Real-Time Identification of Oxygen Vacancy Centers in LiNbO3 and SrTiO3 during Irradiation with High Energy Particles
Abstract
1. Introduction
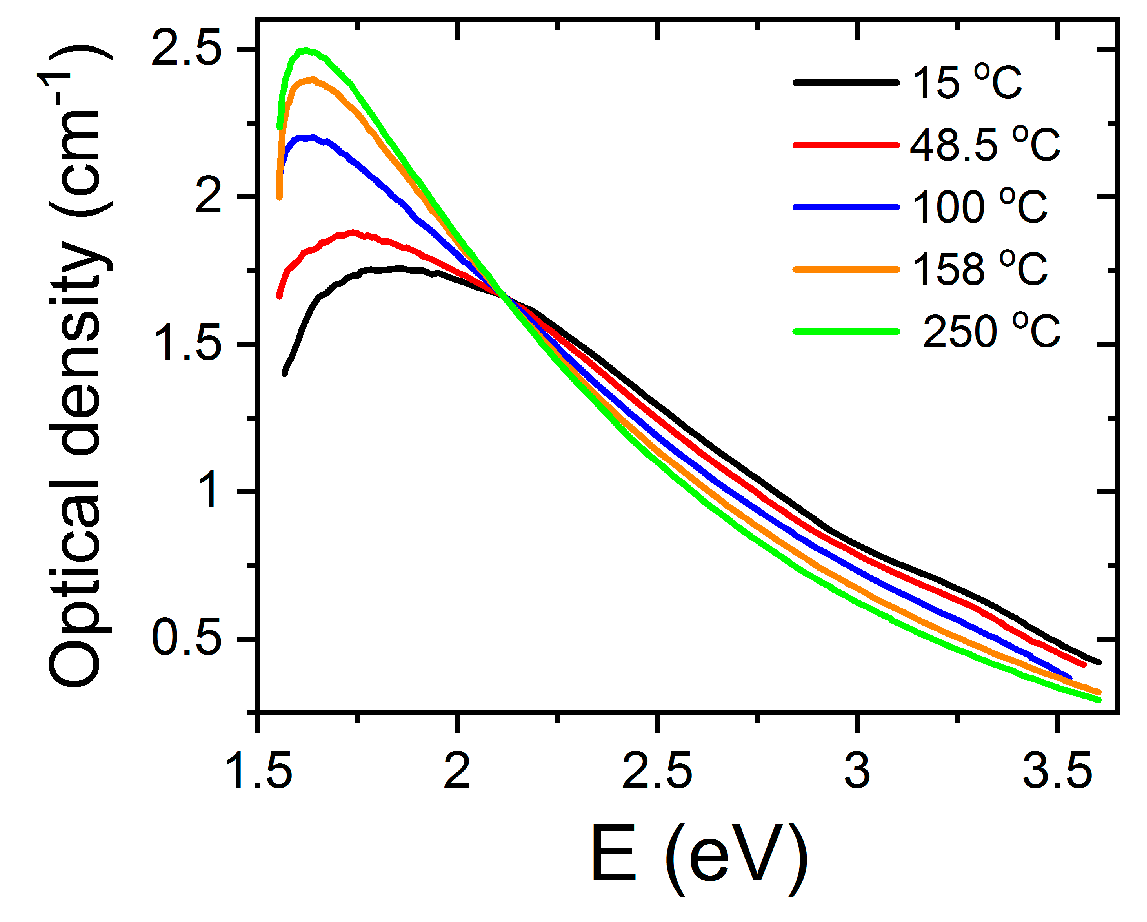
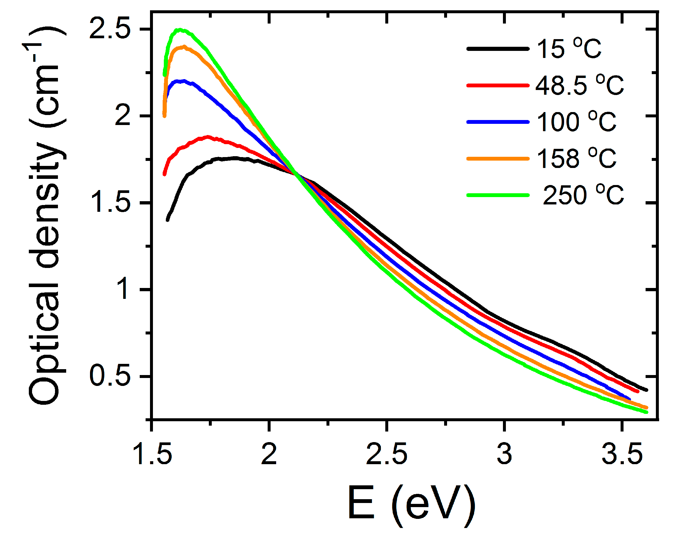
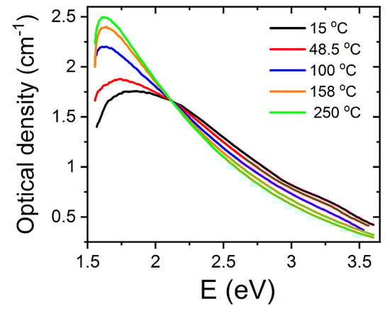
2. Oxygen Vacancy Centers in LiNbO3 Created by High-Energy Electron Irradiation: Real Time in situ Detection of the Induced Optical Absorption
3. Oxygen Vacancy Centers in Cubic SrTiO3 under High-Energy Ion Beam Irradiation: Real-Time Luminescence Emissions
4. Summary and Conclusions
Funding
Acknowledgments
Conflicts of Interest
References
- Günter, P.; Huignard, J.P. Photorefractive Materials and Their Applications 1: Basic Effects; Springer: New York, NY, USA, 2006. [Google Scholar]
- García-Cabañes, A.; Blázquez-Castro, A.; Arizmendi, L.; Agulló-López, F.; Carrascosa, M. Recent Achievements on Photovoltaic Optoelectronic Tweezers Based on Lithium Niobate. Crystals 2018, 8, 65. [Google Scholar] [CrossRef]
- Ogale, S.B. Thin Films and Heterostructures for Oxide Electronics; Springer: New York, NY, USA, 2005. [Google Scholar]
- Reyren, N.; Thiel, S.; Caviglia, A.; Kourkoutis, L.F.; Hammerl, G.; Richter, C.; Schneider, C.W.; Kopp, T.; Ruetschi, A.-S.; Jaccard, D.; et al. Superconducting Interfaces Between Insulating Oxides. Science 2007, 317, 1196–1199. [Google Scholar] [CrossRef] [PubMed]
- Brinkman, A.; Huijben, M.; Van Zalk, M.; Zeitler, U.; Maan, J.C.; Van Der Wiel, W.G.; Rijnders, G.; Blank, D.H.A.; Hilgenkamp, H. Magnetic effects at the interface between non-magnetic oxides. Nat. Mater. 2007, 6, 493–496. [Google Scholar] [CrossRef] [PubMed]
- Wang, D.; Ye, J.; Kako, T.; Kimura, T. Photophysical and Photocatalytic Properties of SrTiO3Doped with Cr Cations on Different Sites. J. Phys. Chem. B 2006, 110, 15824–15830. [Google Scholar] [CrossRef]
- Crespillo, M.L.; Graham, J.T.; Agulló-López, F.; Zhang, Y.; Weber, W.J. Correlation between Cr3+ Luminescence and Oxygen Vacancy Disorder in Strontium Titanate under MeV Ion Irradiation. J. Phys. Chem. C 2017, 121, 19758–19766. [Google Scholar] [CrossRef]
- Agulló-López, F.; Catlow, C.R.; Townsend, P.D. Point Defects in Materials; Academic Press: London, UK, 1984. [Google Scholar]
- Polgár, K.; Péter, Á.; Kovacs, L.; Corradi, G.; Szaller, Z. Growth of stoichiometric LiNbO3 single crystals by top seeded solution growth method. J. Cryst. Growth 1997, 177, 211–216. [Google Scholar] [CrossRef]
- Kovacs, L.; Ruschhaupt, G.; Polgár, K.; Corradi, G.; Wohlecke, M. Composition dependence of the ultraviolet absorption edge in lithium niobate. Appl. Phys. Lett. 1997, 70, 2801–2803. [Google Scholar] [CrossRef]
