Systematic Comparison on Convective Heat Transfer Characteristics of Several Pin Fins for Turbine Cooling
Abstract
:1. Introduction
2. Experimental Setup
2.1. Facilities
2.2. Experiment Method
2.3. Description of the Test Section
3. Data Reduction
4. Uncertainty Analysis
5. Results and Discussion
5.1. Nu Distribution on the Endwall
5.1.1. Data Validation
5.1.2. Nu Distribution in Channel with Circle Pin Fins
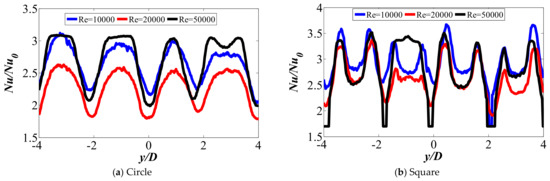
5.1.3. Effect of Pin Fin Shape on Nu Distribution
5.1.4. Effect of Re on Nu Distribution
5.2. Averaged Heat Transfer on the Endwall and Overall Thermal Performance
6. Conclusions
- (1)
 - For the nine types of pin fins tested in the experiment, the flow and heat transfer are generally fully developed downstream the 3rd row. Heat transfer varies substantially with pin fin shapes. The heat transfer enhancement of Diamond-s is the highest, while that of Circle pin fin is the second highest, and that of NACA and Dropform is the lowest. Overall, the heat transfer enhancement of quadrangle shape is the highest, the roundness shape is in the middle and that of the streamline shape is the lowest.
 - (2)
 - The characteristics of Nusselt number distribution and related flow mechanism varies substantially with pin fin shapes. At a low Re, for roundness shapes, dominant heat transfer enhancement downstream of the pin fin is caused by large vortex shedding and the related cross-stream velocity fluctuations. For quadrangle and streamline shapes, shear layer unsteadiness on both sides plays a more important role in heat transfer enhancement. The shear layer unsteadiness contributes more to heat transfer enhancement for Circle pin fins as Re increases. Small-scale unsteadiness in the shear layer becomes more important to heat transfer enhancement as Re increases for all shapes.
 - (3)
 - Large Nusselt numbers correspond to high friction factors. Although Diamond-s pin fin has both the highest Nusselt numbers and friction factors, in terms of overall thermal performance, it is still the best of all the pin fins. The pressure loss of Circle pin fins is lower than Diamond pin fins, but its heat transfer augmentation is higher than Diamond.
 
Author Contributions
Funding
Acknowledgments
Conflicts of Interest
Nomenclature
| Dn | pin fin nominal diameter | 
| Dh | channel hydraulic diameter [4 H*W/2(H+W)] | 
| f | friction factor | 
| f0 | baseline friction factor | 
| fC | friction factor of Circle pin fin | 
| h | heat transfer coefficient | 
| H | pin fin or channel height | 
| k | thermal conductivity of air | 
| kPlexi | thermal conductivity of Plexiglass | 
| l | pin fin length | 
| L | test channel length | 
| ΔP | pressure drop | 
| qcond | conduction heat flux | 
| qconv | convection heat flux | 
| qtotal | total input power | 
| qrad | radiation heat flux | 
| S | spanwise pitch | 
| th | thickness of the foil heater | 
| tPlexi | thickness of the Plexiglass plate that supports the steel plate | 
| Tb | bulk temperature | 
| Text | external wall temperature | 
| Th | foil heater temperature | 
| Tin | inlet plane temperature | 
| Tout | outlet plane temperature | 
| Tp | temperature of the surrounding non-heated wall | 
| Tw | test surface temperature | 
| u | bulk velocity | 
| X | streamwise pitch | 
| Nu | Nusselt number | 
| Nu0 | baseline Nusselt number | 
| NuC | Nusselt number of Circle pin fin | 
| W | channel weight | 
| Pr | Prandtl number | 
| Re | Reynolds number | 
| εw | liquid crystal emissivity | 
| εp | non-heated wall emissivity | 
| ν | kinematic viscosity | 
| ρ | fluid density | 
| σ | Stefan–Boltzmann constant. | 
References
- Han, J.-C.; Dutta, S.; Ekkad, S. Gas Turbine Heat Transfer and Cooling Technology, 2nd ed.; CRC Press: New York, NY, USA, 2012. [Google Scholar] [CrossRef]
 - Han, J.-C. Advanced Cooling in Gas Turbines 2016 Max Jakob Memorial Award Paper. J. Heat Transf. 2018, 140. [Google Scholar] [CrossRef]
 - Rao, Y.; Xu, Y.; Wan, C. An experimental and numerical study of flow and heat transfer in channels with pin fin-dimple and pin fin arrays. Exp. Therm. Fluid Sci. 2012, 38, 237–247. [Google Scholar] [CrossRef]
