A Stable and Efficient Pt/n-Type Ge Schottky Contact That Uses Low-Cost Carbon Paste Interlayers
Abstract
1. Introduction
2. Materials and Methods
2.1. Materials
2.2. Characterization
3. Results and Discussion
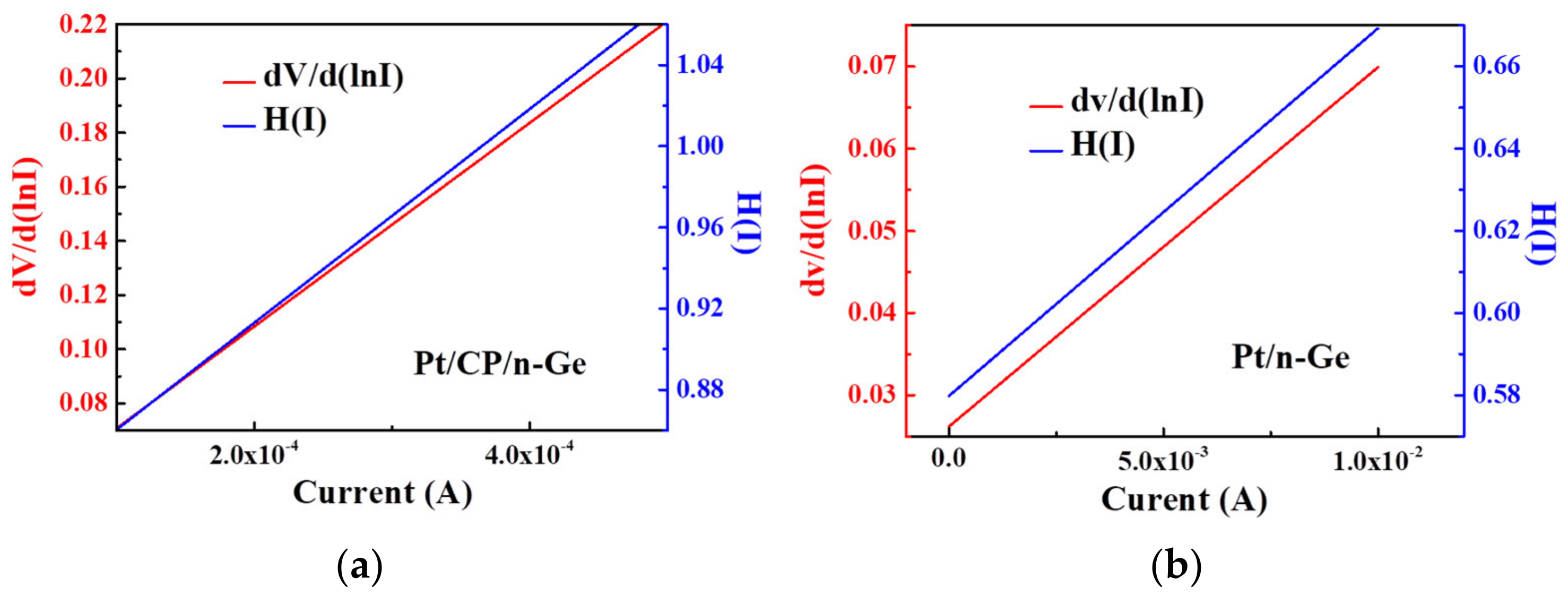
3.1. I–V Characteristics
3.2. C–V Characteristics
3.3. Energy Band Diagrams
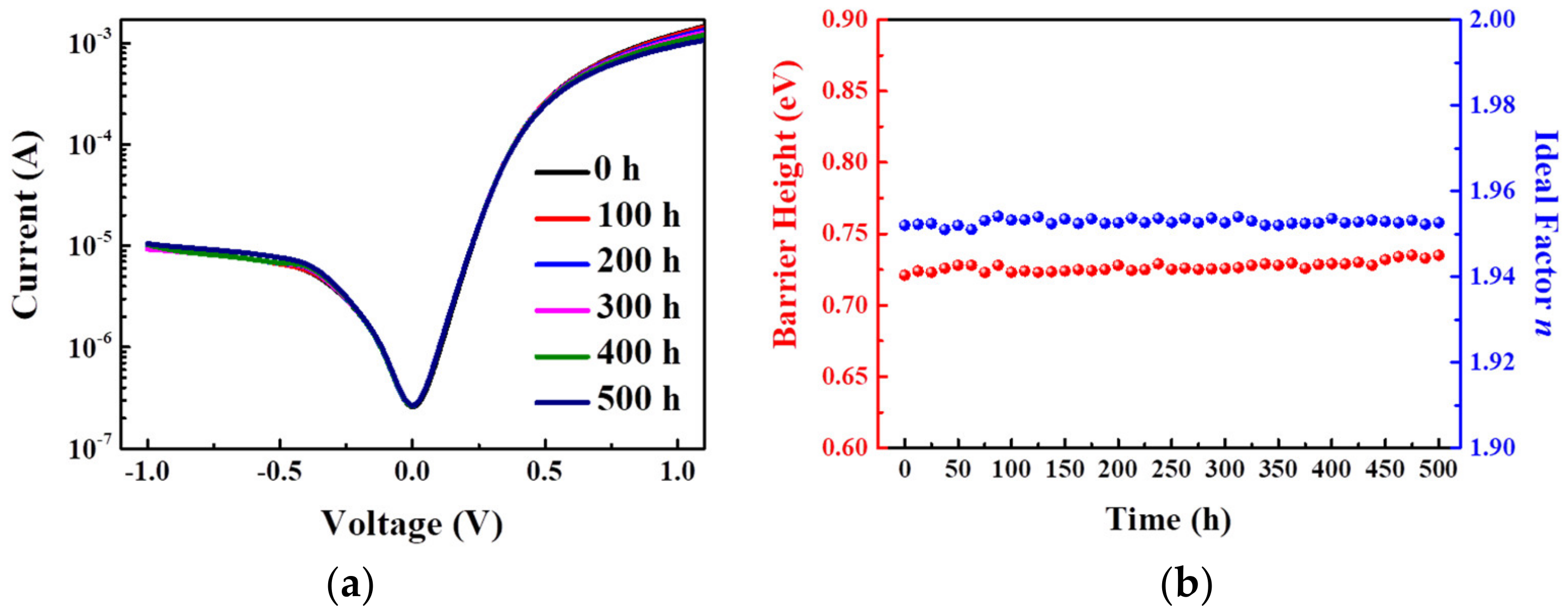
3.4. Long-Term Reliability
4. Conclusions
Author Contributions
Funding
Data Availability Statement
Acknowledgments
Conflicts of Interest
References
- Chawanda, A.; Coelho, S.M.M.; Auret, F.D.; Mtangi, W.; Nyamhere, C.; Nel, J.M.; Diale, M. Effect of thermal treatment on the characteristics of iridium Schottky barrier diodes on n-Ge (100). J. Alloy. Compd. 2012, 513, 44–49. [Google Scholar] [CrossRef]
- Ruan, D.-B.; Chang-Liao, K.-S.; Hong, Z.-Q.; Huang, J.; Yi, S.-H.; Liu, G.-T.; Chiu, P.-C.; Li, Y.-L. Radiation effects and reliability characteristics of Ge pMOSFETs. Microelectron. Eng. 2019, 216. [Google Scholar] [CrossRef]
- Pfeiffer, U.R.; Mishra, C.; Rassel, R.M.; Pinkett, S.; Reynolds, S.K. Schottky Barrier Diode Circuits in Silicon for Future Millimeter-Wave and Terahertz Applications. IEEE Trans. Microw. Theory Tech. 2008, 56, 364–371. [Google Scholar] [CrossRef]
- Lou, X.; Zhang, W.; Xie, Z.; Yang, L.; Yu, X.; Liu, Y.; Chang, H. Solution-processed high-k dielectrics for improving the performance of flexible intrinsic Ge nanowire transistors: Dielectrics screening, interface engineering and electrical properties. J. Phys. D Appl. Phys. 2019, 52. [Google Scholar] [CrossRef]
- Khurelbaatar, Z.; Kil, Y.-H.; Shim, K.-H.; Cho, H.; Kim, M.-J.; Kim, Y.-T.; Choi, C.-J. Temperature Dependent Current Transport Mechanism in Graphene/Germanium Schottky Barrier Diode. JSTS J. Semicond. Technol. Sci. 2015, 15, 7–15. [Google Scholar] [CrossRef]
- Chawanda, A.; Nyamhere, C.; Auret, F.D.; Mtangi, W.; Diale, M.; Nel, J.M. Thermal annealing behaviour of platinum, nickel and titanium Schottky barrier diodes on n-Ge (100). J. Alloy. Compd. 2010, 492, 649–655. [Google Scholar] [CrossRef]
- Chen, Z.; Yuan, S.; Li, J.; Zhang, R. Thermal Stability Enhancement of NiGe Metal Source/Drain and Ge pMOSFETs by Dopant Segregation. IEEE Trans. Electron Devices 2019, 66, 5284–5288. [Google Scholar] [CrossRef]
