Fabrication of Superhydrophobic Ni-Co-BN Nanocomposite Coatings by Two-Step Jet Electrodeposition
Abstract
:1. Introduction
2. Experiment
2.1. Experiment Materials
2.2. Preparation Process of Samples
2.3. Fluorination Treatment of Samples
2.4. Sample Characterization
3. Results and Discussions
3.1. Surface Morphologies of Samples
3.2. Hydrophobicity of Samples
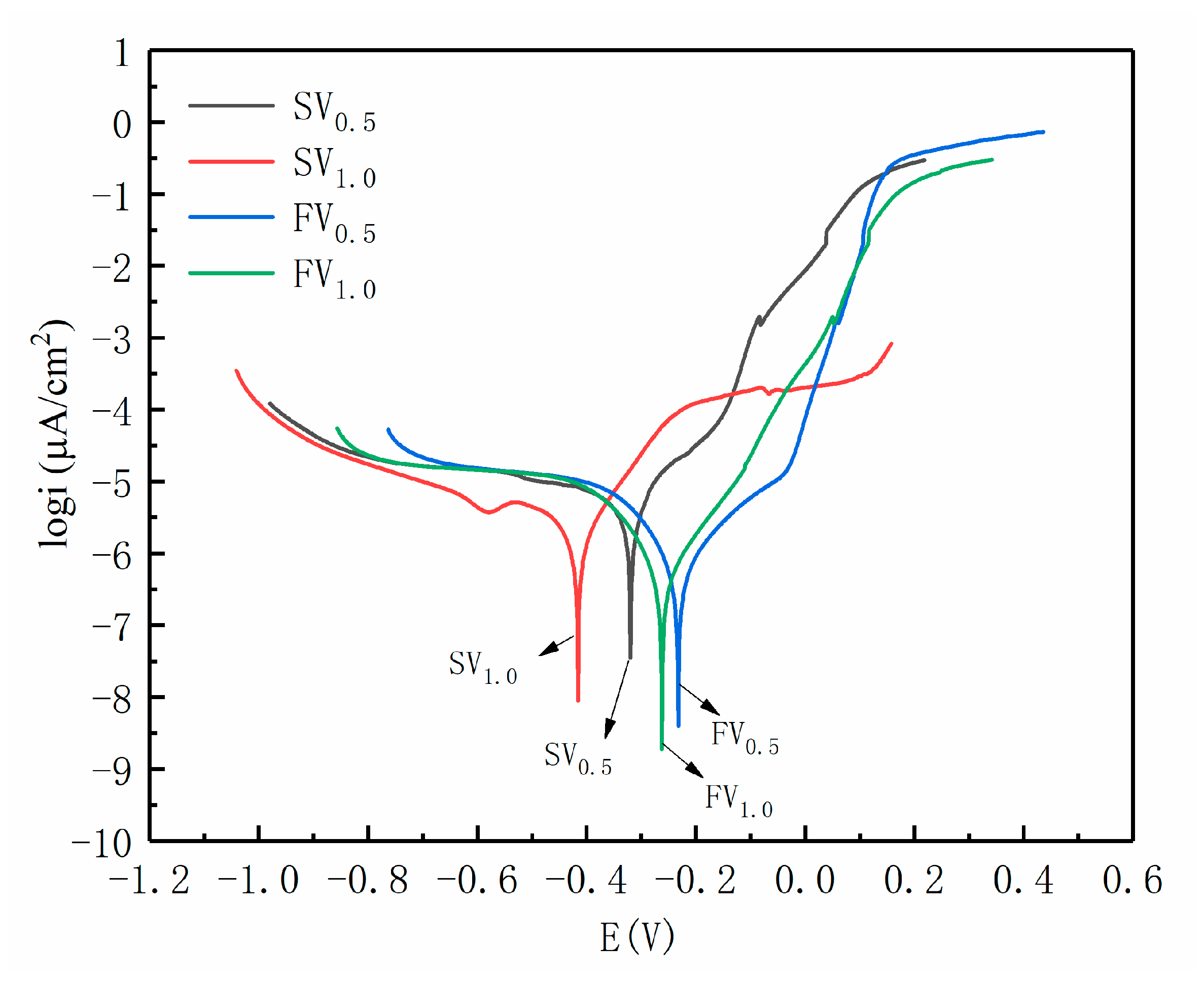
3.3. Corrosion Resistance of Samples
4. Conclusions
- (1)
- The micro-nanostructures of the sample surface have direct effects on the hydrophobicity of the sample. It is beneficial to improve the surface hydrophobicity of samples to prepare and control the micro-nanostructures with proper shape.