 - Ma, Y.; Yan, H.; Hooman, K.; Xie, G. Enhanced heat transfer in a pyramidal lattice sandwich panel by introducing pin-fins/protrusions/dimples. Int. J. Therm. Sci. 2020, 156, 106468. [Google Scholar] [CrossRef]
 - Chang, S.W.; Lees, A. Endwall heat transfer and pressure drop in scale-roughened pin-fin channels. Int. J. Therm. Sci. 2010, 49, 702–713. [Google Scholar] [CrossRef]
 - Xie, G.; Sundén, B.; Utriainen, E.; Wang, L. Computational analysis of pin-fin arrays effects on internal heat transfer enhance-ment of a blade tip wall. J. Heat Transf. 2010, 132, 031901. [Google Scholar] [CrossRef]
 - Rao, Y. Jet Impingement Heat Transfer in Narrow Channels with Different Pin Fin Configurations on Target Surfaces. J. Heat Transf. 2018, 140, 072201. [Google Scholar] [CrossRef]
 - Huang, S.-C.; Wang, C.-C.; Liu, Y.-H. Heat transfer measurement in a rotating cooling channel with staggered and inline pin-fin arrays using liquid crystal and stroboscopy. Int. J. Heat Mass Transf. 2017, 115, 364–376. [Google Scholar] [CrossRef]
 - Lawson, S.A.; Thrift, A.A.; Thole, K.; Kohli, A. Heat transfer from multiple row arrays of low aspect ratio pin fins. Int. J. Heat Mass Transf. 2011, 54, 4099–4109. [Google Scholar] [CrossRef] [Green Version]
 - Lyall, M.E.; Thrift, A.A.; Thole, K.; Kohli, A. Heat Transfer from Low Aspect Ratio Pin Fins. J. Turbomach. 2011, 133, 011001. [Google Scholar] [CrossRef] [Green Version]
 - Lau, S.C.; Kim, Y.S.; Han, J.C. Effects of Fin Configuration and Entrance Length on Local Endwall Heat/Mass Transfer in a Pin Fin Channel. In Turbo Expo: Power for Land, Sea, and Air; ASME Paper; 85-WA/HT-62; American Society of Mechanical Engineers: Houston, TX, USA, 1985. [Google Scholar]
 - Armstrong, J.; Winstanley, D. A Review of Staggered Array Pin Fin Heat Transfer for Turbine Cooling Applications. J. Turbomach. 1988, 110, 94–103. [Google Scholar] [CrossRef]
 - Chyu, M.K.; Siw, S.C.; Moon, H.K. Effects of Height-to-Diameter Ratio of Pin Element on Heat Transfer from Staggeredpin-Fin Arrays. In Turbo Expo: Power for Land, Sea, and Air; American Society of Mechanical Engineers: Orlando, FL, USA, 2009; pp. 705–713. [Google Scholar]
 - Chang, S.W.; Liou, T.-M.; Lee, T.-H. Heat Transfer of a Rotating Rectangular Channel with a Diamond-Shaped Pin-Fin Array at High Rotation Numbers. J. Turbomach. 2013, 135, 041007. [Google Scholar] [CrossRef]
 - Pandit, J.; Thompson, M.; Ekkad, S.V.; Huxtable, S.T. Effect of pin fin to channel height ratio and pin fin geometry on heat transfer performance for flow in rectangular channels. Int. J. Heat Mass Transf. 2014, 77, 359–368. [Google Scholar] [CrossRef]
 - Kirsch, K.L.; Ostanek, J.K.; Thole, K.A. Comparison of Pin Surface Heat Transfer in Arrays of Oblong and Cylindrical Pin Fins. J. Turbomach. 2013, 136, 041015. [Google Scholar] [CrossRef]
 - Uzol, O.; Camci, C. Elliptical Pin Fins as an Alternative to Circular Pin Fins for Gas Turbine Blade Cooling Applications: Part 1—Endwall Heat Transfer and Total Pressure Loss Characteristics. In Turbo Expo: Power for Land, Sea, and Air; American Society of Mechanical Engineers: New Orleans, LA, USA, 2001; p. V003T01A056. [Google Scholar] [CrossRef] [Green Version]
 - Sahiti, N.; Lemouedda, A.; Stojkovic, D.; Durst, F.; Franz, E. Performance comparison of pin fin in-duct flow arrays with vari-ous pin cross-sections. Appl. Therm. Eng. 2006, 26, 1176–1192. [Google Scholar] [CrossRef]
 - Jia, Y.; Xia, G.; Li, Y.; Ma, D.; Cai, B. Heat transfer and fluid flow characteristics of combined microchannel with cone-shaped micro pin fins. Int. Commun. Heat Mass Transf. 2018, 92, 78–89. [Google Scholar] [CrossRef]
 - Kirsch, K.; Thole, K.A. Pressure loss and heat transfer performance for additively and conventionally manufactured pin fin arrays. Int. J. Heat Mass Transf. 2017, 108, 2502–2513. [Google Scholar] [CrossRef] [Green Version]
 - Zhang, L.; Yin, J.; Moon, H.K. Airfoil for Turbomachine and Airfoil Cooling Method. U.S. Patent 10,208,606, 19 February 2019. [Google Scholar]
 - Jacobs, N.E. Tests of Six Symmetrical Airfoils in the Variable Density Wind Tunnel, NACA Report, Washington, USA, July, 1931, Volume 385. Available online: https://ntrs.nasa.gov/api/citations/19930081229/downloads/19930081229.pdf (accessed on 12 August 2021).
