Enhanced Electrostrictive Coefficient and Suppressive Hysteresis in Lead-Free Ba(1−x)SrxTiO3 Piezoelectric Ceramics with High Strain
Abstract
1. Introduction
2. Materials and Methods
3. Results and Discussions
3.1. Microstructure
3.2. Dielectric Behaviors
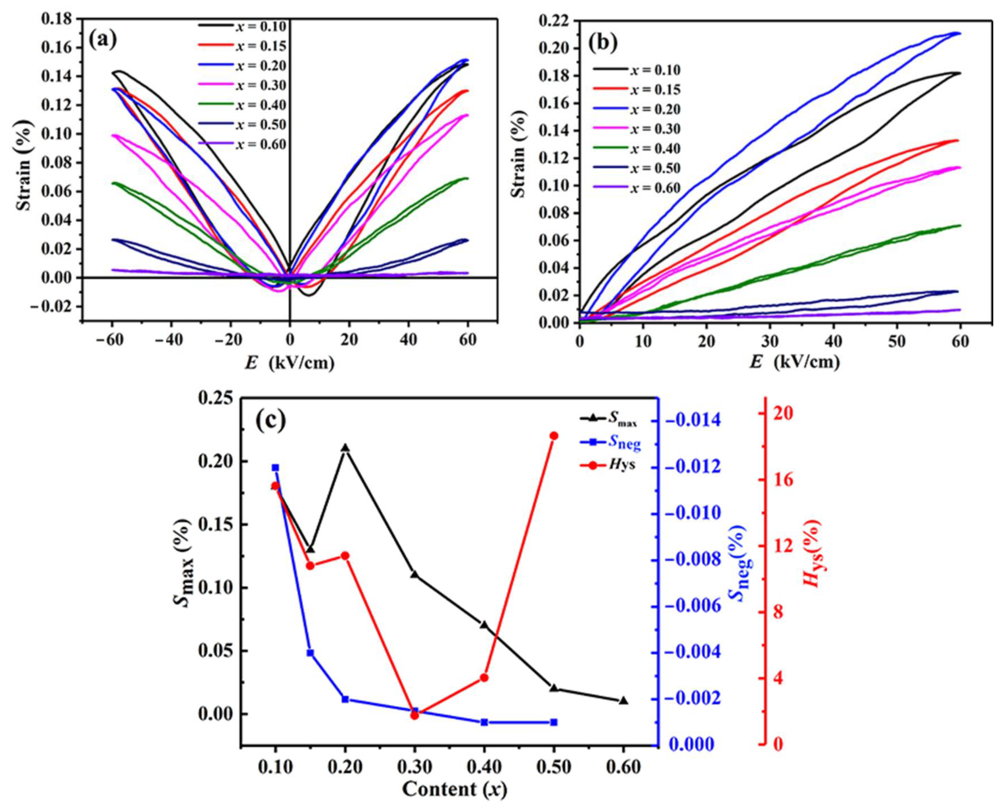
3.3. Ferroelectric and Piezoelectric Properties
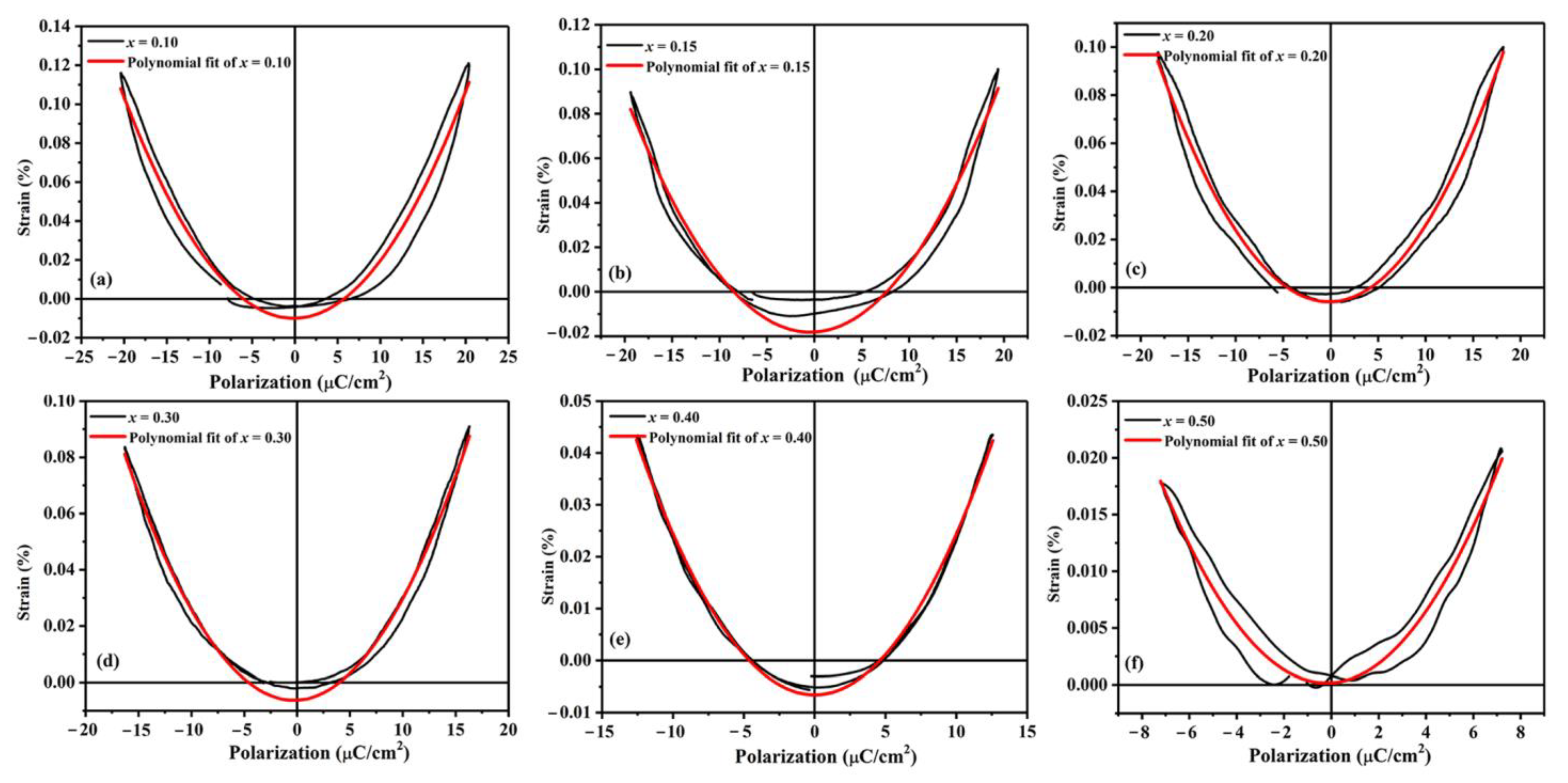
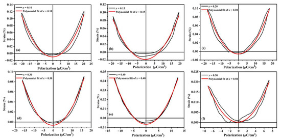
3.4. Electrostrictive Effect
3.5. Overview
4. Conclusions
Author Contributions
Funding
Institutional Review Board Statement
Informed Consent Statement
Data Availability Statement
Acknowledgments
Conflicts of Interest
References
- Lu, H.; Liu, L.; Lin, J.; Yang, W.; Zheng, W.; Weng, L.; Zhang, X. Diffuse characteristics and piezoelectric properties of Tb-doped BCZT ceramics with CaCl2 as sintering aid. Ceram. Int. 2017, 43, 16348–16355. [Google Scholar] [CrossRef]
- Wu, Y.; Li, J.; Bai, H.; Hong, Y.; Shi, K.; Zhou, Z.; Guo, R.; Bhalla, A.S. Origin of the dielectric abnormities and tunable dielectric properties in doped KTN single crystals. Appl. Phys. Lett. 2017, 111, 242902. [Google Scholar] [CrossRef]
- Liu, Q.; Zhang, Y.; Gao, J.; Zhou, Z.; Wang, H.; Wang, K.; Zhang, X.; Li, L.; Li, J. High-performance lead-free piezoelectrics with local structural heterogeneity. Energ. Environ. Sci. 2018, 11, 3531–3539. [Google Scholar] [CrossRef]
- Hao, J.; Shen, B.; Zhai, J.; Chen, H. Phase transitional behavior and electric field-induced large strain in alkali niobate-modified Bi0.5(Na0.80K0.20)(0.5)TiO3 lead-free piezoceramics. J. Appl. Phys. 2014, 115, 034101. [Google Scholar] [CrossRef]
- Hao, J.; Shen, B.; Zhai, J.; Liu, C.; Li, X.; Gao, X. Large Strain Response in 0.99(Bi0.5Na0.4K0.1)TiO3-0.01(KxNa1−x)NbO3 Lead-Free Ceramics Induced by the Change of K/Na Ratio in (KxNa1−x)NbO3. J. Am. Ceram. Soc. 2013, 96, 3133–3140. [Google Scholar] [CrossRef]
- He, H.; Lu, X.; Li, M.; Wang, Y.; Li, Z.; Lu, Z.; Lu, L. Thermal and compositional driven relaxor ferroelectric behaviours of lead-free Bi0.5Na0.5TiO3-SrTiO3 ceramics. J. Mater. Chem. C 2020, 8, 2411–2418. [Google Scholar] [CrossRef]