- (2)
- Fluorination treatment is very important to improve the surface hydrophobicity of samples. After fluorination treatment, the WCAs of SV0.5, SV1.0, FV0.5, and FV1.0 reached 132.5°, 134.7°, 152.7°, and 155.3°, respectively. The rolling angles of FV0.5 and FV1.0 reached 8.6° and 6.5°, respectively. Superhydrophobic functions were obtained on the surface of FV0.5 and FV1.0.
- (3)
- The measurement and calculation of the superhydrophobic samples showed that the liquid-air interface accounted for more than 80% of the apparent solid-liquid composite interface, and the surface has less adhesion to water-drop and better self-cleaning performance. Electrochemical tests showed that the corrosion resistance of superhydrophobic samples were improved compared with non-superhydrophobic samples.
Author Contributions
Funding
Institutional Review Board Statement
Informed Consent Statement
Data Availability Statement
Acknowledgments
Conflicts of Interest
References
- Liao, X.L.; Sun, D.X.; Cao, S.; Zhang, N.; Huang, T.; Lei, Y.Z.; Wang, Y. Freely switchable super-hydrophobicity and super-hydrophilicity of sponge-like poly (vinylidene fluoride) porous fibers for highly efficient oil/water separation. J. Hazard. Mater. 2021, 416, 125926. [Google Scholar] [CrossRef]
- Zhao, L.; Du, Z.P.; Tai, X.M.; Ma, Y.J. One-step facile fabrication of hydrophobic SiO2 coated super-hydrophobic/super-oleophilic mesh via an improved Stöber method to efficient oil/water separation. Colloids Surf. A 2021, 623, 126404. [Google Scholar] [CrossRef]
- Wang, H.; Wu, Q.; Okagaki, J.; Alizadeh, A.; Shamim, J.A.; Hsu, W.L.; Daiguji, H. Bouncing behavior of a water droplet on a super-hydrophobic surface near freezing temperatures. Int. J. Heat Mass Transfer 2021, 174, 121304. [Google Scholar] [CrossRef]
- Dalhat, M.A. Water resistance and characteristics of asphalt surfaces treated with micronized-recycled-polypropylene waste: Super-hydrophobicity. Constr. Build. Mater. 2021, 285, 122870. [Google Scholar] [CrossRef]
- Song, J.L. Fabrication and application of Extreme Wettability Surfaces on Engineering Metal Materials. Ph.D. Thesis, Dalian University of Technology, Dalian, China, 2015. [Google Scholar]
- Yang, Z.C.; He, X.Y.; Chang, J.F.; Yuan, C.Q.; Bai, X.Q. Facile fabrication of fluorine-free slippery lubricant-infused cerium stearate surfaces for marine antifouling and anticorrosion application. Surf. Coat. Technol. 2021, 278, 123373. [Google Scholar]
- Lee, J.; Jung, S.Y.; Kumbhar, V.S.; Uhm, S.; Kim, H.J.; Lee, K. Formation of aluminum oxide nanostructures via anodization of Al3104 alloy and their wettability behavior for self-cleaning application. Catal. Today 2021, 359, 50–56. [Google Scholar] [CrossRef]
- Wang, F.P.; Zhao, X.J.; Wahid, F.; Zhao, X.Q.; Qin, X.T.; Bai, H.; Xie, Y.Y.; Zhong, C.; Jia, S.R. Sustainable superhydrophobic membranes based on bacterial cellulose for gravity-driven oil/water separation. Carbohydr. Polym. 2021, 253, 117220. [Google Scholar]
- Li, X.J.; Yin, S.H.; Luo, H. Fabrication of robust superhydrophobic Ni-SiO2 composite coatings on aluminum alloy surfaces. Vacuum 2020, 181, 109674. [Google Scholar] [CrossRef]
- Liu, E.Y.; Wang, L.Y.; Ying, X.L.; Hu, J.H.; Yu, S.R.; Zhao, Y.; Xiong, W. Fabrication of a Robust Superhydrophobic Ni Coating with Micro-Nano Dual-Scale Structures on 316L Stainless Steel. Adv. Eng. Mater. 2020, 23, 2000913. [Google Scholar] [CrossRef]
