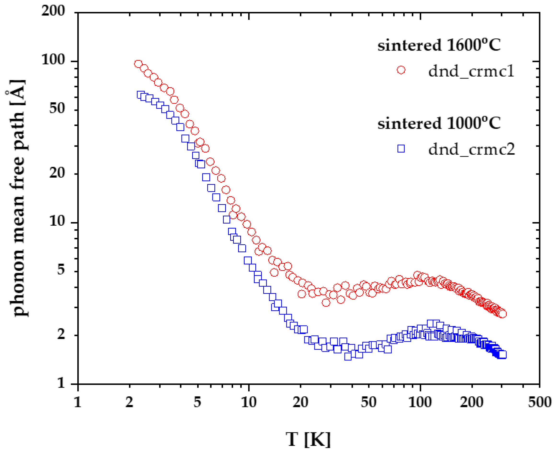
3.4. Phonon Mean Free Path
4. Conclusions
Supplementary Materials
Author Contributions
Funding
Data Availability Statement
Acknowledgments
Conflicts of Interest
References
- Dolmatov, V. Chapter 21: Detonation Nanodiamonds Section IV: Nanodiamonds. In Carbon Nanomaterials Sourcebook: Graphene, Fullerenes, Nanotubes and Nanodiamonds; CRC Press: Boca Raton, FL, USA, 2016. [Google Scholar] [CrossRef]
- Vul’, A.; Dideikin, A.; Aleksenskii, A.; Baidakova, M.V. Chapter 2: Detonation Nanodiamonds: Synthesis, Properties and Applications. In Nanodiamond; RSC Nanoscience and Nanotechnology: Cambridge, UK, 2014. [Google Scholar] [CrossRef]
- Greiner, N.R.; Phillips, D.S.; Johnson, J.D.; Volk, F. Diamonds in detonation soot. Nature 1988, 333, 440. [Google Scholar] [CrossRef]
- Gruen, D.M.; Shenderova, O.A.; Vul’, A. Section III—Detonation nanodiamond. In Synthesis, Properties and Applications of Ultrananocrystalline Diamond; Springer: Berlin/Heidelberg, Germany, 2009. [Google Scholar] [CrossRef]
- Zhang, Y.; Rhee, K.; Hui, D.; Park, S.-J. A critical review of nanodiamond based nanocomposites: Synthesis, properties and applications. Compos. Part B Eng. 2018, 143, 19. [Google Scholar] [CrossRef]
- Baidakova, M.; Vul’, A. New prospects and frontiers of nanodiamond clusters. J. Phys. D Appl. Phys. 2007, 40, 6300. [Google Scholar] [CrossRef]
- Krueger, A. New Carbon Materials: Biological Applications of Functionalized Nanodiamond Materials. Chem. A Eur. J. 2008, 14, 1382. [Google Scholar] [CrossRef] [PubMed]
- Dolmatov, V.; Ozerin, A.; Kulakova, I.; Bochechka, O.; Lapchuk, N.; Myllymäki, V.; Vehanen, A. Detonation nanodiamonds: New aspects in the theory and practice of synthesis, properties and applications. Russ. Chem. Rev. 2020, 89, 1428. [Google Scholar] [CrossRef]
- Mochalin, V.; Shenderova, O.; Ho, D.; Gogotsi, Y. The properties and applications of nanodiamonds. Nat. Nanotechnol. 2011, 7, 11. [Google Scholar] [CrossRef]
- Danilenko, V. Nanodiamonds: Problems and prospects. J. Superhard Mater. 2010, 32, 301. [Google Scholar] [CrossRef]
- Schrand, A.; Ciftan-Hens, S.; Shenderova, O. Nanodiamond Particles: Properties and Perspectives for Bioapplications. Crit. Rev. Solid State Mater. Sci. 2009, 34, 18. [Google Scholar] [CrossRef]
- Dolmatov, V. Detonation-synthesis nanodiamonds: Synthesis, structure, properties and applications. Russ. Chem. Rev. 2007, 76, 339. [Google Scholar] [CrossRef]
- Caccia, M.; Rodríguez, A.; Narciso, J. Diamond Surface Modification to Enhance Interfacial Thermal Conductivity in Al/Diamond Composites. J. Miner. Met. Mater. Soc. 2014, 66, 920. [Google Scholar] [CrossRef]
- Zhang, F.; Fan, K.; Saba, F.; Yu, J. Graphene reinforced-graphitized nanodiamonds matrix composites: Fabrication, microstructure, mechanical properties, thermal and electrical conductivity. Carbon 2020, 169, 416. [Google Scholar] [CrossRef]
- Chen, G. Non-Fourier phonon heat conduction at the microscale and nanoscale. Nat. Rev. Phys. 2021, 3, 555. [Google Scholar] [CrossRef]
- Hoogeboom-Pot, K.; Hernandez-Charpak, J.; Gu, X.; Frazer, T.; Anderson, E.; Chao, W.; Falcone, R.; Yang, R.; Murnane, M.; Kapteyn, H.; et al. A new regime of nanoscale thermal transport: Collective diffusion increases dissipation efficiency. Proc. Natl. Acad. Sci. USA 2015, 112, 4846. [Google Scholar] [CrossRef]