- Zhao, J.; Zhang, N.; Quan, Y.; Niu, G.; Ren, W.; Wang, Z.; Zheng, K.; Zhao, Y.; Ye, Z. Evolution of mesoscopic domain structure and macroscopic properties in lead-free Bi0.5Na0.5TiO3-BaTiO3 ferroelectric ceramics. J. Appl. Phys. 2021, 129, 084103. [Google Scholar] [CrossRef]
- Janbua, J.; Niemchareon, S.; Muanghlua, R.; Vittayakorn, N. High Strain Response of the (1−x)(0.94Bi(0.5)Na(0.5)TiO(3)-0.06BaTiO(3))-xBaSnO(3) Lead Free Piezoelectric Ceramics System. Ferroelectrics 2016, 490, 13–22. [Google Scholar] [CrossRef]
- Bai, W.; Chen, D.; Huang, Y.; Zheng, P.; Zhong, J.; Ding, M.; Yuan, Y.; Shen, B.; Zhai, J.; Ji, Z. Temperature-insensitive large strain response with a low hysteresis behavior in BNT-based ceramics. Ceram. Int. 2016, 42, 7669–7680. [Google Scholar] [CrossRef]
- Fan, P.; Zhang, Y.; Zhang, Q.; Xie, B.; Zhu, Y.; Mawat, M.A.; Ma, W.; Liu, K.; Xiao, J.; Zhang, H. Large strain with low hysteresis in Bi4Ti3O12 modified Bi1/2(Na0.82K0.18)1/2TiO3 lead-free piezoceramics. J. Eur. Ceram. Soc. 2018, 38, 4404–4413. [Google Scholar] [CrossRef]
- Liu, X.; Bell, A.J.; Fan, H.; Shi, J. Large Electrostrictive Strain in (Bi0.5Na0.5)TiO3-BaTiO3-(Sr0.7Bi0.2)TiO3 Solid Solutions. J. Am. Ceram. Soc. 2014, 97, 848–853. [Google Scholar]
- Han, H.; Jo, W.; Kang, J.; Ahn, C.; Kim, I.W.; Ahn, K.; Lee, J. Incipient Piezoelectrics and Electrostriction Behavior in Sn-Doped Bi1/2(Na0.82K0.18)(1/2)TiO3 Lead-Free Ceramics. J. Appl. Phys. 2013, 113, 15410215. [Google Scholar] [CrossRef]
- Noblanc, O.; Gaucher, P.; Calvarin, G. Structural and dielectric studies of Pb(Mg1/3Nb2/3)O3-PbTiO3 ferroelectric solid solutions around the morphotropic boundary. J. Appl. Phys. 1996, 79, 4291–4297. [Google Scholar] [CrossRef]
- Qi, X.; Zhao, Y.; Sun, E.; Du, J.; Li, K.; Sun, Y.; Yang, B.; Zhang, R.; Cao, W. Large electrostrictive effect and high energy storage performance of Pr3+ doped PIN-PMN-PT multifunctional ceramics in the ergodic relaxor phase. J. Eur. Ceram. Soc. 2019, 39, 4060–4069. [Google Scholar] [CrossRef]
- Jin, L.; Pang, J.; Luo, W.; Lan, Y.; Du, H.; Yang, S.; Li, F.; Tian, Y.; Wei, X.; Xu, Z.; et al. Phase transition behavior and high electrostrictive strains in Bi(Li0.5Nb0.5)O3-doped lead magnesium niobate-based solid solutions. J. Alloys Compd. 2019, 806, 206–214. [Google Scholar] [CrossRef]
