Catalytic Effect of Ti or Pt in a Hexagonal Boron Nitride Surface for Capturing CO2
Abstract
1. Introduction
2. Materials and Methods
3. Results
3.1. hBN Surface with a B Vacancy
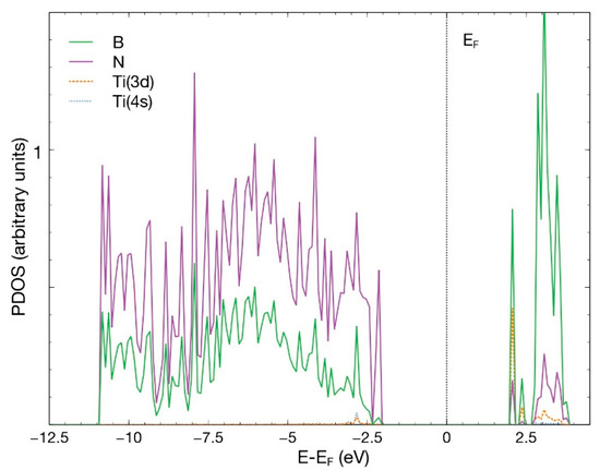
3.1.1. Ti Absorption on a B Vacancy
3.1.2. CO2 Absorption on an hBN Surface + Ti Absorbed in a B Vacancy
3.1.3. Pt Absorption on an hBN Surface with a B Vacancy
3.1.4. Interaction between CO2 and the hBN Surface + Pt in a B Vacancy
3.2. hBN Surface with an N Vacancy
3.2.1. Ti Absorption on an N Vacancy
3.2.2. CO2 Absorption on an hBN Surface + Ti Absorbed in an N Vacancy
3.2.3. Pt Absorption on an hBN Surface with an N Vacancy
Interaction between CO2 and the hBN Surface + Pt in an N Vacancy
4. Discussion
Author Contributions
Funding
Institutional Review Board Statement
Informed Consent Statement
Acknowledgments
Conflicts of Interest
References
- Watanabe, K.; Taniguchi, T.; Kanda, H. Direct-Bandgap Properties and Evidence for Ultraviolet Lasing of Hexagonal Boron Nitride Single Crystal. Nat. Mater. 2004, 3, 404–409. [Google Scholar] [CrossRef] [PubMed]
- Tran, T.T.; Bray, K.; Ford, M.J.; Toth, M.; Aharonovich, I. Quantum Emission from Hexagonal Boron Nitride Monolayers. Nat. Nanotechnol. 2016, 11, 37–41. [Google Scholar] [CrossRef]
- Ajori, S.; Ameri, A.; Ansari, R. Characterizing the Mechanical Properties and Fracture Pattern of Defective Hexagonal Boron-Nitride Sheets with Focus on Stone-Wales Defect. Superlattices Microstruct. 2020, 142, 106526. [Google Scholar] [CrossRef]
- Rahman, F.A.; Aziz, M.M.A.; Saidur, R.; Bakar, W.A.W.A.; Hainin, M.R.; Putrajaya, R.; Hassan, N.A. Pollution to Solution: Capture and Sequestration of Carbon Dioxide (CO2 ) and Its Utilization as a Renewable Energy Source for a Sustainable Future. Renew. Sustain. Energy Rev. 2017, 71, 112–126. [Google Scholar] [CrossRef]
- Choi, H.; Park, Y.C.; Kim, Y.-H.; Lee, Y.S. Ambient Carbon Dioxide Capture by Boron-Rich Boron Nitride Nanotube. J. Am. Chem. Soc. 2011, 133, 2084–2087. [Google Scholar] [CrossRef] [PubMed]
- Gao, G.; Ma, F.; Jiao, Y.; Sun, Q.; Jiao, Y.; Waclawik, E.; Du, A. Modelling CO2 Adsorption and Separation on Experimentally-Realized B 40 Fullerene. Comput. Mater. Sci. 2015, 108, 38–41. [Google Scholar] [CrossRef]
- Sun, Q.; Li, Z.; Searles, D.J.; Chen, Y.; Lu, G.; Du, A. Charge-Controlled Switchable CO2 Capture on Boron Nitride Nanomaterials. J. Am. Chem. Soc. 2013, 135, 8246–8253. [Google Scholar] [CrossRef] [PubMed]
- Qu, M.; Qin, G.; Du, A.; Fan, J.; Sun, Q. B 80 Fullerene: A Promising Metal-Free Photocatalyst for Efficient Conversion of CO2 to HCOOH. J. Phys. Chem. C 2019, 123, 24193–24199. [Google Scholar] [CrossRef]
