Abstract
The preparation of new, enantiomerically pure, α-amino acids from easily available starting materials is an ongoing challenge in synthetic organic chemistry. Here, we describe the syntheses and crystal structures of three chiral oxazolidinone derivatives prepared from L-alanine and pivalaldehyde to form a Schiff base intermediate and then reaction with the appropriate acid chloride to form the heterocycle. In each compound, the methyl and tert-butyl substituents lie to the same side of the molecule: these homochiral ‘cis’ structures were separated from their trans diastereomers by fractional crystallisation. The five-membered rings in these structures adopt various conformations including envelopes with either a C or O atom as the flap and twisted about a C–O bond. The extended structures of two of these compounds feature C(6) chains of molecules linked by C–H···O hydrogen bonds: one of these has a notably short H···O separation of 2.24 (3) Å.
1. Introduction
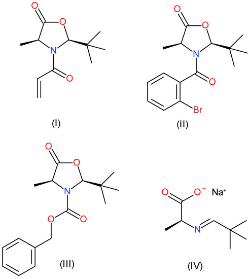
The preparation of new, enantiomerically pure, α-amino acids from easily available starting materials has been a challenge in synthetic organic chemistry for many years [1]. Seebach et al. [2,3] were pioneers in the synthesis of unnatural amino acids via the stereoselective alkylation of imidazolodinones and oxazolidinones followed by ring opening of the heterocycle. This process works well for highly electrophilic alkylating agents under relatively forcing conditions and still attracts synthetic attention [4]. By comparison, radical reactions can offer complimentary chemistry avoiding harsh conditions. To this end inter- and intra-molecular radical attack on the exocyclic C=C double bonds of oxazolidinones was investigated followed by ring opening of the heterocycle to give a range of unnatural α amino acids. The heterocyclic precursors for the radical reaction were synthesised according to the procedure outlined by Seebach and Fadel [2], namely the reaction of an L-amino acid with pivalaldehyde (2,2-dimethylpropanal) to form a Schiff-base anion followed by reaction with an acid chloride to form a five-membered oxazolidinone (acetal) ring intermediate with the intention of reacting this with a radical initiator to generate the exocyclic double bond [5]. As part of our studies in this area we now describe the syntheses and single crystal structures of three new chiral oxazolidin-5-ones, viz., (2S,4S)-3-acryloyl-2-tert-butyl-4-methyl-oxazolidin-5-one, C11H17NO3 (I), (2S,4S)-3-(2-bromobenzoyl)-2-tert-butyl-4-methylene-oxazolidin-5-one, C15H18BrNO3 (II) and (2S,4S)-2-tert-butyl-4-methyl-5-oxo-oxazolidine-3-carboxylic acid phenyl ester, C16H21NO4 (III) (see Scheme 1). Further chemical and mechanistic details will be reported elsewhere.
Scheme 1.
The syntheses and single crystal structures of three new chiral oxazolidin-5-ones and the sodium Schiff-base salt Na+C8H14NO2−.
A search of the Cambridge Structural Database [6] (CSD; updated to June 2021) revealed 229 crystal structures incorporating an oxazolidin-5-one ring system. When the search was restricted to structures in which the methylene C atom between the N and C=O groups of the ring (atom C1 in our numbering scheme, vide infra) bears any substituent and the C atom between the N and O atoms (C3 in our scheme) bears a tert-butyl group, 14 hits were recorded. These structures include [7] the diastereomers (2S,4S)-3-benzoyl-2-tert-butyl-4-(methyoxy-carbonylmethyl)-oxazolidin-5-one (CSD refcode MENNIC) in which the C1- and C3-substituents lie to the same side of the ring and (2R,4S)-3-benzoyl-2-tert-butyl-4-(methoxycarbonylmethyl)-oxazolidin-5-one (MENNEY) (substituents lie to opposite sides of the ring), which were separated by fractional crystallisation from the mixed solvents of ethyl acetate and cyclohexane. Ethyl (2S,2′S,4′R)-3-(3′-benzoyl-2′-t-butyl-5′-oxo-oxazolidin-4′-yl)-2-(diphenyl-methylideneamino) propanoate (PEZMOW) features the C1- and C3- substituents lying on opposite sides of the ring and incorporates an additional stereogenic centre in the C1-side chain [8]. In QEDHAK, (2S,4S)-3-benzoyl-4-benzyl-2-(tert-butyl)-1,3-oxazolidin-5-one [9] and TADNIX, (2S,4R)-benzyl 2-tert-butyl-4-(4-(methylsulfonyl)benzyl)-5-oxo-1,3-oxazolidine-3-carboxylate [10], the substituents lie to the same side of the ring but in TIHNOP, 4-allyl-3-benzoyl-2-tert-butyl-1,3-oxazolidin-5-one [11] and VOBYUG, trans-3-benzoyl-2-tert-butyl-4-isobutyl-1,3-oxazolidin-5-one [12], they lie on opposite sides. In ZIXSOO, (1′S,2S,4S)-3-benzoyl-2-tert-butyl-4-((2′-oxo-1′-cyclohexyl)methyl)-oxazolidin-5-one, the substituents lie to the same side of the ring but in its diastereomer ZIXSUU, (1′S,2S,4R)-3-benzoyl-2-tert-butyl-4-((2′-oxo-1′-cyclohexyl)methyl)oxazolidin-5-one and the related ZIXTAB, (2S,4R)-3-benzoyl-2-tert-butyl-4-((3′-oxo-4′-methyl)-1′-pentyl)oxazolidin-5-one, they lie on opposite sides [13].