 - Mayo, I.; Arts, T.; El-Habib, A.; Parres, B. Two-Dimensional Heat Transfer Distribution of a Rotating Ribbed Channel at Dif-ferent Reynolds Numbers. J. Turbomach. 2015, 137. [Google Scholar] [CrossRef]
 - Kline, S.J.; McClintock, F. Describing Uncertainties in Single-Sample Experiments. Mech. Eng. 1953, 75, 3–8. [Google Scholar]
 - Kirsch, K.L.; Ostanek, J.K.; Thole, K.A.; Kaufman, E. Row Removal Heat Transfer Study for Pin Fin Arrays. In Turbo Expo: Power for Land, Sea, and Air; American Society of Mechanical Engineers: New York, NY, USA, 2014; pp. 2014–25348. [Google Scholar] [CrossRef] [Green Version]
 - Duan, J.; Zhang, K.; Xu, J.; Lei, J.; Wu, J. The Flow Field Characteristic Correlated with Heat Transfer Performance in a Wide Channel With Staggered Circular Pin Fins. In Turbo Expo: Power for Land, Sea, and Air; American Society of Mechanical Engineers: New York, NY, USA, 2020; pp. 2020–16177. [Google Scholar] [CrossRef]
 - Ames, F.E.; Dvorak, L.A. The Influence of Reynolds Number and Row Position on Surface Pressure Distributions in Staggered Pin Fin Arrays. In Turbo Expo: Power for Land, Sea, and Air; American Society of Mechanical Engineers: New York, NY, USA, 2006; pp. 149–159. [Google Scholar] [CrossRef]
 - Ostanek, J.K.; Thole, K.A. Flowfield Measurements in a Single Row of Low Aspect Ratio Pin Fins. J. Turbomach. 2012, 134, 051034. [Google Scholar] [CrossRef]
 - Gee, D.L.; Webb, R.L. Forced convection heat transfer in helically rib-roughened tubes. Int. J. Heat Mass Transf. 1980, 23, 1127–1136. [Google Scholar] [CrossRef]
 














Publisher’s Note: MDPI stays neutral with regard to jurisdictional claims in published maps and institutional affiliations.  | 
© 2021 by the authors. Licensee MDPI, Basel, Switzerland. This article is an open access article distributed under the terms and conditions of the Creative Commons Attribution (CC BY) license (https://creativecommons.org/licenses/by/4.0/).
Share and Cite
Xu, J.; Zhang, K.; Duan, J.; Lei, J.; Wu, J. Systematic Comparison on Convective Heat Transfer Characteristics of Several Pin Fins for Turbine Cooling. Crystals 2021, 11, 977. https://doi.org/10.3390/cryst11080977
Xu J, Zhang K, Duan J, Lei J, Wu J. Systematic Comparison on Convective Heat Transfer Characteristics of Several Pin Fins for Turbine Cooling. Crystals. 2021; 11(8):977. https://doi.org/10.3390/cryst11080977
Chicago/Turabian StyleXu, Jin, Ke Zhang, Jingtian Duan, Jiang Lei, and Junmei Wu. 2021. "Systematic Comparison on Convective Heat Transfer Characteristics of Several Pin Fins for Turbine Cooling" Crystals 11, no. 8: 977. https://doi.org/10.3390/cryst11080977
APA StyleXu, J., Zhang, K., Duan, J., Lei, J., & Wu, J. (2021). Systematic Comparison on Convective Heat Transfer Characteristics of Several Pin Fins for Turbine Cooling. Crystals, 11(8), 977. https://doi.org/10.3390/cryst11080977
        
                                                