Study on the Electromagnetic Characteristics of Ring-Shaped Superconducting Permanent Magnets for Medical Applications
Abstract
1. Introduction
2. Modeling Setup
- Set up an electrical-circuit model in MATLAB. The equation of the circuit model is shown in (1). Since the induced current is strictly limited in the tapes of ring-shaped magnets, the entire magnetization process can be equivalent to a complex circuit problem as shown in (1), and UHTS in (1) is calculated by the E-J exponential equation.
- 2.
- Obtain the inductance matrix in (1). The inductance matrix is calculated by a 3D Finite Element Method (FEM) model in COMSOL which represents the full geometry details of the ring-shaped coil. The FEM model is a static electromagnetic model, and the spatial magnetic energy integration method is used to obtain the self-inductance and mutual inductance of the coil.
- 3.
- After all the parameters are settled, the high-order partial differential equations are calculated by Newton’s iteration method to obtain the final current distribution in each turn [22].
3. Results and Discussions
3.1. Effect of Pulse Waveform on Trapped Magnetic Field
3.2. Effect of Multi-Pulse Magnetization on the Trapped Magnetic Field
3.2.1. Multi-Pulse Magnetization Test
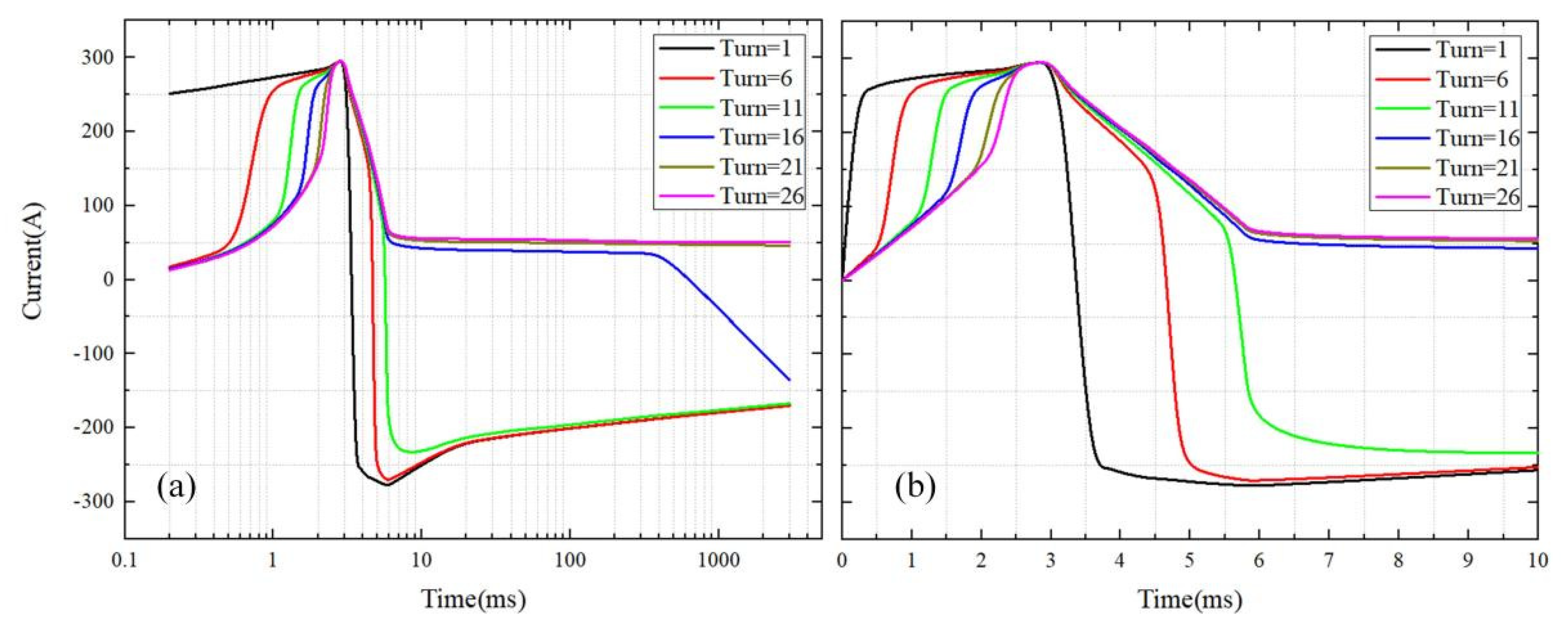
3.2.2. Numerical Analysis of Cumulative Effect
3.3. Decay of the Ring-Shaped Magnet
3.3.1. Decay of Unsaturated Tapes in Ring-shaped Magnets
3.3.2. Decay of Saturated Tapes in the Ring-Shaped Magnet
4. Conclusions
Author Contributions
Funding
Institutional Review Board Statement
Informed Consent Statement
Data Availability Statement
Conflicts of Interest
References
- Lam, P.; Auyeung, K.; Cheng, P.; Wei, W.I.; Yuen, A.P.-W.; Trendell-Smith, N.; Li, J.H.C.; Li, R. Correlating MRI and Histologic Tumor Thickness in the Assessment of Oral Tongue Cancer. Am. J. Roentgenol. 2004, 182, 803–808. [Google Scholar] [CrossRef] [PubMed]
- Varol, A.; Sencimen, M.; Gulses, A.; Altug, H.A.; Dumlu, A.; Kurt, B. Diagnostic importance of MRI and CT scans for synovial osteochondromatosis of the temporomandibular joint. Cranio-J. Craniomandib. Pract. 2011, 29, 313–317. [Google Scholar] [CrossRef] [PubMed]
- Olt, S.; Jakob, P.M. Contrast-enhanced dental MRI for visualization of the teeth and jaw. Magn. Reson. Med. Off. J. Soc. Magn. Reson. Med. 2004, 52, 174. [Google Scholar] [CrossRef]