2. Methods and Materials
L-alanine (5.0 g, 0.056 mol, 1 eq.) was added to NaOH solution (1 M, 56 mL, 1 eq.) and after complete dissolution the water was removed under reduced pressure to give a pale-yellow oily residue. To this was added pentane (80 mL) and pivalaldehyde (2,2-dimethylpropanal, C5H10O) (9.3 mL, 0.084 mol, 1.5 eq.) and the resulting biphasic mixture was heated under reflux in a Dean-Stark apparatus overnight. After the calculated volume of water had been collected, the solvent was removed under reduced pressure and the resulting sodium Schiff-base salt Na+C8H14NO2− (IV) (see Scheme 1), isolated as a colourless solid, was dried in vacuo (10.0 g, ~100%), and stored under nitrogen in a refrigerator.
Acryloyl chloride, C3H3ClO (226 µL, 2.79 mmol, 1 eq.), was added dropwise to a stirred suspension of (IV) (0.50 g, 2.79 mmol, 1 eq.) in dry dichloromethane (20 mL) at 0 °C. The reaction mixture was warmed to room temperature and stirred for 2 h and then heated under reflux overnight. Removal of the solvent gave 0.42 g of a yellow crude oil, which was purified by fractional crystallisation using mixed solvents of petroleum ether/diethyl ether (7:3) to yield the two diastereomers as colourless crystals in a ratio of ~1:2.4 (cis/trans) with variable yields of 15–20%. A crystal of (I) for data collection was hand-picked from the cis fraction. Colourless crystals, m.p. 69 °C. 1H NMR (400 MHz, CDCl3): δH 6.50 (1H, d, J = 1.71, CH=CH2), 6.46 (1H, d, J = 2.05, CH=CH2), 6.34 (1H, d, J = 10.26, CH=CH2), 5.85 (1H, s, 2-H), 4.47 (1H, q vbr, 4-H), 1.66 (3H, d, J = 7.02, CH3), 0.97 (9H, s, tBut). 13C NMR (400 MHz, CDCl3): δC 172.6 (C=O)O, 167.1 (C=O)N, 131.2 CH=CH2, 126.9 (CH=CH2), 95.5 (O–CH–N), 52.6 (CHCH3), 37.3 (CHCH3), 25.0 (CH3)3C, 18.6 (CH3)3C. MS: C11H17NO3 requires: 212.1281 [M+•]; found m/z (CI) = 212.1282 (HRMS) and 212.1 (LRMS), ([M+•], 50%), 158 (100%), 154, 126, 99, 98, 72, 55. Rf = 0.10 in hexane/diethyl ether (7:3). IR (KBr)/cm−1: 2976, 2974, 2876, 1791, 1663, 1616, 1416, 1363.
