RETRACTED: Computerized Detection of Calcium Oxalate Crystal Progression
Abstract
1. Introduction
1.1. Calcium Oxalate Crystals
1.2. Computerized Approaches for the Detection of Calcium Oxalate Crystals
1.3. Electron Micrograph Processing for the Detection of Calcium Oxalate Crystals
2. Materials and Methods
The Proposed Computerized Calcium Oxalate Crystals Detection Technique
- It starts by capturing the plant leaf at different times (time series data) via a rectangular window. (This window is of fixed size with a known border so that the computerized system is able to determine the region).
- The temporal test is applied to the crop cluster sequence.
- After temporal analysis, the sequence is determined and saved.
- This electron micrograph sequence will be analyzed to determine the presence of calcium oxalate crystals and their degree of progress on the basis of the increase of the crystalized area along the temporal dimension.


3. The Temporal Algorithm
- The dimensions of the patch used for the temporal testing are determined by the average electron micrograph dimensions. The average space between the two is calculated.
- The crystalized region is captured. Since the position of the crop is given by markings on the temporal tissue, the rectangular region of the crop in the electron micrograph can be determined.
- The threshold is obtained from records of previous cases of calcium oxalate crystals.
- The ODS algorithm depends on temporal and spatial locality, using the valid theory that pixels in non-edge regions tend to have a spatial and temporal resemblance.
4. Methodology
4.1. The Proposed Method
- When a point is presented, the temporal algorithm computes the sample’s progress points for the crystalized temporal crop.
- The distance between the progress point and the calibrated point is computed using the temporal algorithm.
- The distances between the progress of the temporal crop in the reference frame and the subsequent electron micrograph frames are also calculated.
- The frame rate of our temporal algorithm is 30 frames per second; therefore, three frames is sufficient to collect 100 crop progress pairs (between the progress and the calibrated caliber point shown). Therefore, 12 frames is sufficient to capture the cluster progress for each caliber.
4.2. Dataset
| Category | Amount |
|---|---|
| No crystallization to 5% crystallization | 2180 |
| From more than 5% crystallization to 25% crystallization | 1883 |
| From more than 25% crystallization to 50% crystallization | 1000 |
| From more than 50% crystallization to 75% crystallization | 1477 |
| Total | 6540 |
4.3. The Cluster Plant Feature Map (IDev)
5. Experimental Results
5.1. Progress Steadiness
- All normal cases were detected;