- Levin, G.A.; Barnes, P.N.; Murphy, J.; Brunke, L.; Long, J.D.; Horwath, J.; Turgut, Z. Persistent current in coils made out of second-generation high temperature superconductor wire. Appl. Phys. Lett. 2008, 93, 631. [Google Scholar] [CrossRef]
- Ali, M.Z.; Zheng, J.; Huber, F.; Zhang, Z.; Yuan, W.; Zhang, M. 4.6 T generated by a high-temperature superconducting ring magnet. Supercond. Sci. Technol. 2020, 33, 04LT01. [Google Scholar] [CrossRef]
- Kim, W.-S.; Lee, S.; Kim, Y.; Lee, J.Y.; Park, S.-H.; Lee, J.-K.; Hong, G.-W.; Han, J.; Choi, K. Persistent Current Mode of a 1-T-Class HTS Pancake Coil for NMR/MRI Applications. IEEE Trans. Appl. Supercond. 2015, 25, 1–4. [Google Scholar]
- Qu, T.; Michael, P.C.; Bascuñán, J.; Lécrevisse, T.; Guan, M.; Hahn, S.; Iwasa, Y. Test of an 8.66-T REBCO Insert Coil with Overbending Radial Build for a 1.3-GHz LTS/HTS NMR Magnet. IEEE Trans. Appl. Supercond. 2017, 27, 1–5. [Google Scholar] [CrossRef]
- Qu, T.; Michael, P.C.; Voccio, J.; Bascunan, J.; Hahn, S.; Iwasa, Y. Persistent-current switch for pancake coils of rare earth-barium-copper-oxide high-temperature superconductor: Design and test results of a double-pancake coil operated in liquid nitrogen (77–65 K) and in solid nitrogen (60–57 K). Appl. Phys. Lett. 2016, 109, 4301205. [Google Scholar] [CrossRef] [PubMed]
- Kosa, J.; Vajda, I.; Gyore, A. Application possibilities with continuous YBCO loops made of HTS wire. J. Phys. Conf. 2010, 234, 032030. [Google Scholar] [CrossRef]
- Lee, H.-G.; Kim, J.-G.; Lee, S.-W.; Kim, W.-S.; Lee, S.-W.; Choi, K.-D.; Hong, G.-W.; Ko, T.-K. Design and fabrication of permanent mode magnet by using coated conductor. Physic C Supercond. 2006, 445, 1099–1102. [Google Scholar] [CrossRef]
- Kosa, J.; Vajda, I. Novel 3-Phase Self-Limiting Transformer with Magnetic Flux Applied by Perfect Closed YBCO Wire Loops. IEEE Trans. Appl. Supercond. 2011, 21, 1388–1392. [Google Scholar] [CrossRef]
- Kosa, J.; Vajda, I.; Gyore, A.; Kohari, Z. Fault current limiter with novel arrangement of perfect YBCO loops made of HTS wire. In Proceedings of the 14th International Power Electronics and Motion Control Conference EPE-PEMC 2010, Ohrid, Macedonia, 6–8 September 2010. [Google Scholar]
- Chen, X.; Zhang, M.; Chen, Y.; Jiang, S.; Gou, H.; Lei, Y.; Shen, B. Superconducting fault current limiter (SFCL) for fail-safe DC-DC conversion: From power electronic device to micro grid protection. Superconductivity 2022, 1, 100003. [Google Scholar] [CrossRef]