o-Bromobenzoyl chloride, C7H4BrClO (4.04 g, 2.4 mL, 18.7 mmol, 1.1 eq), was added dropwise at 0 °C to a stirred suspension of (IV) (3.0 g, 1 eq., 16.7 mmol) in dry dichloromethane (80 mL). The resulting suspension was allowed to warm to room temperature and stirred for 2 h, then heated under reflux overnight. The work-up gave 4.45 g of a pale-yellow crude oil, the analysis of which by 1H-NMR showed a diastereomeric ratio of ~3.4:1 (trans/cis). The oil was purified by fractional crystallisation using the mixed solvents of hexane/diethyl ether (8:2) to yield the two diastereomers: 0.82 g of the trans and 0.31 g of the cis isomer; a crystal of (II) for data collection was selected from the latter fraction. Colourless crystals, m.p. 110 °C. 1H NMR (250 MHz, CDCl3): δH d 7.87–7.08 (4H, m, Ar-H), 5.98 (1H, s, 2-H), 4.15 (1H, q, J = 5.81, 4-H), 1.23 (3H, d, J = 5.81, CH3), 1.05 (9H, s, tBut). 13C NMR (250 MHz, CDCl3): δC 172.5 (C=O)O, 162.0 (C=O)N, 137.2, 134.7, 133.1, 131.2, 127.7, 127.2 (C-Ar), 95.7 (O–CH–N), 53.7 (CHCH3), 37.5 (CH3)3C, 25.2 (CH3)3. C15H19NO3Br requires: 342.0528 [M+H–79Br]+•; found m/z (TOF MS CI+) = 342.0535 (HRMS) and 340.05 (LRMS), ([M+•], 50%), 182 (100%). Rf = 0.075 in hexane/diethyl ether (8:2). IR (KBr)/cm−1: 3153, 3089, 1791, 1658, 1589, 1397, 1397, 1231.
Benzyl chloroformate, C8H7ClO2 (3.145 g, 2.63 mL, 18.43 mmol, 1.1 eq.), was added to a suspension of (IV) (3.0 g, 16.7 mmol, 1 eq.) in dry dichloromethane at 0 °C. The mixture was allowed to slowly warm to 25 °C and then stirred for four days. The mixture was then partitioned between dichloromethane (100 mL) and brine (100 mL). The organic layer was separated, and the aqueous layer was extracted with dichloromethane (4 × 50 mL). The combined organic extracts were washed with saturated aq. NaHCO3 (3 × 100 mL) and brine, then dried, filtered, and concentrated in vacuo to give 3.04 g of a colourless oil. Purification of the crude product using mixed solvents of hexane/ethyl acetate (5:1) afforded a mixture of diastereomers (69% yield), which were separated by careful fractional crystallisation using an increasing ethyl acetate/hexane gradient (5–15%), giving the pure cis diastereomer compound (III) in 65% yield and pure trans in 31% yield; a suitable crystal for data collection was picked from the cis fraction. Colourless crystals, m.p. 85 °C. 1H NMR (250 MHz, CDCl3): δH 7.36 (s, 5H, Ar-H), 5.52 (1H, s, 2-H), 5.15 (2H, d, J = 1.84, CH2Ar), 4.35 (1H, q, J = 6.83, 4-H), 1.51 (3H, d, J = 1.36, CH3CH), 0.93 (9H, s, tBu). 13C NMR (250 MHz, CDCl3): δC 173.1 (C=O)O, 155.7 (C=O)N, 128.7, 128.5, 128.3 (Ar-C), 96.2 (2-C), 68.1 (CH2Ar), 53.4 (4-C), 37.1 ((CH3)3C), 24.8 ((CH3)3C), 17.5 (CH3CH). C16H21NO4 requires: 292.1549 [M+H]+•; found m/z (TOF MS CI+) = 292.1549 (HRMS) and 292.15 (LRMS), ([M+•], 10%), 276, 249, 248 (100%), 234, 91. Rf = 0.25 in hexane/diethyl ether (8:2). IR (KBr)/cm−1: 2977, 1790, 1720, 1480, 1393, 1281.