- Fu, H.R.; Wang, Y.G.; Guo, H.; Jain, A.; Chen, F.G. Enhancing photostriction in KNN-based ceramics by constructing the morphotropic phase boundary and narrowing the energy band gap. Ceram. Int. 2021, 47, 10996–11002. [Google Scholar] [CrossRef]
- Shi, P.; Li, T.; Lou, X.; Yu, Z.; Zhu, X.; Zhou, C.; Liu, Q.; He, L.; Zhang, X.; Yang, S. Large electric-field-induced strain and energy storage properties in Bi0.5Na0.5TiO3-(0.5Ba(0.7)Ca(0.3)TiO(3)-0.5BaTi(0.8)Zr(0.2)O(3)) lead-free relaxor ferroelectric ceramics. J. Alloys Compd. 2021, 860, 206–214. [Google Scholar]
- Zhao, C.; Wu, B.; Wu, J. Composition-driven broad phase boundary for optimizing properties and stability in lead-free barium titanate ceramics. J. Am. Ceram. Soc. 2019, 102, 3477–3487. [Google Scholar] [CrossRef]
- Wu, W.; Ma, J.; Wang, N.; Shi, C.; Chen, K.; Zhu, Y.; Chen, M.; Wu, B. Electrical properties, strain stability and electrostrictive behavior in 0.5BaZr0.2Ti0.8O3-(0.5−x)Ba0.7Ca0.3TiO3-xBa0.7Sr0.3TiO3 lead-free ceramics. J. Alloys Compd. 2020, 814, 152240. [Google Scholar] [CrossRef]
- Zhao, C.; Wu, W.; Wang, H.; Wu, J. Site engineering and polarization characteristics in (Ba1−yCay)(Ti1−xHfx)O3 lead-free ceramics. J. Appl. Phys. 2016, 119, 0241082. [Google Scholar]
- Zhao, C.; Huang, Y.; Wu, J. Multifunctional barium titanate ceramics via chemical modification tuning phase structure. Infomat 2020, 2, 1163–1190. [Google Scholar] [CrossRef]
- Zhu, Y. Large electrostrictive properties in lead-free BaTiO3-ZnSnO3 solid solutions. Appl. Phys. A 2019, 125, 301. [Google Scholar] [CrossRef]
- Maiti, T.; Guo, R.; Bhalla, A.S. Structure-property phase diagram of BaZrxTi1−xO3 system. J. Am. Ceram. Soc. 2008, 91, 1769–1780. [Google Scholar] [CrossRef]
- Teranishi, T.; Kanemoto, R.; Hayashi, H.; Kishimoto, A. Effect of the (Ba + Sr)/Ti ratio on the microwave-tunable properties of Ba0.6Sr0.4TiO3 ceramics. J. Am. Ceram. Soc. 2017, 100, 1037–1043. [Google Scholar] [CrossRef]
- Ying, K.; Hsieh, T. Sintering Behavior, Microstructure, and Dielectric Properties of Nano-Ba0.7Sr0.3TiO3 Ceramics. Jpn. J. Appl. Phys. 2008, 47, 7947–7952. [Google Scholar] [CrossRef]