- Owuor, P.S.; Park, O.-K.; Woellner, C.F.; Jalilov, A.S.; Susarla, S.; Joyner, J.; Ozden, S.; Duy, L.; Villegas Salvatierra, R.; Vajtai, R.; et al. Lightweight Hexagonal Boron Nitride Foam for CO2 Absorption. ACS Nano 2017, 11, 8944–8952. [Google Scholar] [CrossRef]
- Wang, L.; Wang, Y.; Zhang, R.; Ding, R.; Chen, X.; Lv, B. Edge-Activating CO2—Mediated Ethylbenzene Dehydrogenation by a Hierarchical Porous BN Catalyst. ACS Catal. 2020, 10, 6697–6706. [Google Scholar] [CrossRef]
- Parr, R.G.; Yang, W. Density-Functional Theory of Atoms and Molecules; International Series of Monographs on Chemistry; Oxford University Press: Oxford, UK; Clarendon Press: New York, NY, USA, 1989; ISBN 978-0-19-504279-5. [Google Scholar]
- Harrison, W.A. Pseudopotentials in the Theory of Metals; Frontiers in Physics; University of Virginia: Charlottesville, VA, USA, 1966. [Google Scholar]
- Giannozzi, P.; Baroni, S.; Bonini, N.; Calandra, M.; Car, R.; Cavazzoni, C.; Ceresoli, D.; Chiarotti, G.L.; Cococcioni, M.; Dabo, I.; et al. Quantum Espresso: A Modular and Open-Source Software Project for Quantum Simulations of Materials. J. Phys. Condens. Matter. 2009, 21, 395502. [Google Scholar] [CrossRef] [PubMed]
- Giannozzi, P.; Andreussi, O.; Brumme, T.; Bunau, O.; Buongiorno Nardelli, M.; Calandra, M.; Car, R.; Cavazzoni, C.; Ceresoli, D.; Cococcioni, M.; et al. Advanced Capabilities for Materials Modelling with Quantum ESPRESSO. J. Phys. Condens. Matter. 2017, 29, 465901. [Google Scholar] [CrossRef]
- Kokalj, A. XCrySDen—A New Program for Displaying Crystalline Structures and Electron Densities. J. Mol. Graph. Model. 1999, 17, 176–179. [Google Scholar] [CrossRef]
- Troullier, N.; Martins, J.L. Efficient Pseudopotentials for Plane-Wave Calculations. Phys. Rev. B 1991, 43, 1993–2006. [Google Scholar] [CrossRef]
- Blöchl, P.E. Projector Augmented-Wave Method. Phys. Rev. B 1994, 50, 17953–17979. [Google Scholar] [CrossRef] [PubMed]
- Kleinman, L.; Bylander, D.M. Efficacious Form for Model Pseudopotentials. Phys. Rev. Lett. 1982, 48, 1425–1428. [Google Scholar] [CrossRef]
- Perdew, J.P.; Burke, K.; Ernzerhof, M. Generalized Gradient Approximation Made Simple. Phys. Rev. Lett. 1996, 77, 3865, reprinted in Phys. Rev. Lett. 1997, 78, 1396–1396. [Google Scholar] [CrossRef]
- Lindan, P.J.D.; Harrison, N.M.; Gillan, M.J.; White, J.A. First-Principles Spin-Polarized Calculations on the Reduced and Reconstructed TiO2 (110) Surface. Phys. Rev. B 1997, 55, 15919–15927. [Google Scholar] [CrossRef]
- Monkhorst, H.J.; Pack, J.D. Special Points for Brillouin-Zone Integrations. Phys. Rev. B 1976, 13, 5188–5192. [Google Scholar] [CrossRef]
- Oura, K. (Ed.) Surface Science: An Introduction; Advanced Texts in Physics; Springer: Berlin, Germany; New York, NY, USA, 2003; ISBN 978-3-540-00545-2. [Google Scholar]