- Krol, D.M.; Blasse, G.; Powell, R.C. The influence of the Li/Nb ratio on the luminescence properties of LiNbO3. J. Chem. Phys. 1980, 73, 163. [Google Scholar] [CrossRef]
- García-Cabañes, A.; Sanz-García, J.A.; Cabrera, J.M.; Agulló-López, F.; Zaldo, C.; Pareja, R.; Polgár, K.; Raksányi, K.; Fölvàri, I. Influence of stoichiometry on defect-related phenomena inLiNbO3. Phys. Rev. B 1988, 37, 6085–6091. [Google Scholar] [CrossRef]
- Javid, M.A.; Khan, Z.U.; Mehmood, Z.; Nabi, A.; Hussain, F.; Imran, M.; Nadeem, M.; Anjum, N. Structural, electronic and optical properties of LiNbO3 using GGA-PBE and TB-mBJ functionals: A DFT study. Int. J. Mod. Phys. B 2018, 32, 1850168. [Google Scholar] [CrossRef]
- Van Benthem, K.; Elsässer, C.; French, R.H. Bulk electronic structure of SrTiO3: Experiment and theory. J. Appl. Phys. 2001, 90, 6156–6164. [Google Scholar] [CrossRef]
- Sweeney, K.L.; Halliburton, L.E. Oxygen vacancies in lithium niobate. Appl. Phys. Lett. 1983, 43, 336–338. [Google Scholar] [CrossRef]
- Garcia-Cabañes, A.; Dieguez, E.; Cabrera, J.M.; Agullo-Lopez, F. Contributing bands to the optical absorption of reduced LiNbO3: Thermal and optical excitation. J. Phys. Condens. Mat. 1989, 1, 6453–6462. [Google Scholar] [CrossRef]
- DeLeo, G.G.; Dobson, J.L.; Masters, M.F.; Bonjack, L.H. Electronic structure of an oxygen vacancy in lithium niobate. Phys. Rev. B 1988, 37, 8394–8400. [Google Scholar] [CrossRef] [PubMed]
- Kotomin, E.A.; Eglitis, R.I.; Popov, A.I. Charge distribution and optical properties of and F centres in crystals. J. Phys. Condens. Mat. 1997, 9, L315–L321. [Google Scholar] [CrossRef]
- Laguta, V.V.; Zaritskii, M.I.; Glinchuk, M.D.; Bykov, I.P.; Rosa, J.; Jastrabík, L. Symmetry-breakingTa4+centers inKTaO3. Phys. Rev. B 1998, 58, 156–163. [Google Scholar] [CrossRef]
- Meldrum, A.; Boatner, L.; Ewing, R. Effects of ionizing and displacive irradiation on several perovskite-structure oxides. Nucl. Instrum. Methods Phys. Res. Sect. B 1998, 141, 347–352. [Google Scholar] [CrossRef]
- Eglitis, R.; Kotomin, E.; Borstel, G. Quantum chemical modelling of “green” luminescence in ABO3 perovskites. Eur. Phys. J. B 2002, 27, 483–486. [Google Scholar] [CrossRef]
- Zhukovskii, Y.F.; Kotomin, E.A.; Evarestov, R.A.; Ellis, D.E. Periodic models in quantum chemical simulations of F centers in crystalline metal oxides. Int. J. Quantum Chem. 2007, 107, 2956–2985. [Google Scholar] [CrossRef]
- Janotti, A.; Varley, J.B.; Choi, M.; Van De Walle, C.G. Vacancies and small polarons inSrTiO3. Phys. Rev. B 2014, 90, 085202. [Google Scholar] [CrossRef]
- Wang, C.; Sun, J.; Ni, W.; Yue, B.; Hong, F.; Liu, H.; Cheng, Z. Tuning oxygen vacancy in LiNbO3 single crystals for prominent memristive and dielectric behaviors. J. Am. Ceram. Soc. 2019, 102, 6705–6712. [Google Scholar] [CrossRef]