- Wu, T.; Pu, Y.; Gao, P.; Liu, D. Influence of Sr/Ba ratio on the energy storage properties and dielectric relaxation behaviors of strontium barium titanate ceramics. J. Mater. Sci. 2013, 24, 4105–4112. [Google Scholar] [CrossRef]
- Liu, B.; Wang, X.; Zhang, R.; Li, L. Grain size effect and microstructure influence on the energy storage properties of fine-grained BaTiO3-based ceramics. J. Am. Ceram. Soc. 2017, 100, 3599–3607. [Google Scholar] [CrossRef]
- Qiang, H.; Xu, Z. Effects of sintering temperature on the properties of Mn/Y codoped Ba0.67Sr0.33TiO3 ceramics for tunable application. J. Mater. Sci. 2015, 26, 9063–9066. [Google Scholar] [CrossRef]
- Redhu, P.; Punia, R.; Hooda, A.; Malik, B.P.; Sharma, G.; Sharma, P. Correlation between multifunctional properties of lead free Iron doped BCT perovskite ceramics. Ceram. Int. 2020, 46, 17495–17507. [Google Scholar] [CrossRef]
- Pavithra, C.; Madhuri, W.; Kiran, S.R. Effects of synthesis and sintering temperature in BCT-BST ceramics. Mater. Chem. Phys. 2021, 258. [Google Scholar] [CrossRef]
- Jin, L.; Luo, W.; Hou, L.; Tian, Y.; Hu, Q.; Wang, L.; Zhang, L.; Lu, X.; Du, H.; Wei, X.; et al. High electric field-induced strain with ultra-low hysteresis and giant electrostrictive coefficient in barium strontium titanate lead-free ferroelectrics. J. Eur. Ceram. Soc. 2019, 39, 295–304. [Google Scholar] [CrossRef]
- Wang, T.; Hu, J.; Yang, H.; Jin, L.; Wei, X.; Li, C.; Yan, F.; Lin, Y. Dielectric relaxation and Maxwell–Wagner interface polarization in Nb2O5 doped 0.65BiFeO(3)-0.35BaTiO(3) ceramics. J. Appl. Phys. 2017, 121, 084103. [Google Scholar] [CrossRef]
- Kang, F.; Zhang, L.; Huang, B.; Mao, P.; Wang, Z.; Sun, Q.; Wang, J.; Hu, D. Enhanced electromechanical properties of SrTiO3-BiFeO3-BaTiO3 ceramics via relaxor behavior and phase boundary design. J. Eur. Ceram. Soc. 2020, 40, 1198–1204. [Google Scholar] [CrossRef]
- Wang, J.; Zhang, X.; Zhang, J.; Li, H.; Li, Z. Dielectric and piezoelectric properties of (1−x)Ba0.7Sr0.3TiO3-xBa0.7Ca0.3TiO3 perovskites. J. Phys. Chem. Solids 2012, 73, 957–960. [Google Scholar] [CrossRef]