- Five cases of medium to heavy calcium oxalate crystals were mismatched and detected incorrectly by ODS;
- Cases of light calcium oxalate crystals were mismatched and not detected by ODS.
5.2. Experimental Results of ODS versus Actual Agronomist Detection
6. Conclusions
Funding
Conflicts of Interest
References
- Selvaraju, R.R.; Cogswell, M.; Das, A.; Vedantam, R.; Parikh, D.; Batra, D. Grad-cam: Visual explanations from deep networks of Calcium oxalate crystals via gradient-based localization. In Proceedings of the IEEE International Conference on Computer Vision (ICCV), Venice, Italy, 22–29 October 2017; pp. 618–626. [Google Scholar]
- Szegedy, C.; Liu, W.; Jia, Y.; Sermanet, P.; Reed, S.; Anguelov, D.; Erhan, D.; Vanhoucke, V.; Rabinovich, A. Going deeper with convolutions. In Proceedings of the IEEE Conference on Computer Vision and Pattern Recognition (CVPR), Boston, MA, USA, 7–12 June 2015; pp. 1–9. [Google Scholar]
- Simonyan, K.; Zisserman, A. Very deep convolutional networks for large-scale electron micrograph recognition. arXiv 2014, arXiv:1409.1556. [Google Scholar]
- Huang, G.; Liu, Z.; Van Der Maaten, L.; Weinberger, K.Q. Densely connected convolutional networks for Calcium oxalate crystals. In Proceedings of the IEEE Conference on Computer Vision and Pattern Recognition, Honolulu, HI, USA, 21–26 July 2017; pp. 4700–4708. [Google Scholar]
- Sandler, M.; Howard, A.; Zhu, M.; Zhmoginov, A.; Chen, L.-C. Mobilenetv2: Inverted residuals and linear bottlenecks of Calcium oxalate crystals. In Proceedings of the IEEE Conference on Computer Vision and Pattern Recognition, Salt Lake City, UT, USA, 18–23 June 2018; pp. 4510–4520. [Google Scholar]
- Howard, A.; Sandler, M.; Chu, G.; Chen, L.-C.; Chen, B.; Tan, M.; Wang, W.; Zhu, Y.; Pang, R.; Vasudevan, V.; et al. Searching for MobileNetV3. In Proceedings of the 2019 IEEE/CVF International Conference on Computer Vision (ICCV 2019), Seoul, Korea, 27 October–2 November 2019; pp. 1314–1324. [Google Scholar]
- Ma, N.; Zhang, X.; Zheng, H.-T.; Sun, J. Shufflenet v2: Practical guidelines for efficient Calcium oxalate crystals detection architecture design. In Proceedings of the European Conference on Computer Vision (ECCV), Munich, Germany, 8–14 September 2018; pp. 116–131. [Google Scholar]
- Tan, M.; Le, Q.V. Efficientnetv2: Smaller models and faster training for Calcium oxalate crystals. arXiv 2021, arXiv:2104.00298. [Google Scholar]
- Zhao, S.; Peng, Y.; Liu, J.; Wu, S. Calcium oxalate crystals Detection Based on Improved Convolution Neural Network by Attention Module. Agriculture 2021, 11, 651. [Google Scholar] [CrossRef]
- Bao, W.; Yang, X.; Liang, D.; Hu, G.; Yang, X. Lightweight convolutional neural network model for field Calcium oxalate crystals identification. Comput. Electron. Agric. 2021, 189, 106367. [Google Scholar] [CrossRef]