Intensity data for (I) (colourless slab, 0.34 mm × 0.12 mm × 0.04 mm), (II) (colourless block, 0.40 mm × 0.40 mm × 0.20 mm) and (III) (colourless slab, 0.40 mm × 0.40 mm × 0.15 mm) were collected using an Enraf–Nonius KappaCCD diffractometer (Mo Kα radiation, λ = 0.71073 Å) at T = 120 K. Data reduction including the application of empirical (multi-scan) absorption corrections was performed using DENZO [14]. The structures were routinely solved with SHELXS-97 [15] and the structural models were completed and refined against |F|2 with SHELXL-2018 [16]. All the H atoms were geometrically placed and refined as riding atoms except for atoms H1 and H3 in structures (I) and (II), whose positions were allowed to freely refine. The methyl groups were allowed to rotate, but not to tip, to best fit the electron density. The constraint Uiso (H) = 1.2 Ueq (C) or 1.5 Ueq (methyl C) was applied in all cases. CCDC 2210103, 2210104 and 2210105 contain the supplementary crystallographic data for this paper. These data can be obtained free of charge via http://www.ccdc.cam.ac.uk/conts/retrieving.html (accessed on 20 September 2022) or from the CCDC, 12 Union Road, Cambridge CB2 1EZ, UK; E-mail: deposit@ccdc.cam.ac.uk.
Crystal data for (I): C11H17NO3, Mr = 211.25, monoclinic, space group P21 (No. 4), a = 6.0628 (2) Å, b = 8.7653 (3) Å, c = 11.4000 (4) Å, β = 103.538 (2)°, V = 588.99 (4) Å3, Z = 2, T = 120 K, μ = 0.086 cm–1, ρ = 1.191 g cm–3, 7633 reflections measured (6.91° < 2θ < 55.06°), 2565 unique (RInt = 0.038), R(F) [2405 reflections with I > 2σ(I)] = 0.035, wR(F2) (all data) = 0.082, CCDC deposition number = 2210103.
Crystal data for (II): C15H18BrNO3, Mr = 340.21, orthorhombic, space group P212121 (No. 19), a = 9.2156 (2) Å, b = 9.60630 (10) Å, c = 16.9080 (3) Å, V = 1496.83 (4) Å3, Z = 4, T = 120 K, μ = 2.753 cm–1, ρ = 1.510 g cm–3, 16254 reflections measured (6.12° < 2θ < 54.98°), 3403 unique (RInt = 0.043), R(F) [2952 reflections with I > 2σ(I)] = 0.029, wR(F2) (all data) = 0.058, Flack absolute structure parameter = 0.038 (5). CCDC deposition number = 2210104.
Crystal data for (III): C16H21NO4, Mr = 291.34, monoclinic, space group P21 (No. 4), a = 9.5876 (4) Å, b = 8.0806 (4) Å, c = 20.3749 (8) Å, β = 97.830 (2)°, V = 1563.80 (12) Å3, Z = 4, T = 120 K, μ = 0.089 cm–1, ρ = 1.237 g cm–3, 17529 reflections measured (6.75° < 2θ < 55.11°), 7106 unique (RInt = 0.080), R(F) [4955 reflection with I > 2σ(I)] = 0.047, wR(F2) (all data) = 0.100, CCDC deposition number = 2210105.
3. Results and Discussion
Compound (I) crystallises in the chiral monoclinic space group P21 (No. 4) with one molecule in the asymmetric unit (Figure 1) and confirms that the desired oxazolidinone ring has been formed.
Figure 1.
The asymmetric unit of (I) showing 50% displacement ellipsoids.
The C1/C2/O2/C3/N1 five-membered ring adopts a shallow envelope conformation with C3, which bears the tert-butyl group, as the flap, which deviates by 0.124 (3) Å from the other four atoms (r.m.s. deviation = 0.0007 Å): the Cremer–Pople (CP) [17] puckering parameters for the ring are Q(2) = 0.077 (2) Å and φ(2) = 320.9 (15)° (pivot atom O2). These data may be compared with the ring torsion angles shown in Table 1. The C4 methyl (at C1) and C5 tert-butyl (at C3) substituents attached to the stereogenic carbon atoms lie to the same side of the ring in what is called the cis arrangement for these systems [4] with C4 and C5 deviating from the ring plane (all atoms) by 1.221 (2) and 1.325 (2) Å, respectively. As expected, the absolute structure of (I) was indeterminate in the present diffraction experiment using Mo Kα radiation but based on the L-alanine starting material, we assign S configurations to both C1 and C3. The bond-angle sum at N1 of 352.7° indicates a hybridisation state closer to sp2 than sp3 but some pyramidalization is evident resulting in the displacement of the acrolyl substituent away from the face of the ring bearing the methyl and tert-butyl substituents perhaps due to steric reasons. The C9–N1 bond length of 1.372 (2) Å suggests some delocalisation of the nominal N lone-pair electrons with the carbonyl group. Atoms C1 and O3 are close to anti about the C9–N1 bond [C1–N1–C9–O3 = 155.19 (19)°] and O3 and C11 in the allyl side-chain are almost syn [O3–C9–C10–C11 = 0.5 (3)°]. Finally, one of the C atoms of the tert-butyl group is almost anti with respect to H3 [H3–C3–C5–C8 = −175 (2)°]. Otherwise, the bond lengths and angles in (I) may be regarded as unexceptional.
