Crack Resistance of Insulated GRC-PC Integrated Composite Wall Panels under Different Environments: An Experimental Study
Abstract
:1. Introduction
2. Materials and Methods
2.1. Experimental Raw Materials and Equipment
2.2. Experiment on Mechanical Properties of Materials
2.3. Shrinkage Experiment of GRC-PC Composite Wall Panels
2.3.1. Specimen Design
2.3.2. Process of Experiment
3. Results and Discussion
3.1. Experimental Results of Mechanical Properties of Materials
3.2. Shrinkage Experiment Results and Discussion
3.2.1. Cracking Analysis of Experimental Panels
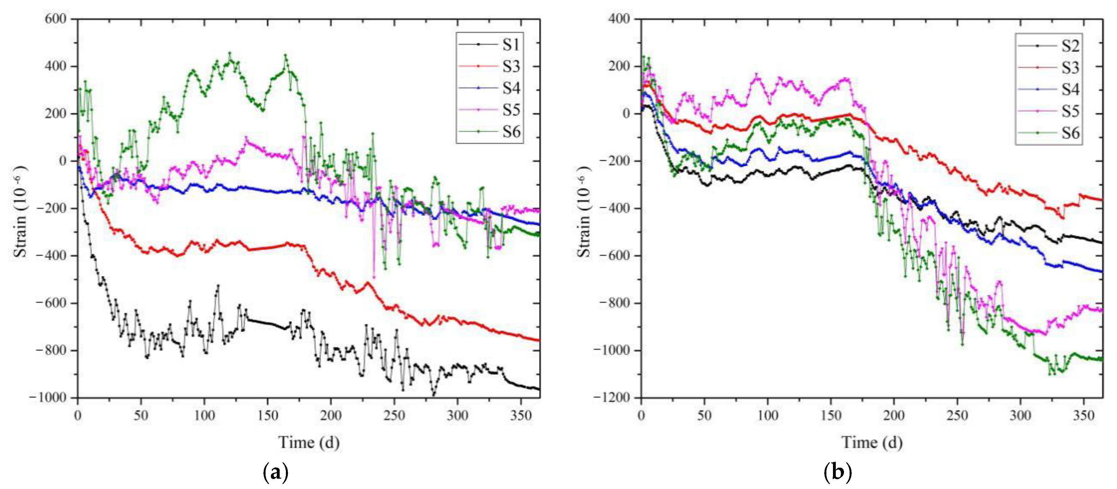
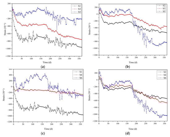
3.2.2. Shrinkage Analysis of Wall Panels with Different Interface Types
3.2.3. Shrinkage Analysis of Wall Panel under Different Environments
4. Conclusions
Author Contributions
Funding
Institutional Review Board Statement
Informed Consent Statement
Data Availability Statement
Conflicts of Interest
References
- Majumdar, A.J.; Laws, V. Glass Fiber Reinforced Cement; BSP Professional Books: Oxford, UK, 2001; pp. 46–53. [Google Scholar]
- Enfedaque, A.; Gálvez, J.C.; Suárez, F. Analysis of fracture tests of glass fiber reinforced cement (GRC) using digital image correlation. Constr. Build. Mater. 2015, 75, 472–487. [Google Scholar] [CrossRef]
- Cheng, C.; He, J.; Zhang, J.; Yang, Y. Study on the time-dependent mechanical properties of glass fiber reinforced cement (GRC) with fly ash or slag. Constr. Build. Mater. 2019, 217, 128–136. [Google Scholar] [CrossRef]
- Baghdadi, A.; Heristchian, M.; Kloft, H. Design of prefabricated wall-floor building systems using meta-heuristic optimization algorithms. Autom. Constr. 2020, 114, 103156. [Google Scholar] [CrossRef]
- Zhang, Z.; Chen, J.; Elbashiry, E.M.A.; Guo, Z.; Yu, X. Effects of changes in the structural parameters of bionic straw sandwich concrete beetle elytron plates on their mechanical and thermal insulation properties. J. Mech. Behav. Biomed. Mater. 2019, 90, 217–225. [Google Scholar] [CrossRef] [PubMed]
- Noël, M.; Soudki, K. Estimation of the crack width and deformation of FRP-reinforced concrete flexural members with and without transverse shear reinforcement. Eng. Struct. 2014, 59, 393–398. [Google Scholar] [CrossRef]
- João, R.C.; João, F.; Fernando, A.B. A rehabilitation study of sandwich GRC facade panels. Constr. Build. Mater. 2005, 20, 554–561. [Google Scholar] [CrossRef]
- Brandt, M.A. Fiber reinforced cement-based (FRC) composites after over 40 years of development in building and civil engineering. Compos. Struct. 2008, 1, 86. [Google Scholar] [CrossRef]
- Abaeian, R.; Behbahani, H.P.; Moslem, S.J. Effects of high temperatures on mechanical behavior of high strength concrete reinforced with high performance synthetic macro polypropylene (HPP) fibers. Constr. Build. Mater. 2018, 165, 631–638. [Google Scholar] [CrossRef]