- Sotelo, G.G.; dos Santos, G.; Sass, F.; Franca, B.W.; Dias, D.H.; Fortes, M.Z.; Polasek, A.; de Andrade, R. A Review of Superconducting Fault Current Limiters Compared with Other Proven Technologies. Superconductivity 2022, 3, 100018. [Google Scholar] [CrossRef]
- Rong, C.C.; Barnes, P.N.; Levin, G.A.; Miller, J.D.; Santosusso, D.J.; Fitzpatrick, B.K. Investigation of the Relaxation of Persistent Current in Superconducting Closed Loops Made Out of YBCO Coated Conductors. IEEE Trans. Appl. Supercond. 2015, 25, 1–5. [Google Scholar] [CrossRef]
- Qiu, D.; Wu, W.; Pan, Y.; Xu, S.; Zhang, Z.M.; Li, Z.L.; Li, Z.Y.; Wang, Y.; Wang, L.; Zhao, Y.; et al. Experiment and Numerical Analysis on Magnetic Field Stability of Persistent Current Mode Coil Made of HTS-Coated Conductors. IEEE Trans. Appl. Supercond. 2017, 27, 1–5. [Google Scholar] [CrossRef]
- da Cruz, V.S.; Telles, G.; Santos, B.M.O.; Ferreira, A.; de Andrade, R. Study of the Voltage Behavior of Jointless Superconducting 2G Loops During Pulse Magnetization. IEEE Trans. Appl. Supercond. 2020, 30, 8200306. [Google Scholar] [CrossRef]
- Sheng, J.; Zhang, M.; Wang, Y.; Li, X.; Patel, J.; Yuan, W. A new ring-shape high-temperature superconducting trapped-field magnet. Supercond. Sci. Technol. 2017, 30, 094002. [Google Scholar] [CrossRef]
- Sheng, J.; Pan, Y.; Jiang, J.; Li, W.; Shen, B.; Zhang, Z.-W.; Wu, W. A New Concept of a Hybrid Trapped Field Magnet. IEEE Trans. Appl. Supercond. 2019, 29, 0603805. [Google Scholar] [CrossRef]
- Lee, S.; Kim, W.-S.; Kim, Y.; Park, S.H.; Lee, J.-K.; Hahn, J.-H.; Hong, G.-W.; Park, I.H.; Park, C.; Choi, K. Characteristics of an HTS Pancake Coil in Persistent Current Mode Using Wind-and-Flip Winding Method. IEEE Trans. Appl. Supercond. 2017, 23, 4601305. [Google Scholar]
- Chi, C.; Cai, C.; Zhou, D.; Guo, Y.; Yan, W.; Bai, C.; Liu, Z.; Lu, Y.; Fan, F.; Li, M.; et al. Low-frequency magnetic field shielding effect of artificial joint-free REBCO coils. Supercond. Sci. Technol. 2020, 33, 095001. [Google Scholar] [CrossRef]
- Shi, J.; Wang, B.; Shen, B.; Sheng, J. Numerical Study on Ring-shape Superconducting Trapped Field Magnet Based on Circuit Model. IEEE Trans. Appl. Supercond. 2021, 31, 1–5. [Google Scholar] [CrossRef]