Table 1.
Key ring torsion angles (°) in (I)–(III).
In (II), which crystallises in the chiral orthorhombic space group P212121 (No. 19) with one molecule in the asymmetric unit (Figure 2), the C1/C2/O2/C3/N1 five-membered ring is best described as being twisted about the C3–O2 bond: these two atoms deviate by 0.128 (7) and −0.062 (6) Å, respectively from N1/C1/C2 and the CP puckering parameters are Q(2) = 0.114 (3) Å and φ(2) = 334.9 (14)° (pivot atom O2). The torsion angles around the ring are shown in Table 1.
Figure 2.
The asymmetric unit of (II) showing 50% displacement ellipsoids.
As with (I), the methyl and tert-butyl substituents in (II) attached to C1 and C3 lie to the same side of the ring [deviations for C4 and C5 = 1.181 (3) and 1.365 (3) Å, respectively], but in this case the absolute structure is well defined based on the refined Flack parameter [18] of 0.038 (5) and C1 and C3 both have S configurations, which is consistent with the L-alanine starting material. The bond-angle sum at N1 is 354.5°, the C1–N1–C9–O3 torsion angle is 164.7 (2)° and the dihedral angle between the five-membered ring (all atoms) and the pendant bromobenzene ring is 61.32 (7)°.
The asymmetric unit of (III), which crystallises in the monoclinic space group P21 (No. 4), contains two molecules (Figure 3); the labels of equivalent atoms are related to each other as C1 and C21, N1 and N21, etc.
Figure 3.
The asymmetric unit of (III) showing 50% displacement ellipsoids.
In the C1/C2/O2/C3/N1 molecule, the five-membered ring is slightly twisted on C3–O2 with these two atoms deviating by 0.045 (7) and −0.063 (7) Å, respectively from C1/C2/N1 with ring torsion angles listed in Table 1 although these deviations are too small to allow PLATON [19] to reliably calculate the CP puckering parameters. As with (I) and (II), the substituents attached to C1 [C4 deviating by 1.147 (3) Å] and C3 [C5 deviating by 1.313 (3) Å] lie to the same side of the ring and both stereogenic atoms have assumed S configurations. Atoms C1 and O3 are close to anti [C1–N1–C9–O3 = 158.9 (3)°] as are C9 and C11 [C9–O4–C10–C11 = −164.8 (2)°] and the bond-angle sum for N1 is 349.6°. The dihedral angle between the five-membered ring (all atoms) and the C11–C16 phenyl ring is 36.61 (16)°.
In the C21 molecule of (III), the C21/C22/O22/C23/N21 five-membered ring is clearly an envelope with the flap atom being O22, which deviates from C21/C22/C23/N21 (r.m.s. deviation = 0.003 Å) by −0.129 (4) Å with Q(2) = 0.085 (3) Å and φ(2) = 5 (2)° (pivot atom O2); the torsion angles around the ring are shown in Table 1. The atoms C21 and O23 are close to anti [C21–N21–C29–O23 = 158.8 (3)°] as are C29 and C31 [C29–O24–C30–C31 = −172.44 (2)°] and the N21 bond-angle sum is 348.4°. The dihedral angle between the five-membered ring (all atoms) and the C31–C36 phenyl ring of 72.32 (15)° is very different to that in the C1 molecule, which can be seen in an overlay plot (Figure 4) generated with QMOL [20].
Figure 4.
QMOL overlay plot of the C1 (red) and C21 (blue) molecules in (III).
The biggest difference between the conformations of the molecules appears to be the roughly opposite twists of the pendant benzene ring about the C10–C11 bond in the first molecule [O4–C10–C11–C16 = 68.0 (3)°] and the equivalent C30–C31 bond in the second molecule [O24–C30–C31–C36 = −75.0 (3)°]. There is also a slight difference in the orientation of the tert-butyl groups.
