Magnetic Properties and Local Structure of the (La, Co) Co-doped Bi1−xLaxFe0.95Co0.05O3
Abstract
:1. Introduction
2. Experiments
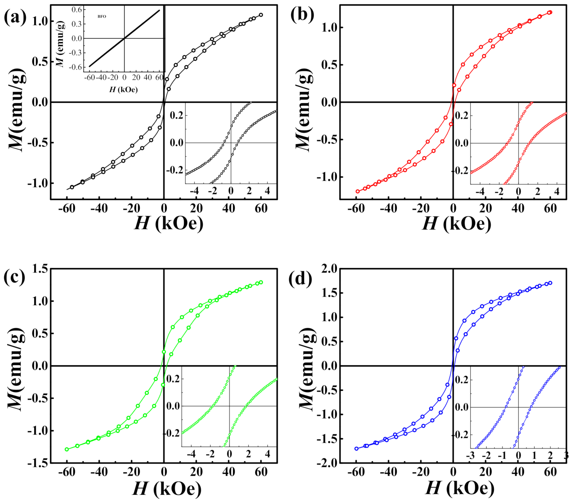
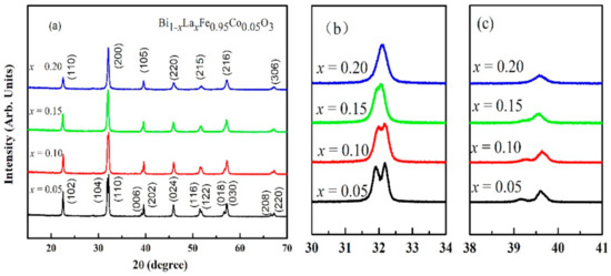
3. Results and Discussion
4. Conclusions
Author Contributions
Funding
Acknowledgments
Conflicts of Interest
References
- Schmid, H. Multi-ferroic magnetoelectrics. Ferroelectrics 1994, 162, 317–338. [Google Scholar] [CrossRef]
- Wang, J.; Neaton, J.B.; Zheng, H.; Nagarajan, V.; Ogale, S.B.; Liu, B.; Viehland, D.; Vaithyanathan, V.; Schlom, D.G.; Waghmare, U.V.; et al. Epitaxial BiFeO3 multiferroic thin film heterostructures. Science 2003, 299, 1719–1722. [Google Scholar] [CrossRef] [PubMed]
- Ma, J.; Hu, J.; Li, Z.; Nan, C.W. Recent progress in multiferroic magnetoelectric composites: From bulk to thin films. Adv. Mater. 2011, 23, 1062–1087. [Google Scholar] [CrossRef] [PubMed]
- Ramesh, R.; Spaldin, N.A. Multiferroics: Progress and prospects in thin films. Nat. Mater. 2007, 6, 9–21. [Google Scholar] [CrossRef] [PubMed]
- Fiebig, M. Revival of the magnetoelectric effect. J. Phys. D Appl. Phys. 2005, 38, R123–R152. [Google Scholar] [CrossRef]
- Marzouki, A.; Loyau, V.; Gemeiner, P.; Bessais, L.; Dkhil, B.; Megriche, A. Increase of magnetic and magnetoelectric properties in Co/Mn co-doped BiFeO3 multiferroic. J. Magn. Magn. Mater. 2020, 498, 166137. [Google Scholar] [CrossRef] [Green Version]
- Zeng, J.; Tang, Z.H.; Tang, M.H.; Xu, D.L.; Xiao, Y.G.; Zeng, B.W.; Li, L.Q.; Zhou, Y.C. Enhanced ferroelectric, dielectric and leakage properties in Ce and Ti co-doping BiFeO3 thin films. J. Sol.-Gel. Sci. Techn. 2014, 72, 587–592. [Google Scholar] [CrossRef]
- Sen, K.; Thakur, S.; Singh, K.; Gautam, A.; Singh, M. Room-temperature magnetic studies of La-modified BiFeO3 ceramic. Mater. Lett. 2011, 65, 1963–1965. [Google Scholar] [CrossRef]
- Kumar, P.; Kar, M. Effect of structural transition on magnetic and dielectric properties of La and Mn co-substituted BiFeO3 ceramics. Mater. Chem. Phys. 2014, 148, 968–977. [Google Scholar] [CrossRef] [Green Version]
- Kuang, D.; Tang, P.; Wu, X.; Ding, X.D.; Yang, S.H.; Zhang, Y.L. Structural, optical and magnetic studies of (Y, Co) co-substituted BiFeO3 thin films. J. Alloy. Compd. 2016, 671, 192–199. [Google Scholar] [CrossRef]
- Xu, Q.; Zai, H.; Wu, D.; Qiu, T.; Xu, M.X. The magnetic properties of Bi (Fe0.95Co0.05) O3 ceramics. Appl. Phys. Lett. 2009, 95, 112510. [Google Scholar] [CrossRef]
- Mao, W.W.; Li, X.A.; Li, Y.T.; Li, P.; Bao, G.; Yang, T.; Yang, J.P. Structural and magnetic properties of single-phase Bi0.9Eu0.1Fe0.95Co0.05O3 and Bi0.9Eu0.05La0.05Fe0.95Co0.05O3 nanoparticles. Mater. Lett. 2012, 76, 135–137. [Google Scholar] [CrossRef]
