Composition Engineering on the Local Structure and Viscosity of the CaO-SiO2-Al2O3-P2O5-FeO Slag by Machine Learning Methods
Abstract
1. Introduction
2. Calculation Methods
2.1. Model Construction and Parameter Selection
2.2. RDF and CN Calculations
2.3. Viscosity Calculation Method
2.4. Machine Learning (ML) Methods
3. Results and Discussion
3.1. Slag Structure Analysis
3.2. Oxygen Network Structure Analysis
3.3. Distribution of Bond Angles
3.4. Viscosity Prediction with MD Models and Semi-Empirical Models
3.5. ML Model Development for Viscosity Prediction
4. Conclusions
- (1)
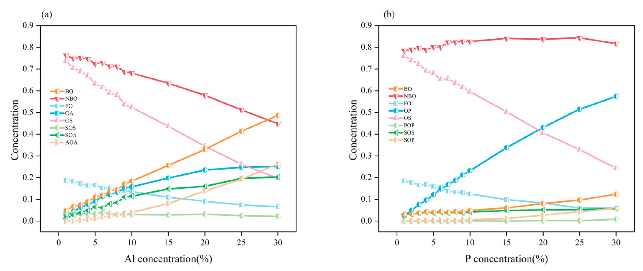
- With the increase in the mass fraction of Al2O3 and P2O5, the concentration of BO increases, and the concentration of FO decreases, which complicates the melt structure of the slag system and increases the polymerization degree.
- (2)
- In the CaO-SiO2-FeO-Al2O3-P2O5 slag system, the content of BO was positively correlated with the content of Al2O3 and P2O5. The positive correlation was stronger for the content of Al2O3.
- (3)
- Different semi-empirical models and RNEMD methods were used to predict the viscosity of the three slag systems. The reliability of the Urbain model in predicting the viscosity of the CaO-SiO2-FeO-Al2O3-P2O5 slag system has been proved according to the Pearson correlation coefficient analysis.
- (4)
- Among all the ML methods in this study, GBDT has the best predictive power for the viscosity prediction of the slag system in this study, building a credible correlation between the structure of the CaO-SiO2-FeO-Al2O3-P2O5 slag system and viscosity prediction. Iso-viscosity lines of the CaO-SiO2-FeO-Al2O3-P2O5 slag system were provided accordingly.
Supplementary Materials
Author Contributions
Funding
Institutional Review Board Statement
Informed Consent Statement
Data Availability Statement
Conflicts of Interest
References
- Tseng, Y.; Weng, T.; Lee, Y. Hot Slag Modification of BOF Slag for Preventing its Disintegration to Enhance Slag Utilization. China Steel Tech. Rep. 2019, 32, 39–43. [Google Scholar]
- Jing, W.; Jiang, J.; Ding, S.; Duan, P. Hydration and microstructure of steel slag as cementitious material and fine aggregate in mortar. Molecules 2020, 25, 4456. [Google Scholar] [CrossRef] [PubMed]
- Wang, Z. Investigations on Physical and Chemical Properties of P-Bearing Steelmaking Slags during the Selective Enrichment Process of Phosphorus. Ph.D. Thesis, University of Science and Technology Beijing, Beijing, China, 1 June 2017. [Google Scholar]
- Wang, Z.; Shu, Q.; Sridhar, S.; Zhang, M.; Guo, M.; Zhang, Z. Effect of P2O5 and FetO on the viscosity and slag structure in steelmaking slags. Metall. Mater. Trans. B 2015, 46, 758–765. [Google Scholar] [CrossRef]
- Wang, Z.; Sun, Y.; Sridhar, S.; Zhang, M.; Guo, M.; Zhang, Z. Effect of Al2O3 on the viscosity and structure of CaO-SiO2-MgO-Al2O3-FetO slags. Metall. Mater. Trans. B 2015, 46, 537–541. [Google Scholar] [CrossRef]
- Seetharaman, S.; Mukai, K.; Sichen, D. Viscosities of slags—An overview. Steel Res. Int. 2005, 76, 267–278. [Google Scholar] [CrossRef]
- Bouhadja, M.; Jakse, N.; Pasturel, A. Stokes–Einstein violation and fragility in calcium aluminosilicate glass formers: A molecular dynamics study. Mol. Simul. 2014, 40, 251–259. [Google Scholar] [CrossRef]
- Santhy, K.; Sowmya, T.; Sankaranarayanan, S.R. Effect of oxygen to silicon ratio on the viscosity of metallurgical slags. ISIJ Int. 2005, 45, 1014–1018. [Google Scholar] [CrossRef]
- Xulong, T.; Min, G.; Xidong, W.; Zuotai, Z.; Mei, Z. Estimation model of viscosity based on modified (NBO/T) ratio. Chin. J. Eng. 2010, 32, 1542–1546. [Google Scholar] [CrossRef]
- Mills, K.C. The influence of structure on the physico-chemical properties of slags. ISIJ Int. 1993, 33, 148–155. [Google Scholar] [CrossRef]
- Jiang, D.; Zhang, J.; Wang, Z.; Feng, C.; Jiao, K.; Xu, R. A prediction model of blast furnace slag viscosity based on principal component analysis and K-nearest neighbor regression. JOM 2020, 72, 3908–3916. [Google Scholar] [CrossRef]
- Saigo, H.; Kc, D.B.; Saito, N. Einstein–Roscoe regression for the slag viscosity prediction problem in steelmaking. Sci. Rep. 2022, 12, 6541. [Google Scholar] [CrossRef] [PubMed]