- Ferreira, J.; Branco, F. Structural application of GRC in telecommunication towers. Constr. Build. Mater. 2007, 21, 19–28. [Google Scholar] [CrossRef]
- Liu, Y.F.; Wu, C.F. Experimental study on the elasticity modulus of glass fiber reinforced concrete. Concrete 2017, 6, 64–66+79. [Google Scholar] [CrossRef]
- Zhao, W.H.; Su, Q.; Li, T.; Huang, J.J. Experimental research on mechanical properties of light-weight foamed concrete with glass fiber reinforcement. Indust. Constr. 2017, 47, 110–114+80. [Google Scholar] [CrossRef]
- Shen, W.; Yang, D.Y.; Luo, J.J.; Huang, J.S.; Liu, X.; Zhu, Z.D. Research of the long-term mechanical properties of alkali resistant glass fiber concrete. Concrete 2017, 6, 102–106. [Google Scholar]
- Qian, W.; He, W.X. The Study on Mechanical Properties of Glass Fiber and Fly Ash Composite Cement Soil. J. Solid Waste Technol. Manag. 2018, 44, 361–369. [Google Scholar] [CrossRef]
- Lura, P.; Jensen, O.M.; Weiss, J. Cracking in cement paste induced by autogenous shrinkage. Mater. Struct. 2009, 42, 1089–1099. [Google Scholar] [CrossRef]
- He, Z.; Li, Z.J. Influence of alkali on restrained shrinkage behavior of cement-based materials. Cem. Concr. Res. 2004, 35, 457–463. [Google Scholar] [CrossRef]
- Sant, G. The influence of temperature on autogenous volume changes in cementitious materials containing shrinkage reducing admixtures. Cem. Concr. Compos. 2012, 34, 855–865. [Google Scholar] [CrossRef]
- Yuan, Z.; Jia, Y. Mechanical properties and microstructure of glass fiber and polypropylene fiber reinforced concrete: An experimental study. Constr. Build. Mater. 2021, 266, 121048. [Google Scholar] [CrossRef]
- Enfedaque, A.; Paradela, L.S.; Sánchez-Gálvez, V. An alternative methodology to predict aging effects on the mechanical properties of glass fiber reinforced cements (GRC). Constr. Build. Mater. 2012, 27, 425–431. [Google Scholar] [CrossRef] [Green Version]
- Bian, G.R.; Li, B.Z.; Li, M.; Xu, W.; Tian, Q. Influence of Variable Temperature Condition on Crack Resistance of Concrete. China Concr. Cem. Prod. 2021, 2, 23–26. [Google Scholar] [CrossRef]
- Ye, H.; Radlińska, A.; Neves, J. Drying and carbonation shrinkage of cement paste containing alkalis. Mater. Struct. 2017, 50, 132. [Google Scholar] [CrossRef]
- Nguyen, T.-T.; Waldmann, D.; Bui, T.Q. Phase field simulation of early-age fracture in cement-based materials. Int. J. Solids Struct. 2020, 191–192. [Google Scholar] [CrossRef]
- Kumarappa, D.B.; Peethamparan, S.; Ngami, M. Autogenous shrinkage of alkali activated slag mortars: Basic mechanisms and mitigation methods. Cem. Concr. Res. 2018, 109, 1–9. [Google Scholar] [CrossRef]
- Wu, Z.T.; Zhang, Y.S.; Liu, N.D.; Zhang, Y.T.; Yuan, D.F.; Wang, T.; Gu, J.S. Shrinkage properties of glass fiber reinforced cement-based materials. Bull. Chin. Ceram. Soc. 2019, 38, 2570–2577. [Google Scholar] [CrossRef]