- Bean, C.P. Magnetization of hard superconductors. Phys. Rev. Lett. Am. Phys. Soc. 1962, 8, 250–253. [Google Scholar] [CrossRef]










| Parameters | Values |
|---|---|
| Inductance of split coil | 836.8 μH |
| Resistance of split coil | 0.13 Ω |
| Capacitance of C1 | 1100 μF/100 V |
| Manufacture | Shanghai Superconductor |
| Geometry | 10 mm × 75 μm |
| Critical current (77 K) | 440 A@77 K |
| Turn Number | Time-Consuming (FEM Method) | Time-Consuming (Field-Circuit Coupling) |
|---|---|---|
| 3 | 8 h 13 mins | 1 h (parameter calculation) + 2 min (iteration) |
| 51 | / | 2 h (parameter calculation) + 5 min (iteration) |
| Reverse Current (Constant Ic) | Reverse Current (Ic(B)) | |
|---|---|---|
| k1 = 4.4 × 104, k2 = 2.2 × 104 | −547.26 | −637.15 |
| k1 = k2 = 2.2 × 104 | −557.38 | −644.93 |
| k1 = 1.1 × 104, k2 = 2.2 × 104 | −571.13 | −655.27 |
| k1 = 5.5 × 103, k2 = 2.2 × 104 | −587.86 | −677.78 |
| k1 = 2.2 × 104, k2 = 4.4 × 104 | −549.09 | −638.55 |
| k1 = 2.2 × 104, k2 = 1.1 × 104 | −569.39 | −653.13 |
| k1 = 2.2 × 104, k2 = 5.5 × 103 | −584.57 | −659.16 |
Publisher’s Note: MDPI stays neutral with regard to jurisdictional claims in published maps and institutional affiliations. |
© 2022 by the authors. Licensee MDPI, Basel, Switzerland. This article is an open access article distributed under the terms and conditions of the Creative Commons Attribution (CC BY) license (https://creativecommons.org/licenses/by/4.0/).
Share and Cite
Zhao, C.; Shi, J.; Sheng, J.; Chen, W. Study on the Electromagnetic Characteristics of Ring-Shaped Superconducting Permanent Magnets for Medical Applications. Crystals 2022, 12, 1438. https://doi.org/10.3390/cryst12101438
Zhao C, Shi J, Sheng J, Chen W. Study on the Electromagnetic Characteristics of Ring-Shaped Superconducting Permanent Magnets for Medical Applications. Crystals. 2022; 12(10):1438. https://doi.org/10.3390/cryst12101438
Chicago/Turabian StyleZhao, Chen, Jinhong Shi, Jie Sheng, and Wanli Chen. 2022. "Study on the Electromagnetic Characteristics of Ring-Shaped Superconducting Permanent Magnets for Medical Applications" Crystals 12, no. 10: 1438. https://doi.org/10.3390/cryst12101438
APA StyleZhao, C., Shi, J., Sheng, J., & Chen, W. (2022). Study on the Electromagnetic Characteristics of Ring-Shaped Superconducting Permanent Magnets for Medical Applications. Crystals, 12(10), 1438. https://doi.org/10.3390/cryst12101438