- Peng, Y.; Zhao, S.Y.; Liu, J.Z. Fused Deep Features-Based Calcium oxalate crystals Varieties Identification Using Support Vector Machine. Agriculture 2021, 11, 869. [Google Scholar] [CrossRef]
- Ji, M.; Zhang, L.; Wu, Q. Automatic calcium oxalate crystals identification via UnitedModel based on multiple convolutional neural networks. Inf. Process. Agric. 2020, 7, 418–426. [Google Scholar]
- Singh, V.; Misra, A. Detection of plant leaf crystallizations using electron micrograph segmentation and soft computing techniques. Inf. Process. Agric. 2017, 4, 41–49. [Google Scholar]
- Zhang, Z.; Khanal, S.; Raudenbush, A.; Tilmon, K.; Stewart, C. Assessing the efficacy of machine learning techniques to characterize Calcium oxalate crystals from unmanned aerial vehicles. Comput. Electron. Agric. 2022, 193, 106682. [Google Scholar] [CrossRef]
- Kamal, K.; Yin, Z.; Wu, M.; Wu, Z. Depthwise separable convolution architectures for Calcium oxalate crystals classification. Comput. Electron. Agric. 2019, 165, 104948. [Google Scholar]
- Woo, S.; Park, J.; Lee, J.Y.; Kweon, I.S. Cbam: Convolutional block attention module. In Proceedings of the European Conference on Computer Vision (ECCV), Munich, Germany, 8–14 September 2018; pp. 3–19. [Google Scholar]
- He, K.; Zhang, X.; Ren, S.; Sun, J. Deep residual learning for electron micrograph recognition. In Proceedings of the IEEE Conference on Computer Vision and Pattern Recognition (CVPR), Las Vegas, NV, USA, 26 June–1 July 2016; pp. 770–778. [Google Scholar]
- Kingma, D.P.; Ba, J. Adam: A method for stochastic optimization. arXiv 2014, arXiv:1412.6980. [Google Scholar]
- Hu, J.; Shen, L.; Sun, G. Squeeze-and-excitation networks. In Proceedings of the IEEE Conference on Computer Vision and Pattern Recognition (CVPR), Salt Lake City, UT, USA, 18–22 June 2018; pp. 7132–7141. [Google Scholar]
- Hou, Q.; Zhou, D.; Feng, J. Coordinate attention for efficient mobile network design. In Proceedings of the 2021 IEEE/CVF Conference on Computer Vision and Pattern Recognition (CVPR), Nashville, TN, USA, 20–25 June 2021; pp. 13708–13717. [Google Scholar]
- Jaisakthi, S.; Mirunalini, P.; Thenmozhi, D. Calcium oxalate crystals identification using machine learning techniques. In Proceedings of the 2019 International Conference on Computational Intelligence in Data Science (ICCIDS), Vatsala, Australia, 21–23 February 2019; pp. 1–6. [Google Scholar]
- Majumdar, D.; Kole, D.K.; Chakraborty, A.; Majumder, D.D. An integrated digital electron micrograph analysis system for detection, recognition and detection of Calcium oxalate crystals. In Proceedings of the Third International Symposium on Women in Computing and Informatics, Kerala, India, 10–13 August 2015; pp. 400–405. [Google Scholar]