- Crespillo, M.; Graham, J.; Agulló-López, F.; Zhang, Y.; Weber, W. Isolated oxygen vacancies in strontium titanate shine red: Optical identification of Ti3+ polarons. Appl. Mater. Today 2018, 12, 131–137. [Google Scholar] [CrossRef]
- Crespillo, M.L.; Graham, J.; Agulló-López, F.; Zhang, Y.; Weber, W. Role of oxygen vacancies on light emission mechanisms in SrTiO3 induced by high-energy particles. J. Phys. D Appl. Phys. 2017, 50, 155303. [Google Scholar] [CrossRef]
- Crespillo, M.L.; Graham, J.T.; Agulló-López, F.; Zhang, Y.; Weber, W.J. The blue emission at 2.8 eV in strontium titanate: Evidence for a radiative transition of self-trapped excitons from unbound states. Mater. Res. Lett. 2019, 7, 298–303. [Google Scholar] [CrossRef]
- Crespillo, M.L.; Graham, J.T.; Agulló-López, F.; Zhang, Y.; Weber, W.J. Recent Advances on Carrier and Exciton Self-Trapping in Strontium Titanate: Understanding the Luminescence Emissions. Crystals 2019, 9, 95. [Google Scholar] [CrossRef]
- Schirmer, O.F.; Reyher, H.-J.; Wöhlecke, M. Characterization of point defects in photorefractive oxide crystals by para-magnetic resonance methods. In Insulating Materials for Optoelectronics: New Developments; Agulló-López, F., Ed.; World Scientific: London, UK, 1995; pp. 93–124. [Google Scholar]
- Schirmer, O.F.; Imlau, M.; Merschjann, C.; Schoke, B. Electron small polarons and bipolarons in LiNbO3. J. Phys. Condens. Matter 2009, 21, 123201. [Google Scholar] [CrossRef]
- Halliburton, L.; Sweeney, K.; Chen, C. Electron spin resonance and optical studies of point defects in lithium niobate. Nucl. Instrum. Methods Phys. Res. Sect. B 1984, 1, 344–347. [Google Scholar] [CrossRef]
- Hodgson, E.; Agulló-López, F. Oxygen vacancy centres induced by electron irradiation in LiNbO3. Solid State Commun. 1987, 64, 965–968. [Google Scholar] [CrossRef]
- Hodgson, E.R.; Agullo-Lopez, F. High-energy electron irradiation of stoichiometric LiNbO3. J. Phys. Condens. Matter 1989, 1, 10015–10020. [Google Scholar] [CrossRef]
- Agulló-López, F.; Climent-Font, A.; Muñoz-Martín, Á.; Olivares, J.; Zucchiatti, A. Ion beam modification of dielectric materials in the electronic excitation regime: Cumulative and exciton models. Prog. Mater. Sci. 2016, 76, 1–58. [Google Scholar] [CrossRef]
- Xue, D.; Kitamura, K.; Wang, J. Atomic packing and octahedral linking model of lithium niobate single crystals. Opt. Mater. 2003, 23, 399–402. [Google Scholar] [CrossRef]
- Momma, K.; Izumi, F. VESTA 3for three-dimensional visualization of crystal, volumetric and morphology data. J. Appl. Crystallogr. 2011, 44, 1272–1276. [Google Scholar] [CrossRef]