- Song, J.L.; Zhao, D.Y.; Han, Z.J.; Xu, W.; Lu, Y.; Liu, X.; Liu, B.; Carmalt, C.J.; Deng, X.; Parkin, I.P. Super-robust superhydrophobic concrete. J. Mater. Chem. A 2017, 5, 14542–14550. [Google Scholar] [CrossRef]
- Chen, X.M.; Wu, J.; Ma, R.Y.; Hua, M.; Koratkar, N.; Yao, S.H.; Wang, Z.K. Superhydrophobic Surfaces: Nanograssed Micropyramidal Architectures for Continuous Dropwise Condensation. Adv. Eng. Mater. 2011, 21, 4617–4623. [Google Scholar]
- Gao, X.F.; Jiang, L. Biophysics: Water-repellent legs of water striders. Nature 2004, 432, 36. [Google Scholar] [CrossRef]
- Mandal, P.; Perumal, G.; Arora, H.S.; Ghosh, S.K.; Grewal, H.S. Green manufacturing of nanostructured Al-Based sustainable self-cleaning metallic surfaces. J. Clean. Prod. 2021, 278, 123373. [Google Scholar] [CrossRef]
- Gillette, E.; Wittenberg, S.; Graham, L.; Lee, K.; Rubloff, G.; Banerjee, P.; Lee, S.B. Anodization control for barrier-oxide thinning and 3D interconnected pores and direct electrodeposition of nanowire networks on native aluminium substrates. Phys. Chem. Chem. Phys. 2015, 17, 3873–3879. [Google Scholar] [CrossRef]
- La, D.D.; Nguyen, T.A.; Lee, S.; Kim, J.W.; Kin, Y.S. A stable superhydrophobic and superoleophilic Cu mesh based on copper hydroxide nanoneedle arrays. Appl. Surf. Sci. 2011, 257, 5705–5710. [Google Scholar] [CrossRef]
- Liu, C.H.; Zhu, Q.H.; Wei, F.F.; Rao, W.Z.; Liu, J.J.; Hu, J.; Cai, W. An integrated optimization control method for remanufacturing assembly system. J. Clean. Prod. 2019, 248, 119261. [Google Scholar] [CrossRef]
- Liu, C.H.; Zhu, Q.H.; Wei, F.F.; Rao, W.Z.; Liu, J.J.; Hu, J.; Cai, W. A review on remanufacturing assembly management and technology. Int. J. Adv. Manuf. Technol. 2019, 105, 4797–4808. [Google Scholar] [CrossRef]
- Yin, X.L.; Yu, S.R.; Wang, L.Y.; Li, H.; Xiong, W. Design and preparation of superhydrophobic NiS nanorods on Ni mesh for oil-water separation. Sep. Purif. Technol. 2020, 234, 116126. [Google Scholar] [CrossRef]
- Yi, D.G.; Shen, L.D.; Zhu, J. Electrochemical corrosion behavior of nano-crytalline nickle prepared by pulsed friction aided jet electrodeposition. Mater. Sci. Technol. 2015, 23, 96–101. [Google Scholar]
- Wang, X.; Shen, L.D.; Qiu, M.B. Effect of Friction on Preparation of NdFeB Nickel Coating by Jet Electrodepostion. J. Electrochem. Sci. 2018, 13, 7706–7717. [Google Scholar] [CrossRef]
- Li, H.Z.; Kang, M.; Zhang, Y.; Liu, Y.T.; Jin, M.F.; Nyambura, S.M.; Zhu, G.; Liu, C.H. Fabrication of Ni-Co-BN nanocomposite coatings with jet electrodeposition in different pulse parameters. Coatings 2019, 9, 50. [Google Scholar] [CrossRef] [Green Version]
- Cassie, A.B.C.; Baxter, S. Wettability of porous surface. Trans. Faraday Soc. 1944, 40, 546–551. [Google Scholar] [CrossRef]
- Ye, X.D.; Cai, D.B.; Cai, J.W.; Ruan, X.G. Superhydrophobic and self-cleaning coating for building wall protection. Acta Mater. Compos. Sin. 2018, 35, 3271–3279. [Google Scholar]
- Zhang, T.H.; Yan, T.; Zhao, G.Q.; Hu, W.J.H.; Jiao, F.P. Superhydrophobic Micro /Nanostructured Copper Mesh with Self-Cleaning Property for Effective Oil/Water Separation. Chin. J. Chem. Phys. 2019, 32, 635–642. [Google Scholar] [CrossRef] [Green Version]
- Kang, Z.X.; Li, W. Facile and fast fabrication of superhydrophobic surface on magnesium alloy by one-step electrodeposition method. J. Ind. Eng. Chem. 2017, 50, 50–56. [Google Scholar] [CrossRef]