- Jin, L.; Li, F.; Zhang, S. Decoding the Fingerprint of Ferroelectric Loops: Comprehension of the Material Properties and Structures. J. Am. Ceram. Soc. 2014, 97, 1–27. [Google Scholar] [CrossRef]
- Prasertpalichat, S.; Khengkhatkan, S.; Siritanon, T.; Jutimoosik, J.; Kidkhunthod, P.; Bongkarn, T.; Patterson, E.A. Comparison of structural, ferroelectric, and piezoelectric properties between A-site and B-site acceptor doped 0.93Bi0.5Na0.5TiO3-0.07BaTiO3 lead-free piezoceramics. J. Eur. Ceram. Soc. 2021, 41, 4116–4128. [Google Scholar] [CrossRef]
- Li, T.; Liu, C.; Ke, X.; Liu, X.; He, L.; Shi, P.; Ren, X.; Wang, Y.; Lou, X. High electrostrictive strain in lead-free relaxors near the morphotropic phase boundary. Acta Mater. 2020, 182, 39–46. [Google Scholar] [CrossRef]
- Chen, K.; Ma, J.; Wu, J.; Wang, X.; Miao, F.; Huang, Y.; Shi, C.; Wu, W.; Wu, B. Improve piezoelectricity in BaTiO3-based ceramics with large electrostriction coefficient. J. Mater. Sci. 2020, 31, 12292–12300. [Google Scholar] [CrossRef]
- Li, F.; Jin, L.; Xu, Z.; Zhang, S. Electrostrictive effect in ferroelectrics: An alternative approach to improve piezoelectricity. Appl. Phys. Rev. 2014, 1, 11103. [Google Scholar] [CrossRef]
- Jang, S.J.; Uchino, K.; Nomura, S.; Cross, L.E. Electrostrictive behavior of lead maghesium niobate based ceramics dielectric. Ferroelectric 1980, 27, 31–34. [Google Scholar] [CrossRef]
- Li, J.; Wang, F.; Qin, X.; Xu, M.; Shi, W. Large electrostrictive strain in lead-free Bi0.5Na0.5TiO3-BaTiO3-KNbO3 ceramics. Appl. Phys. A 2010, 104, 117–122. [Google Scholar] [CrossRef]
- Bai, W.; Li, L.; Wang, W.; Shen, B.; Zhai, J. Phase diagram and electrostrictive effect in BNT-based ceramics. Solid State Commun. 2015, 206, 22–25. [Google Scholar] [CrossRef]
- Jin, L.; Luo, W.; Jing, R.; Qiao, J.; Pang, J.; Du, H.; Zhang, L.; Hu, Q.; Tian, Y.; Wei, X.; et al. High Dielectric Permittivity and Electrostrictive Strain in a Wide Temperature Range in Relaxor Ferroelectric (1−x)[Pb(Mg1/3Nb2/3)O3-PbTiO3]-xBa(Zn1/3Nb2/3)O3 Solid Solutions. Ceram. Int. 2019, 45, 5518–5524. [Google Scholar] [CrossRef]













| System | Smax (%) | Hys (%) | Q33 (m4/C2) | Ref. |
|---|---|---|---|---|
| Bi0.5(Na0.8K0.2)0.5TiO3 | 0.44 | 60.0 | - | [4] |
| 0.99(Bi0.5Na0.4K0.1)TiO3-0.01(KxNa1−x)NbO3 | 0.46 | 55.0 | - | [5] |
