The Relationship between Compressive Strength and Pore Structure of the High Water Grouting Material
Abstract
:1. Introduction
2. Materials and Methods
2.1. Raw Materials
2.2. Mix Formulation
2.3. Sample Preparation
2.4. Analytical Methods
2.4.1. Compressive Strength Test
2.4.2. Pore Structure Analysis
2.4.3. Hydration Mechanism Analysis
2.4.4. Grey Correlation Analysis Method
3. Results and Discussion
3.1. Compressive Strength
3.2. Pore Structure
3.2.1. The Results of MIP
3.2.2. The Results of 3D-XRM
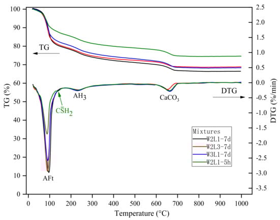
3.3. Hydration Mechanisms
3.4. The Relationship Between Pore Structure and Compressive Strength
4. Conclusions
- (1)
- The high water grouting material presents a high early strength characteristic, and the 1 d compressive strength reaches 76.8% of that at age of 28 d with the w/b ratio of 1.0. The compressive strength increases as the CaO content in lime increases with the w/b ratio of 1.0 or 1.5, while the inverse trend appears with the w/b ratio of 2.0. However, the influence mechanisms of CaO content in lime under different w/b ratios need to be further studied.
- (2)
- The high water grouting material belongs to the macropore material with the pores mainly within 100 nm to 2 μm. The pore structure has a remarkable impact on the macro mechanical property. The CaO content in lime is negatively correlated with the most probable pore diameter. The w/b ratio is positively correlated with porosity, total pore volume, and total pore area. The curing age is negatively correlated with the total pore area.
- (3)
- The hydration products of the high water grouting material contain AFt crystals, C-S-H gels, and AH3 gels. AFt is the uppermost hydration product. The productions of the hydration products are positively correlated with its compressive strength.
- (4)
- According to the grey correlation theory, the compressive strength of the high water grouting material is closely related to the pore characteristic parameters and the pore size distribution, especially the porosity, the most probable pore diameter, and the pore volumes within 100~500 nm and 10~100 nm.
Author Contributions
Funding
Conflicts of Interest
References
- Chen, M.; Huang, Z. Experimental Research on Performances of Dry-Grinding Fine Cement of Grouting. J. Wuhan Univ. Technol. Mater. Sci. Ed. 2002, 17, 66–69. [Google Scholar]
- Huang, W.-H. Properties of cement-fly ash grout admixed with bentonite, silica fume, or organic fiber. Cem. Concr. Res. 1997, 27, 395–406. [Google Scholar] [CrossRef]
- Li, S.; Zhang, J.; Li, Z.; Gao, Y.; Qi, Y.; Li, H.; Zhang, Q. Investigation and practical application of a new cementitious anti-washout grouting material. Constr. Build. Mater. 2019, 224, 66–77. [Google Scholar] [CrossRef]
- Mirza, J.; Mirza, M.; Roy, V.; Saleh, K. Basic rheological and mechanical properties of high-volume fly ash grouts. Constr. Build. Mater. 2002, 16, 353–363. [Google Scholar] [CrossRef]
- Tekin, E. Ince Taneli Cimento (Rheocem 900) Karisimlarinin Reolojik Ozellikleri. J. Fac. Eng. Archit. Gazi Univ. 2011, 26, 777–785. [Google Scholar]
- Xia, J.; Zhang, L.; Yang, Y.; Yu, L. Experimental Study on Durability of Various Grouting Materials. J. Huazhong Univ. Sci. Technol. (Nat. Sci. Ed.) 2018, 46, 99–104. [Google Scholar]