Geometrical data for the identified directional intermolecular interactions in the extended structures of (I)–(III) are listed in Table 2. The most significant features in the packing of (I) and (II) are C–H···O hydrogen bonds arising from the C1–H1 grouping in each case: in the former, these links generate [010] C(5) chains (Figure 5), with adjacent molecules in the chain being related by the unique 21 screw axis whereas in (II), the equivalent interaction leads to C(5) [100] chains (Figure 6), which are generated by the 21 screw axis propagating in the a direction.
Table 2.
Hydrogen bond data (Å, °) for (I)–(III).
Figure 5.
Fragment of the crystal structure of (I) showing part of an [010] chain linked by C1–H1···O3 hydrogen bonds. Symmetry code: (i) 1 − x, ½ + y, −z.
Figure 6.
Fragment of the crystal structure of (II) showing part of a [100] chain linked by C1–H1···O3 hydrogen bonds. Symmetry code: (i) x − ½, ½ − y, 1 − z.
The H···O separation in (I) of 2.24 (3) Å is notably short for this type of bond [21] but it may arise because of the adjacent electronegative N atom, which ‘activates’ the C–H moiety [22]. Having said that, the H···O separation in the equivalent bond in (II) is much longer [2.53 (3) Å], perhaps because of steric effects. The only identified directional interaction in the packing for (III) is a very weak C–H···O link arising from a C–H group of the pendant benzene ring. The shortest centroid–centroid separation between the bromobenzene rings in (II) is 5.5739 (17) and the equivalent distance for the phenyl rings in (III) is 5.2229 (18) Å: both these values are far too large to be regarded as significant attractive interactions.
4. Conclusions
Three new three chiral oxazolidinone derivatives have been synthesised from L-alanine, pivalaldehyde and the appropriate acid chloride and the chiral (2S,4S) cis structures were separated from their (2S,4R) trans diastereomers by fractional crystallisation. The X-ray crystal structures indicate that the heterocyclic ring is relatively flexible and can take on envelope and twisted conformations.
Author Contributions
Conceptualization, J.M.D.S.; synthesis E.S.; crystallography G.C. and W.T.A.H.; writing—original draft preparation, W.T.A.H.; writing—review and editing, W.T.A.H. All authors have read and agreed to the published version of the manuscript.
Funding
This research received no external funding.
Acknowledgments
We thank the EPSRC National Crystallography Centre (University of Southampton) for the X-ray data collections.
Conflicts of Interest
The authors declare no conflict of interest.
References
- Larionov, V.A.; Stoletova, N.V.; Maleev, V.I. Advances in Asymmetric Amino Acid Synthesis Enabled by Radical Chemistry. Adv. Synth. Catal. 2020, 362, 4325–4367. [Google Scholar] [CrossRef]
- Seebach, D.; Fadel, A. N,O-Acetals from pivalaldehyde and amino-acids for the α-alyklation with self-reproduction of the center of chirality—Enolates of-3-benzoyl-2-(tert-butyl)-1,3-oxazolidin-5-ones. Helv. Chim. Acta 1985, 68, 1243–1250. [Google Scholar] [CrossRef]
- Seebach, D.; Sting, A.R.; Hoffmann, M. Self-regeneration of stereocenters (SRS)—Applications, limitations, and abandonment of a synthetic principle. Angew. Chem. Int. Ed. Engl. 1996, 35, 2708–2748. [Google Scholar] [CrossRef]
- Aurelio, L.; Brownlee, R.T.C.; Hughes, A.B.; Sleebs, B.E. The facile production of N-methyl amino acids via oxazolidinones. Aust. J. Chem. 2000, 53, 425–433. [Google Scholar] [CrossRef]
- Beckwith, A.L.J.; Chai, C.L.L. Diastereoselective radical-addition to derivatives of dehydroalanine and of dehydrolactic acid. J. Chem. Soc. Chem. Commun. 1990, 16, 1087–1088. [Google Scholar]