- Guru, D.; Mallikarjuna, P.; Manjunath, S. Segmentation and classification of Calcium oxalate crystals seedling crystallizations. In Proceedings of the Fourth Annual ACM Bangalore Conference, Bangalore, India, 25–26 March 2011; pp. 1–5. [Google Scholar]
- Rumpf, T.; Mahlein, A.K.; Steiner, U.; Oerke, E.C.; Dehne, H.W.; Plümer, L. Early detection and classification of plant crystallizations with support vector machines based on hyperspectral reflectance. Comput. Electron. Agric. 2010, 74, 91–99. [Google Scholar] [CrossRef]
- Padol, P.B.; Yadav, A.A. SVM classifier based calcium oxalate crystals detection. In Proceedings of the 2016 Conference on Advances in Signal Processing (CASP), Pune, India, 9–11 June 2016; pp. 175–179. [Google Scholar]
- Martins, P.; Silva, J.S.; Bernardino, A. Multispectral Calcium oxalate crystals Recognition in the Wild. Sensors 2022, 22, 4219. [Google Scholar] [CrossRef]
- Khan, I.R.; Ali, S.T.A.; Siddiq, A.; Khan, M.M.; Ilyas, M.U.; Alshomrani, S.; Rahardja, S. Automatic License Plate Recognition in Real-World Calcium oxalate crystals Videos. Electronics 2022, 11, 1408. [Google Scholar] [CrossRef]
- Orchi, H.; Sadik, M.; Khaldoun, M. On Using Artificial Intelligence and the Internet of Things for Calcium oxalate crystals Detection: A Contemporary Survey. Agriculture 2022, 12, 9. [Google Scholar] [CrossRef]
- Liu, B.; Ding, Z.; Tian, L.; He, D.; Li, S.; Wang, H. Calcium oxalate crystals identification using improved deep convolutional neural networks. Front. Plant Sci. 2020, 11, 1082. [Google Scholar] [CrossRef] [PubMed]
- Tang, Z.; Yang, J.; Li, Z.; Qi, F. Calcium oxalate crystals electron micrograph classification based on lightweight convolution neural networks and channelwise attention. Comput. Electron. Agric. 2020, 178, 105735. [Google Scholar] [CrossRef]
- Mohanty, S.P.; Hughes, D.P.; Salathé, M. Using Deep Learning for Electron micrograph-Based Plant Disease Detection. Front. Plant Sci. 2016, 7, 1419. [Google Scholar] [CrossRef]
- Pandian, J.A.; Kanchanadevi, K.; Kumar, V.D.; Jasińska, E.; Goňo, R.; Leonowicz, Z.; Jasiński, M. A Five Convolutional Layer Deep Convolutional Neural Network for Calcium oxalate crystals Detection. Electronics 2022, 11, 1266. [Google Scholar] [CrossRef]
- Chao, X.; Sun, G.; Zhao, H.; Li, M.; He, D. Identification of Apple Tree Leaf Crystallizations Based on Deep Learning Models. Symmetry 2020, 12, 1065. [Google Scholar] [CrossRef]
- Gao, R.; Wang, R.; Feng, L.; Li, Q.; Wu, H. Dual-branch, efficient, channel attention-based Calcium oxalate crystals identification. Comput. Electron. Agric. 2021, 190, 106410. [Google Scholar] [CrossRef]
- Chen, J.; Zhang, D.; Suzauddola, M.; Zeb, A. Identifying crop crystallizations using attention embedded MobileNet-V2 model. Appl. Soft Comput. 2021, 113, 107901. [Google Scholar] [CrossRef]