- Zhang, J.; Guan, X.; Li, H.; Liu, X. Performance and hydration study of ultra-fine sulfoaluminate cement-based double liquid grouting material. Constr. Build. Mater. 2017, 132, 262–270. [Google Scholar] [CrossRef]
- Xia, J.; Su, Q.; Liu, D. Optimal gypsum-lime content of high water material. Mater. Lett. 2018, 215, 284–287. [Google Scholar] [CrossRef]
- Xia, J.; Zhao, W.; Liu, D.; Bai, J. Study on the hydration and hardening mechanism of the high-water rapid-setting material. IOP Conf. Ser. Mater. Sci. Eng. 2018, 439, 042044. [Google Scholar] [CrossRef]
- Zhang, Y.; Wang, Y.; Li, T.; Xiong, Z.; Sun, Y. Effects of lithium carbonate on performances of sulphoaluminate cement-based dual liquid high water material and its mechanisms. Constr. Build. Mater. 2018, 161, 374–380. [Google Scholar] [CrossRef]
- He, T.; Liu, C.; Ye, D.; Wang, Y. Experimental Study on Environmental Effects on the Compressive Strength of the High-Water-Content and Quick-Setting Stone. J. Sichuan Univ. (Eng. Sci. Ed.) 2014, 46 (Suppl. 1), 86–91. [Google Scholar]
- Tang, S.; Zhu, H.; Li, Z.; Chen, E.; Shao, H. Hydration stage identification and phase transformation of calcium sulfoaluminate cement at early age. Constr. Build. Mater. 2015, 75, 11–18. [Google Scholar] [CrossRef]
- Huang, L.; Cheng, G.; Huang, S. Effects of Calcination Conditions on the Formation and Hydration Performance of High-Alite White Portland Cement Clinker. Materials 2020, 13, 494. [Google Scholar] [CrossRef] [PubMed] [Green Version]
- Lü, Q.; Qiu, Q.; Zheng, J.; Wang, J.; Zeng, Q. Fractal dimension of concrete incorporating silica fume and its correlations to pore structure, strength and permeability. Constr. Build. Mater. 2019, 228, 116986. [Google Scholar] [CrossRef]
- Allevi, S.; Marchi, M.; Scotti, F.; Bertini, S.; Cosentino, C. Hydration of calcium sulphoaluminate clinker with additions of different calcium sulphate sources. Mater. Struct. 2015, 49, 453–466. [Google Scholar] [CrossRef]
- Zarnaghi, V.N.; Fouroghi-Asl, A.; Nourani, V.; Ma, H. On the pore structures of lightweight self-compacting concrete containing silica fume. Constr. Build. Mater. 2018, 193, 557–564. [Google Scholar] [CrossRef]
- Xie, W.; Xia, J.; Yu, L.; Chang, H. Porous Multiphase Microcharacteristics Research of New Cement-Based Grouting Material Concretion. Adv. Civ. Eng. 2021, 2021, 1–17. [Google Scholar] [CrossRef]
- China National Standards. Standards China Gb/T17671-1999: Method of Testing Cements-Determination of Strength; China National Standards: Beijing, China, 2004. [Google Scholar]
- Zou, C.; Long, G.; Xie, Y.; He, J.; Ma, C.; Zeng, X. Evolution of multi-scale pore structure of concrete during steam-curing process. Microporous Mesoporous Mater. 2019, 288, 109566. [Google Scholar] [CrossRef]
- Tatar, J.; Brenkus, N.R.; Subhash, G.; Taylor, C.R.; Hamilton, H. Characterization of adhesive interphase between epoxy and cement paste via Raman spectroscopy and mercury intrusion porosimetry. Cem. Concr. Compos. 2018, 88, 187–199. [Google Scholar] [CrossRef]
- Sun, Y.; Zhai, C.; Xu, J.; Cong, Y.; Qin, L.; Zhao, C. Characterisation and evolution of the full size range of pores and fractures in rocks under freeze-thaw conditions using nuclear magnetic resonance and three-dimensional X-ray microscopy. Eng. Geol. 2020, 271, 105616. [Google Scholar] [CrossRef]