- Ziegler, J.F.; Ziegler, M.; Biersack, J. SRIM—The stopping and range of ions in matter (2010). Nucl. Instrum. Methods Phys. Res. Sect. B 2010, 268, 1818–1823. [Google Scholar] [CrossRef]
- Townsend, P.D.; Chandler, P.J.; Zhang, L. Optical Effects of Ion Implantation (Cambridge Studies in Modern Optics); Cambridge University Press: Cambridge, UK, 1996. [Google Scholar]
- Landau, L.D. Uber die Bewegung der Elektronen im Kristallgitter. Phys. Zeit. Sowjetunion 1933, 3, 664–665. [Google Scholar]
- Schirmer, O.F.; Von Der Linde, D. Two-photon- and x-ray-induced Nb4+and O−small polarons in LiNbO3. Appl. Phys. Lett. 1978, 33, 35–38. [Google Scholar] [CrossRef]
- Stoneham, A.; Itoh, N. Materials modification by electronic excitation. Appl. Surf. Sci. 2000, 168, 186–193. [Google Scholar] [CrossRef]
- Stoneham, A.M.; Gavartin, J.; Shluger, A.L.; Kimmel, A.V.; Ramo, D.M.; Rønnow, H.M.; Aeppli, G.; Renner, C. Trapping, self-trapping and the polaron family. J. Phys. Condens. Matter 2007, 19, 255208. [Google Scholar] [CrossRef]
- Sturman, B.; Carrascosa, M.; Agullo-Lopez, F. Light-induced charge transport inLiNbO3crystals. Phys. Rev. B 2008, 78, 245114. [Google Scholar] [CrossRef]
- Lengyel, K.; Péter, Á.; Kovacs, L.; Corradi, G.; Palfalvi, L.; Hebling, J.; Unferdorben, M.; Dravecz, G.; Hajdara, I.; Szaller, Z.; et al. Growth, defect structure, and THz application of stoichiometric lithium niobate. Appl. Phys. Rev. 2015, 2, 040601. [Google Scholar] [CrossRef]
- Hodgson, E.; Zaldo, C.; Agulló-López, F. Atomic displacement damage in electron irradiated KNbO3. Solid State Commun. 1990, 75, 351–353. [Google Scholar] [CrossRef]
- Arizmendi, L.; Cabrera, J.; Agulló-López, F. X-ray induced luminescence of LiNbO3. Solid State Commun. 1981, 40, 583–585. [Google Scholar] [CrossRef]
- Harrigan, W.L.; Michaud, S.E.; Lehuta, K.A.; Kittilstved, K.R. Tunable Electronic Structure and Surface Defects in Chromium-Doped Colloidal SrTiO3−δ Nanocrystals. Chem. Mater. 2016, 28, 430–433. [Google Scholar] [CrossRef]
- Kan, D.; Terashima, T.; Kanda, R.; Masuno, A.; Tanaka, K.; Chu, S.; Kan, H.; Ishizumi, A.; Kanemitsu, Y.; Shimakawa, Y.; et al. Blue-light emission at room temperature from Ar+-irradiated SrTiO3. Nat. Mater. 2005, 4, 816–819. [Google Scholar] [CrossRef]
- Zhang, Y.; Weber, W.J. Ion irradiation and modification: The role of coupled electronic and nuclear energy dissipation and subsequent nonequilibrium processes in materials. Appl. Phys. Rev. 2020, 7, 041307. [Google Scholar] [CrossRef]
- Ricci, D.; Bano, G.; Pacchioni, G.; Illas, F. Electronic structure of a neutral oxygen vacancy inSrTiO3. Phys. Rev. B 2003, 68, 224105. [Google Scholar] [CrossRef]