- Balandin, A.; Wang, K. Significant decrease of the lattice thermal conductivity due to phonon confinement in a free-standing semiconductor quantum well. Phys. Rev. B 1998, 58, 1544. [Google Scholar] [CrossRef]
- Bochicchio, I.; Giannetti, F.; Sellitto, A. Heat transfer at nanoscale and boundary conditions. Z. Für Angew. Math. Und Phys. 2022, 73, 147. [Google Scholar] [CrossRef]
- Bao, H.; Chen, J.; Gu, X.; Cao, B. A Review of Simulation Methods in Micro/Nanoscale Heat Conduction. ES Energy Environ. 2018, 1, 16. [Google Scholar] [CrossRef]
- Kidalov, S.; Shakhov, F.; Vul, A. Thermal conductivity of sintered nanodiamonds and microdiamonds. Diam. Relat. Mater. 2008, 17, 844. [Google Scholar] [CrossRef]
- Vlasov, A.; Ralchenko, V.; Gordeev, S.; Zakharov, D.; Vlasov, I.; Karabutov, A.; Belobrov, P. Thermal properties of diamond/carbon composites. Diam. Relat. Mater. 2000, 9, 1104. [Google Scholar] [CrossRef]
- Su, S.; Wang, J.; Wei, J.; Qiu, J.; Wang, S. Thermal conductivity studies of electrophoretically deposited nanodiamond arrays. Mater. Sci. Eng. B 2017, 225, 54. [Google Scholar] [CrossRef]
- Vasiliev, O.; Muratov, V.; Kulikov, L.; Garbuz, V.; Duda, T. Special features of the heat capacity of detonation nanocrystalline diamond. J. Superhard Mater. 2015, 37, 388. [Google Scholar] [CrossRef]
- Tritt, T. Thermal Conductivity Theory, Properties, and Applications; Springer: Berlin/Heidelberg, Germany, 2003. [Google Scholar] [CrossRef]
- Pobell, F. Matter and Methods at Low Temperatures; Springer: Berlin/Heidelberg, Germany, 2007. [Google Scholar] [CrossRef]
- Aleksenskiy, A.; Eydelman, E.; Vul’, A. Deagglomeration of Detonation Nanodiamonds. Nanosci. Nanotechnol. Lett. 2011, 3, 68. [Google Scholar] [CrossRef]
- Krüger, A.; Kataoka, F.; Ozawa, M.; Fujino, T.; Suzuki, Y.; Aleksenskii, A.; Vul’, A.; Ōsawa, E. Unusually tight aggregation in detonation nanodiamond: Identification and disintegration. Carbon 2015, 43, 1722. [Google Scholar] [CrossRef]
- Szewczyk, D.; Jeżowski, A.; Krivchikov, A.I.; Tamarit, J.L. Influence of thermal treatment on thermal properties of adamantane derivatives. Low Temp. Phys. 2015, 41, 469. [Google Scholar] [CrossRef]
- Quantum Design, Physical Property Measurement System. Thermal Transport Option User’s Manual. 2002. Available online: https://www.mrl.ucsb.edu/sites/default/files/mrl_docs/instruments/PPMSTTOmanualB0.pdf (accessed on 1 December 2022).
- Maldonado, O. Pulse method for simultaneous measurement of electric thermopower and heat conductivity at low temperatures. Cryogenics 1992, 32, 908. [Google Scholar] [CrossRef]
- Perez-Enciso, E.; Ramos, M.A. Low-temperature calorimetry on molecular glasses and crystals. Thermochim. Acta 2007, 461, 50. [Google Scholar] [CrossRef]
- Pérez-Castañeda, T.; Azpeitia, J.; Hanko, J.; Fente, A.; Suderow, H.; Ramos, M.A. Low-Temperature Specific Heat of Graphite and CeSb2: Validation of a Quasi-adiabatic Continuous Method. J. Low Temp. Phys. 2013, 173, 4. [Google Scholar] [CrossRef]
- Hwang, J.; Lin, K.; Tien, C. Measurement of heat capacity by fitting the whole temperature response of a heat-pulse calorimeter. Rev. Sci. Instrum. 1997, 68, 94. [Google Scholar] [CrossRef]
- Quantum Design, Physical Property Measurement System. Heat Capacity Option User’s Manual. 2004. Available online: https://www.mrl.ucsb.edu/sites/default/files/mrl_docs/instruments/hcapPPMS.pdf (accessed on 1 December 2022).