- Xia, J.; Yu, L.; Su, Q. Study on mechanical properties and microstructure of the new grouting material. IOP Conf. Ser. Mater. Sci. Eng. 2018, 439, 042047. [Google Scholar] [CrossRef]
- Qiu, J.; Zhu, M.; Zhou, Y.; Guan, X. Effect and mechanism of coal gangue concrete modification by fly ash. Constr. Build. Mater. 2021, 294, 123563. [Google Scholar] [CrossRef]
- Xu, J.; Peng, C.; Wan, L.; Wu, Q.; She, W. Effect of Crack Self-Healing on Concrete Diffusivity: Mesoscale Dynamics Simulation Study. J. Mater. Civ. Eng. 2020, 32, 04020149. [Google Scholar] [CrossRef]
- Liu, J.; Li, Y.; Li, Y.; Sang, S.; Li, S. Effects of pore structure on thermal conductivity and strength of alumina porous ceramics using carbon black as pore-forming agent. Ceram. Int. 2016, 42, 8221–8228. [Google Scholar] [CrossRef]
- Zhang, M.; Yao, X.; Guan, J.; Li, L.; Wang, J.; Qing, L. Study of Concrete Strength and Pore Structure Model Based on Grey Relation Entropy. Material 2021, 14, 432. [Google Scholar] [CrossRef]
- Li, H.; Xue, Z.; Liang, H.; Guo, Y.; Liang, G.; Ni, D.; Yang, Z. Influence of defoaming agents on mechanical performances and pore characteristics of Portland cement paste/mortar in presence of EVA dispersible powder. J. Build. Eng. 2021, 41, 102780. [Google Scholar] [CrossRef]
- Zhang, Z.; Scherer, G.W. Physical and chemical effects of isopropanol exchange in cement-based materials. Cem. Concr. Res. 2021, 145, 106461. [Google Scholar] [CrossRef]
- Qoku, E.; Bier, T.A.; Westphal, T. Phase assemblage in ettringite-forming cement pastes: A X-ray diffraction and thermal analysis characterization. J. Build. Eng. 2017, 12, 37–50. [Google Scholar] [CrossRef]
- Gijbels, K.; Pontikes, Y.; Samyn, P.; Schreurs, S.; Schroeyers, W. Effect of NaOH content on hydration, mineralogy, porosity and strength in alkali/sulfate-activated binders from ground granulated blast furnace slag and phosphogypsum. Cem. Concr. Res. 2020, 132, 106054. [Google Scholar] [CrossRef]
- Han, Y.; Xia, J.; Chang, H.; Xu, J. The Influence Mechanism of Ettringite Crystals and Microstructure Characteristics on the Strength of Calcium-Based Stabilized Soil. Materials 2021, 14, 1359. [Google Scholar] [CrossRef] [PubMed]
- Atta-ur-Rehman; Qudoos, A.; Kim, H.G.; Ryou, J. Influence of Titanium Dioxide Nanoparticles on the Sulfate Attack upon Ordinary Portland Cement and Slag-Blended Mortars. Materials 2018, 11, 356. [Google Scholar] [CrossRef] [PubMed] [Green Version]









| Material | Mass Fraction (%) | |||||||||||
|---|---|---|---|---|---|---|---|---|---|---|---|---|
| CaO | Al2O3 | SiO2 | Fe2O3 | SO3 | MgO | K2O | Na2O | CO3 | P2O5 | TiO2 | Others | |
| A | 40.76 | 33.66 | 7.41 | 2.43 | 9 | 0.92 | 0.29 | 0.16 | 3.65 | 0.21 | 1.26 | 0.27 |
| Gypsum | 36.33 | 0.17 | 1.07 | 0.04 | 45.48 | 2.85 | 0.04 | / | 13.67 | / | / | 0.29 |
| L1 | 69.06 | 0.85 | 1.62 | 0.23 | 0.44 | 0.82 | 0.03 | / | 26.84 | / | / | 0.17 |
| L2 | 88.12 | 0.49 | 1.15 | 0.13 | 0.15 | 9.87 | 0.02 | / | 0.00 | / | / | 0.08 |
| L3 | 98.80 | / | / | / | / | / | / | / | / | / | / | 1.20 |
| Mixtures | w/b | Slurry A | Slurry B | |||||
|---|---|---|---|---|---|---|---|---|
| A | AA | Water | Gypsum | Lime | BB | Water | ||
| W1L1 | 1.0 | 100 | 10 | 110 | 80 | 20 (L1) | 10 | 110 |
| W1L2 | 1.0 | 100 | 10 | 110 | 80 | 20 (L2) | 10 | 110 |