- Zheng, X.H.; Xu, Q.Y.; Wen, Z.; Lang, X.Z.; Wu, D.; Qiu, T.; Xu, M.X. The magnetic properties of La doped and codoped BiFeO3. J. Alloy. Compd. 2010, 499, 108–112. [Google Scholar] [CrossRef]
- Xi, X.J.; Wang, S.Y.; Liu, W.F.; Wang, H.J.; Guo, F.; Wang, X.; Gao, J.; Li, D.J. Enhanced magnetic and conductive properties of Ba and Co co-doped BiFeO3 ceramics. J. Magn. Magn. Mater. 2014, 355, 259–264. [Google Scholar] [CrossRef]
- Li, Y.B.; Yu, J.; Li, J.J.; Zheng, C.D.; Wu, Y.Y.; Zhao, Y.A.; Wang, M.; Wang, Y.B. Influence of Dy-doping on ferroelectric and dielectric properties in Bi1.05-xDyxFeO3 ceramics. J. Mater. Sci.-Mater. Electron. 2011, 22, 323–327. [Google Scholar] [CrossRef]
- Chauhan, S.; Kumar, M.; Chhoker, S.; Katyal, S.C.; Singh, H.; Jewariya, M.; Yadav, K.L. Multiferroic, magnetoelectric and optical properties of Mn doped BiFeO3 nanoparticles. Solid State Commun. 2012, 152, 525–529. [Google Scholar] [CrossRef]
- Li, X.A.; Wang, X.W.; Li, Y.T.; Mao, W.W.; Li, P.; Yang, T.; Yang, J.P. Structural, morphological and multiferroic properties of Pr and Co co-substituted BiFeO3 nanoparticles. Mater. Lett. 2013, 90, 152–155. [Google Scholar] [CrossRef]
- Dai, H.Y.; Xue, R.Z.; Chen, Z.P.; Li, T.; Chen, J.; Xiang, H.W. Effect of Eu, Ti co-doping on the structural and multiferroic properties of BiFeO3 ceramics. Ceram. Int. 2014, 40, 15617–15622. [Google Scholar] [CrossRef]
- Lan, C.Y.; Jiang, Y.W.; Yang, S.G. Magnetic properties of La and (La, Zr) doped BiFeO3 ceramics. J. Mater. Sci. 2011, 46, 734–738. [Google Scholar] [CrossRef]
- Priyadharsini, P.; Pradeep, A.; Sathyamoorthy, B.; Chandrasekaran, G. Enhanced multiferroic properties in La and Ce co-doped BiFeO3, nanoparticles. J. Phys. Chem. Solids 2014, 75, 797–802. [Google Scholar] [CrossRef]
- Wang, Y.; Guo, Z.Y.; Jia, Q.J.; Dong, J.C.; Zhang, J.; Chen, D.L. Effect of Nd/Mn substitution on the structure and magnetic properties of nano-BiFeO3. J. Alloy. Compd. 2019, 786, 385–393. [Google Scholar] [CrossRef]
- Hojo, H.; Kawabe, R.; Shimizu, K.; Yamamoto, H.; Mibu, K.; Samanta, K.; Saha-Dasgupta, T.; Azuma, M. Ferromagnetism at room temperature induced by spin structure change in BiFe1−xCoxO3 thin films. Adv. Mater. 2017, 29, 1603131. [Google Scholar] [CrossRef] [PubMed]
- Naganuma, H.; Yasui, S.; Nishida, K.; Iijima, T.; Funakubo, H.; Okamura, S. Enhancement of magnetization at morphotropic phase boundary in epitaxial BiCoO3-BiFeO3 solid solution films grown on SrTiO3(100) substrates. J. Appl. Phys. 2011, 109, 07D917. [Google Scholar] [CrossRef]
- Liu, J.; Li, M.; Pei, L.; Wang, J.; Yu, B.; Wang, X.; Zhao, X. Structural and multiferroic properties of the Ce-doped BiFeO3 thin films. J. Alloy. Compd. 2010, 493, 544–548. [Google Scholar] [CrossRef]