- Cai, P.; Luan, J.; Liu, J.; Li, C.; Yu, Z.; Zhang, J.; Chou, K. A modified method for calculating the viscosity of multicomponent slags based on Kriging interpolation. Ceram. Int. 2022, 48, 21844–21852. [Google Scholar] [CrossRef]
- Huang, A.; Huo, Y.; Yang, J.; Gu, H.; Li, G. Computational modeling and prediction on viscosity of slags by big data mining. Minerals 2020, 10, 257. [Google Scholar] [CrossRef]
- Diao, J.; Ke, Z.; Jiang, L.; Zhang, Z.; Zhang, T.; Xie, B. Structural Properties of Molten CaO–SiO2–P2O5–FeO System. High Temp. Mater. Processes 2017, 36, 871–876. [Google Scholar] [CrossRef]
- Wu, T.; Wang, Q.; Yu, C.F.; He, S.P. Structural and viscosity properties of CaO-SiO2-Al2O3-FeO slags based on molecular dynamic simulation. J. NonCryst. Solids 2016, 450, 23–31. [Google Scholar] [CrossRef]
- Rappé, A.K.; Casewit, C.J.; Colwell, K.; Goddard, W.A., III; Skiff, W.M. UFF, a full periodic table force field for molecular mechanics and molecular dynamics simulations. J. Am. Chem. Soc. 1992, 114, 10024–10035. [Google Scholar] [CrossRef]
- Thompson, A.P.; Aktulga, H.M.; Berger, R.; Bolintineanu, D.S.; Brown, W.M.; Crozier, P.S.; in’t Veld, P.J.; Kohlmeyer, A.; Moore, S.G.; Nguyen, T.D.; et al. LAMMPS—A flexible simulation tool for particle-based materials modeling at the atomic, meso, and continuum scales. Comput. Phys. Commun. 2022, 271, 108171. [Google Scholar] [CrossRef]
- Stukowski, A. Visualization and analysis of atomistic simulation data with OVITO—The Open Visualization Tool. Model. Simul. Mater. Sci. Eng. 2009, 18, 015012. [Google Scholar] [CrossRef]
- Le Roux, S.; Petkov, V. ISAACS—Interactive structure analysis of amorphous and crystalline systems. J. Appl. Crystallogr. 2010, 43, 181–185. [Google Scholar] [CrossRef]
- Humphrey, W.; Dalke, A.; Schulten, K. VMD: Visual molecular dynamics. J. Mol. Graph. 1996, 14, 33–38. [Google Scholar] [CrossRef]
- Müller, P.F. Reversing the perturbation in nonequilibrium molecular dynamics: An easy way to calculate the shear viscosity of fluids. Phys. Rev. E 1999, 59, 4894. [Google Scholar] [CrossRef] [PubMed]
- Chen, J.; Han, K.; Wang, S.; Li, M.; Chen, J.; Ma, M. Study on thermal conductive enhancement mechanism of nanofluid based on anti-disturbance non-equilibrium molecular dynamics. CIESC J. 2019, 70, 2147–2152. [Google Scholar]
- Jiang, C.; Li, K.; Zhang, J.; Qin, Q.; Liu, Z.; Liang, W.; Sun, M.; Wang, Z. Molecular dynamics simulation on the effect of MgO/Al2O3 ratio on structure and properties of blast furnace slag under different basicity conditions. Metall. Mater. Trans. B 2019, 50, 367–375. [Google Scholar] [CrossRef]
- Mills, K.; Sridhar, S. Viscosities of ironmaking and steelmaking slags. Ironmak. Steelmak. 1999, 26, 262–268. [Google Scholar] [CrossRef]
- Urbain, G. Viscosity estimation of slags. Steel Res. 1987, 58, 111–116. [Google Scholar] [CrossRef]
- Urbain, G.; Boiret, M. Viscosité des laitiers: Mesures et estimations. Mémoires Et Études Sci. De La Rev. De Métallurgie 1989, 86, 209–214. [Google Scholar]
- Kondratiev, A.; Jak, E. Review of experimental data and modeling of the viscosities of fully liquid slags in the Al2O3-CaO-‘FeO’-SiO2 system. Metall. Mater. Trans. B 2001, 32, 1015–1025. [Google Scholar] [CrossRef]
- Wang, S.-C. Artificial neural network. In Interdisciplinary Computing in Java Programming; Springer: Berlin/Heidelberg, Germany, 2003; pp. 81–100. [Google Scholar]
- Biau, G.; Scornet, E. A random forest guided tour. Test 2016, 25, 197–227. [Google Scholar] [CrossRef]
- Balabin, R.M.; Lomakina, E.I. Support vector machine regression (SVR/LS-SVM)—An alternative to neural networks (ANN) for analytical chemistry? Comparison of nonlinear methods on near infrared (NIR) spectroscopy data. Analyst 2011, 136, 1703–1712. [Google Scholar] [CrossRef]
- Li, Q.; Wu, Z.; Wen, Z.; He, B. Privacy-preserving gradient boosting decision trees. In Proceedings of the AAAI Conference on Artificial Intelligence, Virtually, 22 February–1 March 2022; pp. 784–791. [Google Scholar]
- Mijwel, M.M. Artificial Neural Networks Advantages and Disadvantages. Available online: https://www.researchgate.net/publication/323665827 (accessed on 27 January 2018).