- Su, F.H.; Yao, K. Facile fabrication of superhydrophobic surface with excellent mechanical abrasion and corrosion resistance on copper substrate by a novel method. ACS Appl. Mater. Interfaces 2014, 6, 8762–8770. [Google Scholar] [CrossRef] [PubMed]
- Liang, J.S.; Li, D.; Wang, D.Z.; Liu, K.Y.; Chen, L. Preparation of stable superhydrophobic film on stainless steel substrate by a combined approach using electrodeposition and fluorinated modification. Appl. Surf. Sci. 2014, 293, 265–270. [Google Scholar] [CrossRef]
- Dong, H.M.; He, Z.; Zhang, S.; Sun, D. Effect of temperature and bias voltage on electrical and electrochemical properties of diamond-like carbon films deposited with HiPIMS. Surf. Coat. Technol. 2019, 358, 987–993. [Google Scholar] [CrossRef]
- Xia, F.F.; Zhao, X.D.; Ma, C.Y.; Zhou, Y.G.; Yu, H.; Zhang, H.Z. Effect of pulsed electrodeposition parameters on corrosion resistance properties of Ni-TiN nanocoating. Ordnance Mater. Sci. Eng. 2020, 43, 1–4. [Google Scholar]
- Seifzadeh, D.; Hollagh, A.R. Corrosion Resistance Enhancement of AZ91D Magnesium Alloy by Electroless Ni-Co-P Coating and Ni-Co-P-SiO2 Nanocomposite. J. Mater. Eng. Perform. 2014, 23, 4109–4121. [Google Scholar] [CrossRef]













| Solution | Component (g/L) | 
|---|---|
| Plating solution | 200.0 NiSO4·6H2O + 10.0 CoSO4·7H2O + 50.0 NiCl2·6H2O + 30.0 H3BO3 + 0.05 Sodium dodecyl sulfate + 0.002 Thiourea +5.0 BN nanoparticles (50 nm) | 
| Electro-cleaning solution | 25.0 NaOH + 21.7 Na2CO3 + 50.0 Na3PO4 + 2.4 NaCl | 
| Strong activating solution | 25.0 HCl + 140.1 NaCl | 
| Weak activating solution | 141.2 Na3C6H5O7·2H2O + 94.2 H3C6H5O7·H2O + 3.0 NiCl2·6H2O | 
| Samples | Corrosion Current Density Icorr (µA/cm2) | Corrosion Potential Ecorr (mV) | Polarization Resistance Rp (kΩ cm2) | Corrosion Rate (μm/year) | 
|---|---|---|---|---|
| SV0.5 | 4.33 | −0.32 | 5.76 | 54.78 | 
| SV1.0 | 2.07 | −0.41 | 12.61 | 25.04 | 
| FV0.5 | 0.87 | −0.23 | 29.04 | 10.28 | 
| FV1.0 | 0.79 | −0.26 | 32.85 | 9.34 | 
| Publisher’s Note: MDPI stays neutral with regard to jurisdictional claims in published maps and institutional affiliations. | 
© 2021 by the authors. Licensee MDPI, Basel, Switzerland. This article is an open access article distributed under the terms and conditions of the Creative Commons Attribution (CC BY) license (https://creativecommons.org/licenses/by/4.0/).
Share and Cite
Li, H.; Li, Y.; Zhao, G.; Zhang, B.; Zhu, G. Fabrication of Superhydrophobic Ni-Co-BN Nanocomposite Coatings by Two-Step Jet Electrodeposition. Crystals 2021, 11, 813. https://doi.org/10.3390/cryst11070813
Li H, Li Y, Zhao G, Zhang B, Zhu G. Fabrication of Superhydrophobic Ni-Co-BN Nanocomposite Coatings by Two-Step Jet Electrodeposition. Crystals. 2021; 11(7):813. https://doi.org/10.3390/cryst11070813
Chicago/Turabian StyleLi, Hengzheng, Yanjiang Li, Guangzhen Zhao, Binhui Zhang, and Guang Zhu. 2021. "Fabrication of Superhydrophobic Ni-Co-BN Nanocomposite Coatings by Two-Step Jet Electrodeposition" Crystals 11, no. 7: 813. https://doi.org/10.3390/cryst11070813
APA StyleLi, H., Li, Y., Zhao, G., Zhang, B., & Zhu, G. (2021). Fabrication of Superhydrophobic Ni-Co-BN Nanocomposite Coatings by Two-Step Jet Electrodeposition. Crystals, 11(7), 813. https://doi.org/10.3390/cryst11070813
 
         
                                                
 
       