- Rudajevová, A.; Švantner, M.; Vasylyev, D.; Musil, O.; Lang, V. Influence of Radiation Losses on Thermal Conductivity Determination at Low Temperatures. Int. J. Thermophys. 2006, 27, 1241. [Google Scholar] [CrossRef]
- Kidalov, S.; Shakhov, F.; Vul’, A.; Ozerin, A. Grain-boundary heat conductance in nanodiamond composites. Diam. Relat. Mater. 2010, 19, 976. [Google Scholar] [CrossRef]
- Shakhov, F.; Meilakhs, A.; Eidelman, E. Changes in the mechanism of heat transfer in passing from microparticles to nanoparticles. Tech. Phys. Lett. 2016, 42, 252. [Google Scholar] [CrossRef]
- Barman, S.; Srivastava, G.P. Temperature dependence of the thermal conductivity of different forms of diamond. J. Appl. Phys. 2007, 101, 123507. [Google Scholar] [CrossRef]
- Cahill, D.G.; Watson, S.K.; Pohl, R.O. Lower limit to the thermal conductivity of disordered crystals. Phys. Rev. B 1992, 46, 6131. [Google Scholar] [CrossRef]
- Efimov, V.; Mezhov-Deglin, L. Phonon scattering in diamond films. Phys. B Condens. Matter 1999, 263, 745. [Google Scholar] [CrossRef]
- Kidalov, S.; Shakhov, F.; Vul’, A. Thermal conductivity of nanocomposites based on diamonds and nanodiamonds. Diam. Relat. Mater. 2007, 16, 2063. [Google Scholar] [CrossRef]
- Ramos, M.A. Chapter 2: Low-Temperature Specific Heat of Glasses and Disordered Crystals. In Low-Temperature Thermal and Vibrational Properties of Disordered Solids; World Scientific Publishing Europe Ltd.: London, UK, 2022. [Google Scholar] [CrossRef]
- Wang, Y.; Zhao, Q.; Zhao, Z.; Yin, Z.; Yang, Q.; Li, H. The Debye characteristic temperature of nanodiamond thin films. In Proceedings of the SPIE 7381, International Symposium on Photoelectronic Detection and Imaging 2009: Material and Device Technology for Sensors, 73810R, Beijing, China, 24 August 2009. [Google Scholar] [CrossRef]
- Pässler, R. Efficient Debye Function Interpolation Formulae: Sample Applications to Diamond. Recent Prog. Mater. 2021, 3, 42. [Google Scholar] [CrossRef]
- Vityaz, P.A.; Senyut, V.T. Compaction of Nanodiamonds Produced under Detonation Conditions and Properties of Composite and Polycrystalline Materials Made on Their Basis. Phys. Solid State 2004, 46, 764. [Google Scholar] [CrossRef]









| Sample | Mass UAM [mg] | Mass PPMS [mg] |
|---|---|---|
| dnd_crmc1 | 53.08 | 5.35 |
| dnd_crmc2 | 57.25 | 2.87 |
Publisher’s Note: MDPI stays neutral with regard to jurisdictional claims in published maps and institutional affiliations. |
© 2022 by the authors. Licensee MDPI, Basel, Switzerland. This article is an open access article distributed under the terms and conditions of the Creative Commons Attribution (CC BY) license (https://creativecommons.org/licenses/by/4.0/).
Share and Cite
Szewczyk, D.; Ramos, M.A. Low Temperature Thermal Properties of Nanodiamond Ceramics. Crystals 2022, 12, 1774. https://doi.org/10.3390/cryst12121774
Szewczyk D, Ramos MA. Low Temperature Thermal Properties of Nanodiamond Ceramics. Crystals. 2022; 12(12):1774. https://doi.org/10.3390/cryst12121774
Chicago/Turabian StyleSzewczyk, Daria, and Miguel A. Ramos. 2022. "Low Temperature Thermal Properties of Nanodiamond Ceramics" Crystals 12, no. 12: 1774. https://doi.org/10.3390/cryst12121774
APA StyleSzewczyk, D., & Ramos, M. A. (2022). Low Temperature Thermal Properties of Nanodiamond Ceramics. Crystals, 12(12), 1774. https://doi.org/10.3390/cryst12121774