- Lee, H.-K.; Jyothi, I.; Janardhanam, V.; Shim, K.-H.; Yun, H.-J.; Lee, S.-N.; Hong, H.; Jeong, J.-C.; Choi, C.-J. Effects of Ta-oxide interlayer on the Schottky barrier parameters of Ni/n-type Ge Schottky barrier diode. Microelectron. Eng. 2016, 163, 26–31. [Google Scholar] [CrossRef]
- Zhou, Y.; Ogawa, M.; Han, X.; Wang, K.L. Alleviation of Fermi-level pinning effect on metal/germanium interface by insertion of an ultrathin aluminum oxide. Appl. Phys. Lett. 2008, 93. [Google Scholar] [CrossRef]
- Zhou, Y.; Han, W.; Wang, Y.; Xiu, F.; Zou, J.; Kawakami, R.K.; Wang, K.L. Investigating the origin of Fermi level pinning in Ge Schottky junctions using epitaxially grown ultrathin MgO films. Appl. Phys. Lett. 2010, 96. [Google Scholar] [CrossRef]
- Kumar, A.A.; Reddy, V.R.; Janardhanam, V.; Seo, M.-W.; Hong, H.; Shin, K.-S.; Choi, C.-J. Electrical Properties of Pt/n-Ge Schottky Contact Modified Using Copper Phthalocyanine (CuPc) Interlayer. J. Electrochem. Soc. 2011, 159, H33–H37. [Google Scholar] [CrossRef]
- Jyothi, I.; Janardhanam, V.; Rajagopal Reddy, V.; Choi, C.-J. Modified electrical characteristics of Pt/n-type Ge Schottky diode with a pyronine-B interlayer. Superlattices Microstruct. 2014, 75, 806–817. [Google Scholar] [CrossRef]
- Ashok Kumar, A.; Rajagopal Reddy, V.; Janardhanam, V.; Yang, H.-D.; Yun, H.-J.; Choi, C.-J. Electrical properties of Pt/n-type Ge Schottky contact with PEDOT:PSS interlayer. J. Alloy. Compd. 2013, 549, 18–21. [Google Scholar] [CrossRef]
- Enver Aydin, M.; Yakuphanoglu, F. Electrical characterization of inorganic-on-organic diode based InP and poly(3,4-ethylenedioxithiophene)/poly(styrenesulfonate) (PEDOT:PSS). Microelectron. Reliab. 2012, 52, 1350–1354. [Google Scholar] [CrossRef]
- Huang, C.-Y.; Lin, P.-T.; Cheng, H.-C.; Lo, F.-C.; Lee, P.-S.; Huang, Y.-W.; Huang, Q.-Y.; Kuo, Y.-C.; Lin, S.-W.; Liu, Y.-R. Rectified Schottky diodes that use low-cost carbon paste/InGaZnO junctions. Org. Electron. 2019, 68, 212–217. [Google Scholar] [CrossRef]
- Huang, C.-Y.; Lin, G.-Y.; Lin, P.-T.; Chen, J.-W.; Chen, C.-H.; Chien, F.S.-S. Influences of sintering temperature on low-cost carbon paste based counter electrodes for dye-sensitized solar cells. Jpn. J. Appl. Phys. 2017, 56. [Google Scholar] [CrossRef]