- Groom, C.R.; Bruno, I.J.; Lightfoot, M.P.; Ward, S.C. The Cambridge Structural Database. Acta Crystallogr. 2016, B72, 171–179. [Google Scholar] [CrossRef] [PubMed]
- Schlachter, I.; Frohlich, R.; Mattay, J. Generation of chiral olefins based on L-aspartic acid. J. Prakt. Chem.-Chemiker-Zeitung 1997, 339, 66–70. [Google Scholar] [CrossRef]
- Pyne, S.G.; Safaei, G.J.; Schafer, K.; Javidan, A.; Skelton, B.W.; White, A.H. Diastereoselective 1,3-dipolar cycloadditions and Michael reactions of azomethine ylides to (2R)-3-benzoyl-4-methylidene-2-phenyloxazolidin-5-one and (2S)-3-benzoyl-2-t-butyl-4-methylideneoxazolidin-5-one. Aust. J. Chem. 1998, 51, 137–158. [Google Scholar] [CrossRef]
- Dungan, V.J.; Mueller-Bunz, H.; Rutledge, P.J. (2S,4S)-3-Benzoyl-4-benzyl-2-tert-butyl-1,3-oxazolidin-5-one. Acta Crystallogr. 2012, E68, o2747. [Google Scholar] [CrossRef] [PubMed]
- Hargrave, J.D.; Bish, G.; Kohn, G.K.; Frost, C.G. Rhodium-catalysed conjugate addition of arylboronic acids to enantiopure dehydroamino acid derivatives. Org. Biomolec. Chem. 2010, 8, 5120–5125. [Google Scholar] [CrossRef] [PubMed]
- Wood, M.E.; Horton, P.N.; Hursthouse, M.B. Personal Communication to Cambridge Structural Database (Refcode TIHNOP); Cambridge Crystallographic Data Centre: Cambridge, UK, 2013. [Google Scholar]
- Willis, A.C.; Beckwith, A.L.J.; Tozer, M.J. trans-3-Benzoyl-2-tert-butyl-4-isobutyl-1,3-oxazolidin-5-one. Acta Crystallogr. 1991, C47, 2276–2277. [Google Scholar] [CrossRef]
- Pyne, S.G.; Javidan, A.; Skelton, B.W.; White, A.H. Asymmetric-synthesis of proline derivatives from (2R) and (2S)-2-tert-butyl-3-benzoyl-4-methyleneoxazolidin-5-one. Tetrahedron 1995, 51, 5157–5168. [Google Scholar] [CrossRef]
- Otwinowski, Z.; Minor, W. Macromolecular Crystallography. In Processing of X-ray Diffraction Data Collected in Oscillation Mode. Methods in Enzymology; Carter, C.W., Jr., Sweet, R.M., Eds.; Academic Press: Cambridge, MA, USA, 1997; Volume 276, pp. 307–326. [Google Scholar]
- Sheldrick, G.M. A short history of SHELX. Acta Crystallogr. 2008, A64, 112–122. [Google Scholar] [CrossRef] [PubMed]
- Sheldrick, G.M. Crystal structure refinement with SHELXL. Acta Crystallogr. 2015, C71, 3–8. [Google Scholar]
- Cremer, D.; People, J.A. General definition of ring-puckering coordinates. J. Amer. Chem. Soc. 1975, 97, 1354–1358. [Google Scholar] [CrossRef]
- Parsons, S.; Flack, H.D.; Wagner, T. Use of intensity quotients and differences in absolute structure refinement. Acta Crystallogr. 2013, B69, 249–259. [Google Scholar] [CrossRef]
- Spek, A.L. Single-crystal structure validation with the program PLATON. J. Appl. Crystallogr. 2003, 36, 7–11. [Google Scholar] [CrossRef]
- Gans, J.; Shalloway, D. Qmol: A program for molecular visualization on Windows-based PCs. J. Mol. Graph. Model. 2001, 19, 557–559. [Google Scholar] [CrossRef]
- Desiraju, G.R. The C—H···O hydrogen bond in crystals: What is it? Acc. Chem. Res. 1991, 24, 290–296. [Google Scholar] [CrossRef]
- Pedireddi, V.R.; Desiraju, G.R. A crystallographic scale of carbon acidity. J. Chem. Soc. Chem. Commun. 1992, 14, 988–990. [Google Scholar] [CrossRef]
Publisher’s Note: MDPI stays neutral with regard to jurisdictional claims in published maps and institutional affiliations. |
© 2022 by the authors. Licensee MDPI, Basel, Switzerland. This article is an open access article distributed under the terms and conditions of the Creative Commons Attribution (CC BY) license (https://creativecommons.org/licenses/by/4.0/).