| Bi0.5Na0.5TiO3-Bi0.5K0.5TiO3-BaZr0.05Ti0.95O3 | 0.12 | 40 | 0.0237 | [9] |
| Bi4Ti3O12-Bi0.5(Na0.82K0.18)0.5TiO3 | 0.29 | 23 | - | [10] |
| Bi0.5(Na0.82K0.18)0.5TiO3-xSn | 0.45 | 21 | 0.023 | [12] |
| Bi0.5Na0.5TiO3-BaTiO3-KNbO3 | 0.08 | - | 0.027 | [41] |
| Pb(In1/2Nb1/2)O3-Pb(Mg1/3Nb2/3)O3-PbTiO3 | 0.09 | 5 | 0.030 | [14] |
| Bi(Li0.5Nb0.5)O3-Pb(Mg1/3Nb2/3)O3-PbTiO3 | 0.22 | 7 | 0.018 | [15] |
| Pb(Mg1/3Nb2/3)O3-PbTiO3-Ba(Zn1/3Nb2/3)O3 | 0.17 | 10 | 0.025 | [43] |
| BaZr0.2Ti0.8O3-Ba0.7Ca0.3TiO3-Ba0.7Sr0.3TiO3 | 0.13 | 10 | - | [19] |
| (Ba1−yCay)(Ti1−xHfx)O3 | 0.21 | 12 | - | [20] |
| (1−x)(Bi0.5Na0.5TiO3-0.11BaTiO3)-xBaZr0.2Ti0.8O3 | 0.27 | 26 | 0.032 | [37] |
| BaTiO3-30SrTiO3 | 0.11 | 2 | 0.034 | This work |
Publisher’s Note: MDPI stays neutral with regard to jurisdictional claims in published maps and institutional affiliations. |
© 2021 by the authors. Licensee MDPI, Basel, Switzerland. This article is an open access article distributed under the terms and conditions of the Creative Commons Attribution (CC BY) license (https://creativecommons.org/licenses/by/4.0/).
Share and Cite
Song, M.; Sun, X.; Li, Q.; Qian, H.; Liu, Y.; Lyu, Y. Enhanced Electrostrictive Coefficient and Suppressive Hysteresis in Lead-Free Ba(1−x)SrxTiO3 Piezoelectric Ceramics with High Strain. Crystals 2021, 11, 555. https://doi.org/10.3390/cryst11050555
Song M, Sun X, Li Q, Qian H, Liu Y, Lyu Y. Enhanced Electrostrictive Coefficient and Suppressive Hysteresis in Lead-Free Ba(1−x)SrxTiO3 Piezoelectric Ceramics with High Strain. Crystals. 2021; 11(5):555. https://doi.org/10.3390/cryst11050555
Chicago/Turabian StyleSong, Mu, Xiaoyuan Sun, Qiong Li, Hao Qian, Yunfei Liu, and Yinong Lyu. 2021. "Enhanced Electrostrictive Coefficient and Suppressive Hysteresis in Lead-Free Ba(1−x)SrxTiO3 Piezoelectric Ceramics with High Strain" Crystals 11, no. 5: 555. https://doi.org/10.3390/cryst11050555
APA StyleSong, M., Sun, X., Li, Q., Qian, H., Liu, Y., & Lyu, Y. (2021). Enhanced Electrostrictive Coefficient and Suppressive Hysteresis in Lead-Free Ba(1−x)SrxTiO3 Piezoelectric Ceramics with High Strain. Crystals, 11(5), 555. https://doi.org/10.3390/cryst11050555