- Chylík, R.; Fládr, J.; Petr, B.; Trtík, T.; Vráblík, L. An analysis of the applicability of existing shrinkage prediction models to concretes containing steel fibers or crumb rubber. J. Build. Eng. 2019, 24. [Google Scholar] [CrossRef]
- Guo, J.; Zhang, S.; Guo, T.; Zhang, P. Effects of UEA and MgO expansive agents on fracture properties of concrete. Constr. Build. Mater. 2020, 263, 120245. [Google Scholar] [CrossRef]
- Moosa, M.; Hemin, K.; Mohammad, K. Fracture behavior of monotype and hybrid fiber reinforced self-compacting concrete at different temperatures. Adv. Concr. Constr. 2020, 9, 375–386. [Google Scholar]
- He, J.H.; Cheng, C.M.; Zhang, Y.F.; Hong, S.L. Effect of glass fiber parameters on plastic shrinkage cracking of mortar. Concrete 2020, 10, 118–120. [Google Scholar]
- Shen, D.; Wen, C.; Zhu, P.; Wu, Y.; Wu, Y. Influence of Barchip fiber on early-age autogenous shrinkage of high-strength concrete internally cured with super absorbent polymers. Constr. Build. Mater. 2020, 264, 119983. [Google Scholar] [CrossRef]
- Kasagani, H.; Rao, C. Effect of graded fibers on stress strain behaviour of Glass Fiber Reinforced Concrete in tension. Constr. Build. Mater. 2018, 183, 592–604. [Google Scholar] [CrossRef]
- Li, Q.R.; Xu, R. Experimental study on RAC performance enhancement and micro action mechanism of metakaolin. Concrete 2021, 5, 84–87. [Google Scholar] [CrossRef]
- Almusallam, A.A. Effect of environmental conditions on the properties of fresh and hardened concrete. Cem. Concr. Compos. 2001, 23, 353–361. [Google Scholar] [CrossRef]












| Cement (kg/m3) | Sand (kg/m3) | Water (kg/m3) | Fly Ash (kg/m3) | Metakaolin (kg/m3) | Water Reducing Admixture (kg/m3) | Glass Fiber (kg/m3) | Rubber Powder (kg/m3) | Expansion Agent (kg/m3) |
|---|---|---|---|---|---|---|---|---|
| 888 | 1248 | 322 | 56 | 166 | 31 | 34 | 28 | 64 |
| Type of Material Property Test | Test Block Size (mm) | Type and Number of Test Blocks | |
|---|---|---|---|
| Compressive strength test | 150 × 150 × 150 | GRC-12 | PC-12 |
| Elastic modulus test | 150 × 150 × 150 | GRC-12 | PC-12 |
| Specimen Number | Specimen Size (Length × Width × Height) (mm) | GRC Thickness (mm) | Concrete Thickness (mm) | Type of Interface | Environment | Period |
|---|---|---|---|---|---|---|
| S0 | 1000 × 1000 × 15 | 15 | -- | -- | indoor | 1 June 2019 to 1 September 2019 |
| S1 | 1000 × 1000 × 15 | 15 | -- | -- | indoor | 1 October 2019 to 1 September 2020 |
| S2 | 1000 × 1000 × 60 | -- | 60 | -- | indoor | |
| S3 | 1000 × 1000 × (15 + 60) | 15 | 60 | smooth | indoor | |
| S4 | 1000 × 1000 × (15 + 60) | 15 | 60 | rough | indoor | |
| S5 | 1000 × 1000 × (15 + 60) | 15 | 60 | smooth | outdoor | |
| S6 | 1000 × 1000 × (15 + 60) | 15 | 60 | rough | outdoor |