- Lee, J.H.; Choi, H.J.; Lee, D.; Kim, M.G.; Bark, C.W.; Ryu, S.; Oak, M.A.; Jang, H.M. Variations of ferroelectric off-centering distortion and 3d-4p orbital mixing in La-doped BiFeO3 multiferroics. Phys. Rev. B 2010, 82, 045113. [Google Scholar] [CrossRef] [Green Version]
- Westre, T.E.; Kennepohl, P.; DeWitt, J.G.; Hedman, B.; Hodgson, K.O.; Solomon, E.I. A multiplet analysis of Fe K-edge 1s→3d pre-edge features of iron complexes. J. Am. Chem. Soc. 1997, 119, 6297–6314. [Google Scholar] [CrossRef]
- Wen, Z.; Shen, X.A.; Wu, D.; Xu, Q.Y.; Wang, J.L.; Li, A.D. Enhanced ferromagnetism at the rhombohedral–tetragonal phase boundary in Pr and Mn co-substituted BiFeO3 powders. Solid State Commun. 2010, 150, 2081–2084. [Google Scholar] [CrossRef]
- Yang, C.; Jiang, J.S.; Qian, F.Z.; Jiang, D.M.; Wang, C.M.; Zhang, W.G. Effect of Ba doping on magnetic and dielectric properties of nanocrystalline BiFeO3 at room temperature. J. Alloy. Compd. 2010, 507, 29–32. [Google Scholar] [CrossRef]
- Hussain, S.; Hasanain, S.K.; Jaffari, G.H.; Ali, N.Z.; Siddique, M.; Shah, S.I. Correlation between structure, oxygen content and the multiferroic properties of Sr doped BiFeO3. J. Alloy. Compd. 2015, 622, 8–16. [Google Scholar] [CrossRef]






| x = 0.0 | x = 0.10 | x = 0.15 | x = 0.20 | |
|---|---|---|---|---|
| a (Å) | 5.579 | 5.570 | 5.564 | 5.574 |
| b (Å) | 5.579 | 5.570 | 5.564 | 5.591 |
| c (Å) | 13.841 | 13.790 | 13.740 | 7.842 |
| χ2 | 1.234 | 1.170 | 1.141 | 1.155 |
| Ms (emu/g) | 1.078 | 1.200 | 1.289 | 1.706 |
| Mr (emu/g) | 0.114 | 0.151 | 0.216 | 0.205 |
| Hc (kOe) | 0.767 | 1.097 | 1.766 | 0.813 |
Publisher’s Note: MDPI stays neutral with regard to jurisdictional claims in published maps and institutional affiliations. |
© 2021 by the authors. Licensee MDPI, Basel, Switzerland. This article is an open access article distributed under the terms and conditions of the Creative Commons Attribution (CC BY) license (https://creativecommons.org/licenses/by/4.0/).
Share and Cite
Li, Y.; Shi, C.; Zhang, H.; He, X.; Liu, L. Magnetic Properties and Local Structure of the (La, Co) Co-doped Bi1−xLaxFe0.95Co0.05O3. Crystals 2021, 11, 1059. https://doi.org/10.3390/cryst11091059
Li Y, Shi C, Zhang H, He X, Liu L. Magnetic Properties and Local Structure of the (La, Co) Co-doped Bi1−xLaxFe0.95Co0.05O3. Crystals. 2021; 11(9):1059. https://doi.org/10.3390/cryst11091059
Chicago/Turabian StyleLi, Yongtao, Chenyong Shi, Hongguang Zhang, Xuemin He, and Liqing Liu. 2021. "Magnetic Properties and Local Structure of the (La, Co) Co-doped Bi1−xLaxFe0.95Co0.05O3" Crystals 11, no. 9: 1059. https://doi.org/10.3390/cryst11091059
APA StyleLi, Y., Shi, C., Zhang, H., He, X., & Liu, L. (2021). Magnetic Properties and Local Structure of the (La, Co) Co-doped Bi1−xLaxFe0.95Co0.05O3. Crystals, 11(9), 1059. https://doi.org/10.3390/cryst11091059