- Aguilar, M. X-ray induced processes in SrTiO3. J. Appl. Phys. 1982, 53, 9009. [Google Scholar] [CrossRef]
- Alexandrov, V.E.; Kotomin, E.A.; Maier, J.; Evarestov, R.A. First-principles study of bulk and surface oxygen vacancies in SrTiO3 crystal. Eur. Phys. J. B 2009, 72, 53–57. [Google Scholar] [CrossRef]
- Mitra, C.; Lin, C.; Robertson, J.; Demkov, A.A. Electronic structure of oxygen vacancies inSrTiO3 and LaAlO3. Phys. Rev. B 2012, 86, 155105. [Google Scholar] [CrossRef]
- Sanna, S.; Schmidt, W.G. LiNbO3surfaces from a microscopic perspective. J. Phys. Condens. Matter 2017, 29, 413001. [Google Scholar] [CrossRef]
- Sebastián-Vicente, C.; Muñoz-Cortés, E.; García-Cabañes, A.; Agulló-López, F.; Carrascosa, M. Real-Time Operation of Photovoltaic Optoelectronic Tweezers: New Strategies for Massive Nano-object Manipulation and Reconfigurable Patterning. Part. Part. Syst. Charact. 2019, 36, 1900233. [Google Scholar] [CrossRef]
- Pan, X.; Shuai, Y.; Wu, C.; Zhang, L.; Guo, H.; Cheng, H.; Peng, Y.; Qiao, S.; Luo, W.; Wang, T.; et al. Ar+ ions irradiation induced memristive behavior and neuromorphic computing in monolithic LiNbO3 thin films. Appl. Surf. Sci. 2019, 484, 751–758. [Google Scholar] [CrossRef]







Publisher’s Note: MDPI stays neutral with regard to jurisdictional claims in published maps and institutional affiliations. |
© 2021 by the authors. Licensee MDPI, Basel, Switzerland. This article is an open access article distributed under the terms and conditions of the Creative Commons Attribution (CC BY) license (http://creativecommons.org/licenses/by/4.0/).
Share and Cite
Crespillo, M.L.; Graham, J.T.; Agulló-López, F.; Zhang, Y.; Weber, W.J. Real-Time Identification of Oxygen Vacancy Centers in LiNbO3 and SrTiO3 during Irradiation with High Energy Particles. Crystals 2021, 11, 315. https://doi.org/10.3390/cryst11030315
Crespillo ML, Graham JT, Agulló-López F, Zhang Y, Weber WJ. Real-Time Identification of Oxygen Vacancy Centers in LiNbO3 and SrTiO3 during Irradiation with High Energy Particles. Crystals. 2021; 11(3):315. https://doi.org/10.3390/cryst11030315
Chicago/Turabian StyleCrespillo, Miguel L., Joseph T. Graham, Fernando Agulló-López, Yanwen Zhang, and William J. Weber. 2021. "Real-Time Identification of Oxygen Vacancy Centers in LiNbO3 and SrTiO3 during Irradiation with High Energy Particles" Crystals 11, no. 3: 315. https://doi.org/10.3390/cryst11030315
APA StyleCrespillo, M. L., Graham, J. T., Agulló-López, F., Zhang, Y., & Weber, W. J. (2021). Real-Time Identification of Oxygen Vacancy Centers in LiNbO3 and SrTiO3 during Irradiation with High Energy Particles. Crystals, 11(3), 315. https://doi.org/10.3390/cryst11030315