- Zeng, W.; Li, H.; Hu, G.; Liang, D. Lightweight dense-scale network (LDSNet) for Calcium oxalate crystals identification. Comput. Electron. Agric. 2022, 197, 106943. [Google Scholar] [CrossRef]












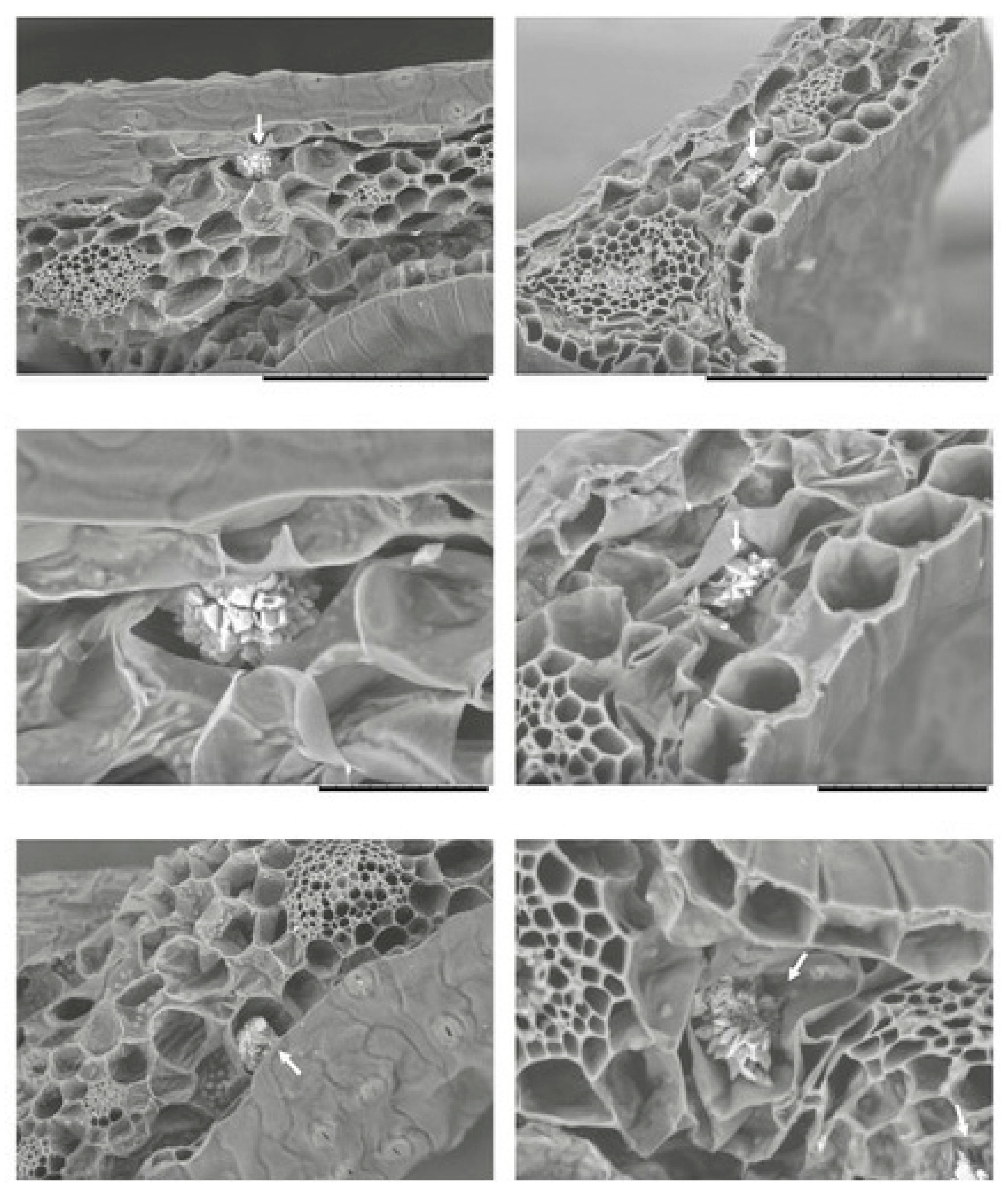
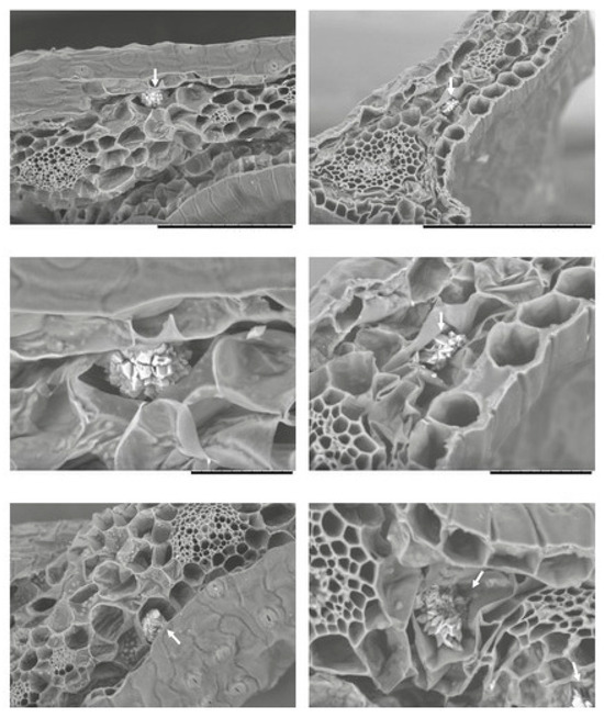
| No calcium oxalate crystals in lower surface crop | ||
| No calcium oxalate crystals in lower surface crop | ||
| Calcium oxalate crystals in lower surface crop | ||
| Calcium oxalate crystals in upper surface crop | ||
| Alternating calcium oxalate crystals (on both sides) | ||
| Unilateral in lower surface crop | ||
| Unilateral in upper surface crop | ||
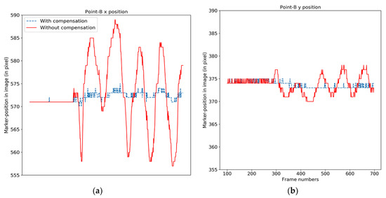
| Corners | Before Compensation | After Compensation | ||
|---|---|---|---|---|
| Absolute Error | SD | Absolute Error | SD | |
| x (x-axis) | 4.38 | 6.19 | 0.48 | 0.64 |
| x (y-axis) | 3.63 | 3.48 | 0.44 | 0.41 |
| y (x-axis) | 4.38 | 6.36 | 0.61 | 0.69 |
| y (y-axis) | 1.31 | 1.8 | 0.31 | 0.44 |
| z (x-axis) | 4.43 | 6.46 | 0.43 | 0.66 |
| z (y-axis) | 0.66 | 1.16 | 0.41 | 0.46 |
| w (x-axis) | 4.46 | 6.64 | 0.43 | 0.66 |
| w (y-axis) | 3.36 | 3.93 | 0.31 | 0.44 |
| APC | 3.49 | 4.9 | 0.43 | 0.6 |
| Case | Label Location | Before Compensation | After Compensation | ||
|---|---|---|---|---|---|
| SDx | SDy | SDx | SDy | ||
| 1 | Lower surface crystallization | 3.3 | 1.33 | 1.04 | 1.11 |
| Upper surface crystallization | 1.44 | 1.47 | 1.13 | 1.04 | |
| 2 | Lower surface crystallization | 0.8 | 4.14 | 0.88 | 3.34 |
| Upper surface crystallization | 1.03 | 3.49 | 1.34 | 1.71 | |
| 3 | Lower surface crystallization | 0.98 | 1.67 | 1.36 | 1.41 |
| Upper surface crystallization | 1.46 | 3.39 | 0.47 | 1.08 | |
| 4 | Lower surface crystallization | 3.78 | 4.08 | 3.9 | 3.31 |
| Upper surface crystallization | 4.11 | 4.44 | 1.49 | 3.34 | |
| Number of Cases | Average True Degree of Crystallization for Lower Surface Crop | Average Predicted Degree of Crystallization by ODS for Lower Surface Crop | Average True Degree of Crystallization for Upper Surface Crop | Average Predicted Degree of Crystallization by ODS for Upper Surface Crop | True Detection by Agronomist | Detection by ODS | Matching Result |
|---|---|---|---|---|---|---|---|
| 100 cases | 25% | 30% | 0 | 0 | Unilateral Light | Unilateral Light | Match |
| 200 cases | 30% | 34% | 0 | 0 | Unilateral Light | Unilateral Light | Match |
| 130 cases | 50% | 52% | 0 | 0 | Unilateral Medium | Unilateral Medium | Match |
| 150 cases | 5% | 7% | 0 | 0 | Unilateral Light | Not detected | Mismatch |
| 190 cases | 45% | 50% | 0 | 0 | Unilateral Medium | Unilateral Medium | Match |
| 600 cases | 75% | 78% | 0 | 0 | Unilateral Heavy | Unilateral Heavy | Match |