| W1L3 | 1.0 | 100 | 10 | 110 | 80 | 20 (L3) | 10 | 110 |
| W2L1 | 1.5 | 100 | 10 | 165 | 80 | 20 (L1) | 10 | 165 |
| W2L2 | 1.5 | 100 | 10 | 165 | 80 | 20 (L2) | 10 | 165 |
| W2L3 | 1.5 | 100 | 10 | 165 | 80 | 20 (L3) | 10 | 165 |
| W3L1 | 2.0 | 100 | 10 | 220 | 80 | 20 (L1) | 10 | 220 |
| W3L2 | 2.0 | 100 | 10 | 220 | 80 | 20 (L2) | 10 | 220 |
| W3L3 | 2.0 | 100 | 10 | 220 | 80 | 20 (L3) | 10 | 220 |
| Mixtures | Porosity | Total Pore Volume (mL/g) | Total Pore Area (m2/g) | Most Probable Pore Diameter (nm) |
|---|---|---|---|---|
| W2L1-7d | 65.92% | 0.9005 | 25.6 | 919.7 |
| W2L3-7d | 66.12% | 0.9057 | 22.4 | 552.1 |
| W3L1-7d | 74.77% | 1.3596 | 32.5 | 835.6 |
| W2L1-28d | 67.71% | 0.9860 | 22.2 | 748.1 |
| Pore Diameter Range (μm) | Pore Volume Percentage | |
|---|---|---|
| MIP | 3D-XRM | |
| 15 < D < 100 | 57.27% | 55.53% |
| 100 ≤ D < 200 | 14.55% | 24.21% |
| 200 ≤ D < 300 | 10.45% | 12.19% |
| D ≥ 300 | 17.73% | 8.08% |
| Samples (k) | Pore Structure Parameters | Pore Size Distribution (mL/g) | Compressive Strength (Mpa) | |||||||
|---|---|---|---|---|---|---|---|---|---|---|
| Porosity (%) | Total Pore Area (m2/g) | Most Probable Pore Diameter (nm) | 0~10 nm | 10~100 nm | 100~500 nm | 500~1000 nm | 1000~10,000 nm | >10,000 nm | ||
| X1 | X2 | X3 | X4 | X5 | X6 | X7 | X8 | X9 | Y | |
| 1(W2L1-7d) | 65.92 | 25.6 | 919.7 | 0.017 | 0.0749 | 0.2188 | 0.4018 | 0.1588 | 0.0292 | 7.97 |
| 2(W2L3-7d) | 66.12 | 22.4 | 552.1 | 0.0113 | 0.0781 | 0.472 | 0.2853 | 0.0322 | 0.0268 | 8.2 |
| 3(W3L1-7d) | 74.77 | 32.5 | 835.6 | 0.0197 | 0.1019 | 0.3447 | 0.7800 | 0.0671 | 0.0462 | 5.53 |
| 4(W2L1-28d) | 67.71 | 22.2 | 748.1 | 0.0131 | 0.0837 | 0.217 | 0.4488 | 0.1981 | 0.0253 | 8.57 |
| γ (xi, y) | x | Porosity | Total Pore Area | Most Probable Pore Diameter | |
| y | |||||
| Compressive Strength | 0.81089 | 0.66906 | 0.80401 | ||
| γ (xi, y) | xi | 0~10 nm | 10~100 nm | 100~500 nm | 500~1000 nm | 1000~10,000 nm | >10,000 nm | |
| y | ||||||||
| Compressive strength | 0.64019 | 0.85787 | 0.93416 | 0.78447 | 0.68154 | 0.74904 | ||
Publisher’s Note: MDPI stays neutral with regard to jurisdictional claims in published maps and institutional affiliations. |
© 2021 by the authors. Licensee MDPI, Basel, Switzerland. This article is an open access article distributed under the terms and conditions of the Creative Commons Attribution (CC BY) license (https://creativecommons.org/licenses/by/4.0/).
Share and Cite
Han, Y.; Xia, J.; Yu, L.; Su, Q.; Chen, X. The Relationship between Compressive Strength and Pore Structure of the High Water Grouting Material. Crystals 2021, 11, 865. https://doi.org/10.3390/cryst11080865
Han Y, Xia J, Yu L, Su Q, Chen X. The Relationship between Compressive Strength and Pore Structure of the High Water Grouting Material. Crystals. 2021; 11(8):865. https://doi.org/10.3390/cryst11080865
Chicago/Turabian StyleHan, Youmin, Junwu Xia, Linli Yu, Qiong Su, and Xiaomiao Chen. 2021. "The Relationship between Compressive Strength and Pore Structure of the High Water Grouting Material" Crystals 11, no. 8: 865. https://doi.org/10.3390/cryst11080865
APA StyleHan, Y., Xia, J., Yu, L., Su, Q., & Chen, X. (2021). The Relationship between Compressive Strength and Pore Structure of the High Water Grouting Material. Crystals, 11(8), 865. https://doi.org/10.3390/cryst11080865