- Pease, R.S. An X-ray Study of Boron Nitride. Acta Cryst. 1952, 5, 356–361. [Google Scholar] [CrossRef]
- Lide, D.R. (Ed.) CRC Handbook of Chemistry and Physics: A Ready-Reference Book of Chemical and Physical Data, 81st ed.; CRC Press: Boca Raton, FL, USA, 2000; ISBN 978-0-8493-0481-1. [Google Scholar]
- Novoselova, T.; Malinov, S.; Sha, W.; Zhecheva, A. High-Temperature Synchrotron X-Ray Diffraction Study of Phases in a Gamma TiAl Alloy. Mater. Sci. Eng. A 2004, 371, 103–112. [Google Scholar] [CrossRef]
- Ochi, M.; Yamada, I.; Ohgushi, K.; Kusano, Y.; Mizumaki, M.; Takahashi, R.; Yagi, S.; Nishiyama, N.; Inoue, T.; Irifune, T. B-Site Deficiencies in A -Site-Ordered Perovskite LaCu 3 Pt 3.75 O12. Inorg. Chem. 2013, 52, 3985–3989. [Google Scholar] [CrossRef] [PubMed]
- Ramirez-de-Arellano, J.M.; Magana-Solis, L.F. Interaction of CO with an HBN Surface Doped with Ti and Pt: A First Principles Study. J. Phys. Conf. Ser. 2017, 792, 012074. [Google Scholar] [CrossRef]


















| System | Eabs |
|---|---|
| Ti absorbed on hBN with B vacancy | −11.39 |
| CO2 absorbed on hBN + Ti on B vacancy | −1.04 |
| Pt absorbed on hBN with B vacancy | −6.93 |
| CO2 absorbed on hBN + Pt on B vacancy | No absorption |
| Ti absorbed on hBN with N vacancy | −2.62 |
| CO2 absorbed on hBN + Ti on N vacancy | −3.95 |
| Pt absorbed on hBN with N vacancy | −6.59 |
| CO2 absorbed on hBN + Pt on N vacancy | No absorption |
Publisher’s Note: MDPI stays neutral with regard to jurisdictional claims in published maps and institutional affiliations. |
© 2021 by the authors. Licensee MDPI, Basel, Switzerland. This article is an open access article distributed under the terms and conditions of the Creative Commons Attribution (CC BY) license (https://creativecommons.org/licenses/by/4.0/).
Share and Cite
Ramirez-de-Arellano, J.M.; Jiménez G., A.F.; Magaña, L.F. Catalytic Effect of Ti or Pt in a Hexagonal Boron Nitride Surface for Capturing CO2. Crystals 2021, 11, 662. https://doi.org/10.3390/cryst11060662
Ramirez-de-Arellano JM, Jiménez G. AF, Magaña LF. Catalytic Effect of Ti or Pt in a Hexagonal Boron Nitride Surface for Capturing CO2. Crystals. 2021; 11(6):662. https://doi.org/10.3390/cryst11060662
Chicago/Turabian StyleRamirez-de-Arellano, J. M., A. Fransuani Jiménez G., and L. F. Magaña. 2021. "Catalytic Effect of Ti or Pt in a Hexagonal Boron Nitride Surface for Capturing CO2" Crystals 11, no. 6: 662. https://doi.org/10.3390/cryst11060662
APA StyleRamirez-de-Arellano, J. M., Jiménez G., A. F., & Magaña, L. F. (2021). Catalytic Effect of Ti or Pt in a Hexagonal Boron Nitride Surface for Capturing CO2. Crystals, 11(6), 662. https://doi.org/10.3390/cryst11060662