| 700 cases | 80% | 79% | 75% | 81% | Unilateral Heavy | Alternating Heavy | Match in severity, mismatch in detection |
| 190 cases | 75% | 77% | 80% | 81% | Unilateral Heavy | Alternating Heavy | Match in severity, mismatch in detection |
| 200 cases | 79% | 75% | 75% | 81% | Alternating Heavy | Alternating Heavy | Match |
| 330 cases | 4% | 8% | 7% | 10% | Unilateral Light | Unilateral Light | Match |
| 300 cases | 40% | 44% | 50% | 49% | Alternating Medium | Alternating Medium | Match |
| 190 cases | 75% | 77% | 80% | 81% | Alternating Heavy | Alternating Heavy | Match |
| 150 cases | 79% | 75% | 0 | 0 | Unilateral Heavy | Unilateral Heavy | Match |
| 300 cases | 75% | 81% | 0 | 0 | Unilateral Heavy | Unilateral Heavy | Match |
| 230 cases | 0 | 0 | 0 | 0 | No | No | Match |
| 250 cases | 0 | 0 | 0 | 0 | No | No | Match |
| 300 cases | 0 | 0 | 0 | 0 | No | No | Match |
| 300 cases | 8% | 7% | 0 | 0 | Unilateral Light | Unilateral Light | Match |
| 200 cases | 7% | 10% | 0 | 0 | Unilateral Light | No | Mismatch |
| 380 cases | 77% | 80% | 0 | 0 | Unilateral Heavy | Unilateral Heavy | Match |
| 550 cases | 75% | 77% | 0 | 0 | Unilateral Heavy | Unilateral Medium | Mismatch |
| 590 cases | 77% | 80% | 0 | 0 | Unilateral Heavy | Unilateral Heavy | Match |
| Total cases of 6540 |
| Subjects | 1 | 2 | 3 | 4 | 5 | 6 | 7 | ||
|---|---|---|---|---|---|---|---|---|---|
| 0.15 degrees (out of 8 instructed targets) | (A) Calcium oxalate crystals observed by inspecting electron micrograph | 8 | 8 | 3 | 14 | 19 | 15 | 10 | |
| ODS | (B) Detected | 6 | 8 | 3 | 16 | 18 | 12 | 10 | |
| Frames detected | (2, 15) | (4, 27) | (2, 10) | (4, 25) | (5, 16) | (3, 16) | (1, 31) | ||
| (D) Number of false alarms | 0 | 0 | 0 | 2 | 1 | 2 | 0 | ||
Publisher’s Note: MDPI stays neutral with regard to jurisdictional claims in published maps and institutional affiliations. |
© 2022 by the author. Licensee MDPI, Basel, Switzerland. This article is an open access article distributed under the terms and conditions of the Creative Commons Attribution (CC BY) license (https://creativecommons.org/licenses/by/4.0/).
Share and Cite
Hosni Mahmoud, H.A. RETRACTED: Computerized Detection of Calcium Oxalate Crystal Progression. Crystals 2022, 12, 1450. https://doi.org/10.3390/cryst12101450
Hosni Mahmoud HA. RETRACTED: Computerized Detection of Calcium Oxalate Crystal Progression. Crystals. 2022; 12(10):1450. https://doi.org/10.3390/cryst12101450
Chicago/Turabian StyleHosni Mahmoud, Hanan A. 2022. "RETRACTED: Computerized Detection of Calcium Oxalate Crystal Progression" Crystals 12, no. 10: 1450. https://doi.org/10.3390/cryst12101450
APA StyleHosni Mahmoud, H. A. (2022). RETRACTED: Computerized Detection of Calcium Oxalate Crystal Progression. Crystals, 12(10), 1450. https://doi.org/10.3390/cryst12101450