| Group | Age (d) | Materials | Compressive Strength (MPa) | Average Compressive Strength (MPa) | ||
|---|---|---|---|---|---|---|
| Specimen 1 | Specimen 2 | Specimen 3 | ||||
| I | 7 | GRC | 52.57 | 60.25 | 55.78 | 56.20 |
| Concrete | 24.36 | 25.42 | 23.78 | 24.52 | ||
| II | 14 | GRC | 59.68 | 60.52 | 57.24 | 59.15 |
| Concrete | 26.59 | 27.15 | 28.46 | 27.40 | ||
| III | 21 | GRC | 67.50 | 63.62 | 60.47 | 63.86 |
| Concrete | 28.00 | 28.57 | 29.61 | 28.73 | ||
| IV | 28 | GRC | 67.27 | 65.86 | 66.85 | 66.66 |
| Concrete | 31.02 | 31.01 | 31.07 | 30.68 | ||
| Group | Age(d) | Materials | Elastic Modulus Values (GPa) | Average Modulus of Elasticity (GPa) | ||
|---|---|---|---|---|---|---|
| Specimen 1 | Specimen 2 | Specimen 3 | ||||
| I | 7 | GRC | 27.20 | 28.5 | 27.45 | 27.72 |
| Concrete | 23.40 | 21.87 | 22.45 | 22.57 | ||
| II | 14 | GRC | 27.60 | 28.64 | 29.63 | 28.62 |
| Concrete | 25.71 | 23.43 | 23.87 | 24.34 | ||
| III | 21 | GRC | 28.32 | 28.90 | 29.80 | 29.01 |
| Concrete | 27.25 | 28.21 | 28.96 | 28.14 | ||
| IV | 28 | GRC | 30.63 | 30.71 | 33.35 | 31.56 |
| Concrete | 29.32 | 31.47 | 30.63 | 30.47 | ||
| Number | Maximum Strain Value of GRC (MPa) | Maximum Strain Value of PC (MPa) |
|---|---|---|
| S1 | 988.934 × 10−6 | - |
| S2 | - | 546.987 × 10−6 |
| S3 | 759.234 × 10−6 | 441.238 × 10−6 |
| S4 | 270.548 × 10−6 | 668.534 × 10−6 |
| S5 | 490.728 × 10−6 | 975.871 × 10−6 |
| S6 | 454.864 × 10−6 | 1100.23 × 10−6 |
Publisher’s Note: MDPI stays neutral with regard to jurisdictional claims in published maps and institutional affiliations. |
© 2021 by the authors. Licensee MDPI, Basel, Switzerland. This article is an open access article distributed under the terms and conditions of the Creative Commons Attribution (CC BY) license (https://creativecommons.org/licenses/by/4.0/).
Share and Cite
Chen, D.; Li, P.; Cheng, B.; Chen, H.; Wang, Q.; Zhao, B. Crack Resistance of Insulated GRC-PC Integrated Composite Wall Panels under Different Environments: An Experimental Study. Crystals 2021, 11, 775. https://doi.org/10.3390/cryst11070775
Chen D, Li P, Cheng B, Chen H, Wang Q, Zhao B. Crack Resistance of Insulated GRC-PC Integrated Composite Wall Panels under Different Environments: An Experimental Study. Crystals. 2021; 11(7):775. https://doi.org/10.3390/cryst11070775
Chicago/Turabian StyleChen, Dong, Pengkun Li, Baoquan Cheng, Huihua Chen, Qiong Wang, and Baojun Zhao. 2021. "Crack Resistance of Insulated GRC-PC Integrated Composite Wall Panels under Different Environments: An Experimental Study" Crystals 11, no. 7: 775. https://doi.org/10.3390/cryst11070775
APA StyleChen, D., Li, P., Cheng, B., Chen, H., Wang, Q., & Zhao, B. (2021). Crack Resistance of Insulated GRC-PC Integrated Composite Wall Panels under Different Environments: An Experimental Study. Crystals, 11(7), 775. https://doi.org/10.3390/cryst11070775