- Ma, S.; Li, K.; Zhang, J.; Jiang, C.; Bi, Z.; Sun, M.; Wang, Z.; Li, H. The effects of CaO and FeO on the structure and properties of aluminosilicate system: A molecular dynamics study. J. Mol. Liq. 2021, 325, 115106. [Google Scholar] [CrossRef]













| Ion i | Ion j | Aij (gÅ2/fs2) | βij (1/Å) | Cij (gÅ8/fs2) |
|---|---|---|---|---|
| P | P | 4.56 × 10−22 | 7.0600 | 0 |
| P | Ca | 2.64 × 10−21 | 12.5000 | 0 |
| P | Si | 1.73 × 10−23 | 12.5000 | 4.49 × 10−25 |
| P | Fe | 2.05 × 10−22 | 6.2500 | 0 |
| P | O | 3.04 × 10−23 | 3.4500 | 0 |
| Ca | Ca | 5.27 × 10−21 | 6.2500 | 6.9501 × 10−26 |
| Ca | Si | 4.28 × 10−22 | 6.2500 | 0 |
| Ca | Fe | 3.53 × 10−23 | 6.2500 | 0 |
| Ca | O | 1.15 × 10−20 | 6.0600 | 1.39 × 10−25 |
| Si | Si | 3.47 × 10−23 | 6.2500 | 0 |
| Si | Fe | 9.22 × 10−23 | 12.9001 | 0 |
| Si | O | 1.01 × 10−21 | 6.0600 | 0 |
| Fe | Fe | 4.7 × 10−23 | 3.4500 | 0 |
| Fe | O | 6.41 × 10−22 | 5.1600 | 0 |
| O | O | 2.4 × 10−20 | 5.8800 | 2.78 × 10−25 |
| Al | Al | 6.6302 × 10−23 | 6.2500 | 0 |
| Ca | Al | 5.9095 × 10−22 | 6.2500 | 0 |
| Si | Al | 4.7906 × 10−23 | 6.2500 | 0 |
| O | Al | 1.3775 × 10−21 | 6.0606 | 0 |
| Ion i | Ion j | Dij | xij | |
| Fe | Al | 0.0036 | 3.71 | |
| P | Al | 0.017018 | 4.323 |
| Covariance | Al2O3 | P2O5 |
|---|---|---|
| BO | 0.181464 | 0.026783 |
| NBO | −0.13103 | 0.026341 |
| FO | −0.05388 | −0.05367 |
| ML Methods | GBDT | ANN | RF | SVM |
|---|---|---|---|---|
| RMSE | 0.000424539 | 0.013676 | 0.003173 | 0.011409 |
Publisher’s Note: MDPI stays neutral with regard to jurisdictional claims in published maps and institutional affiliations. |
© 2022 by the authors. Licensee MDPI, Basel, Switzerland. This article is an open access article distributed under the terms and conditions of the Creative Commons Attribution (CC BY) license (https://creativecommons.org/licenses/by/4.0/).
Share and Cite
Lyu, Z.; Gu, C.; Lyu, Z.; Bao, Y. Composition Engineering on the Local Structure and Viscosity of the CaO-SiO2-Al2O3-P2O5-FeO Slag by Machine Learning Methods. Crystals 2022, 12, 1338. https://doi.org/10.3390/cryst12101338
Lyu Z, Gu C, Lyu Z, Bao Y. Composition Engineering on the Local Structure and Viscosity of the CaO-SiO2-Al2O3-P2O5-FeO Slag by Machine Learning Methods. Crystals. 2022; 12(10):1338. https://doi.org/10.3390/cryst12101338
Chicago/Turabian StyleLyu, Ziyu, Chao Gu, Ziyang Lyu, and Yanping Bao. 2022. "Composition Engineering on the Local Structure and Viscosity of the CaO-SiO2-Al2O3-P2O5-FeO Slag by Machine Learning Methods" Crystals 12, no. 10: 1338. https://doi.org/10.3390/cryst12101338
APA StyleLyu, Z., Gu, C., Lyu, Z., & Bao, Y. (2022). Composition Engineering on the Local Structure and Viscosity of the CaO-SiO2-Al2O3-P2O5-FeO Slag by Machine Learning Methods. Crystals, 12(10), 1338. https://doi.org/10.3390/cryst12101338