- Gao, Y.; Chu, L.; Wu, M.; Wang, L.; Guo, W.; Ma, T. Improvement of adhesion of Pt-free counter electrodes for low-cost dye-sensitized solar cells. J. Photochem. Photobiol. A Chem. 2012, 245, 66–71. [Google Scholar] [CrossRef]
- Mishraa, A.; Ahmadb, Z.; Zimmermannc, I.; Martineaud, D.; Shakoorb, R.A.; Touatia, F.; Riaze, K.; Al-Muhtasebf, S.A.; Nazeeruddinc, M.K. Effect of annealing temperature on the performance of printable carbon electrodes for perovskite solar cells. Org. Electron. 2019, 65, 375–380. [Google Scholar] [CrossRef]
- Chasin, A.; Steudel, S.; Myny, K.; Nag, M.; Ke, T.-H.; Schols, S.; Genoe, J.; Gielen, G.; Heremans, P. High-performance a-In-Ga-Zn-O Schottky diode with oxygen-treated metal contacts. Appl. Phys. Lett. 2012, 101. [Google Scholar] [CrossRef]
- Sreenu, K.; Venkata Prasad, C.; Rajagopal Reddy, V. Barrier Parameters and Current Transport Characteristics of Ti/p-InP Schottky Junction Modified Using Orange G (OG) Organic Interlayer. J. Electron. Mater. 2017, 46, 5746–5754. [Google Scholar] [CrossRef]
- Tan, S.O.; Tecimer, H.; Cicek, O. Comparative Investigation on the Effects of Organic and Inorganic Interlayers in Au/n-GaAs Schottky Diodes. IEEE Trans. Electron Devices 2017, 64, 984–990. [Google Scholar] [CrossRef]
- Tan, S.O. Comparison of Graphene and Zinc Dopant Materials for Organic Polymer Interfacial Layer Between Metal Semiconductor Structure. IEEE Trans. Electron Devices 2017, 64, 5121–5127. [Google Scholar] [CrossRef]
- Winfried, M. Barrier heights of real Schottky contacts explained by metal-induced gap states and lateral inhomogeneities. J. Vac. Sci. Technol. B 1999, 17. [Google Scholar] [CrossRef]
- Lonergan, M.C.; Jones, F.E. Calculation of transmission coefficients at nonideal semiconductor interfaces characterized by a spatial distribution of barrier heights. J. Chem. Phys. 2001, 115, 433. [Google Scholar] [CrossRef]
- Gullu, O.; Cankaya, M.; Baris, O.; Biber, M.; Ozdemir, H.; Gulluce, M.; Turut, A. DNA-based organic-on-inorganic semiconductor Schottky structures. Appl. Surf. Sci. 2008, 254, 5175–5180. [Google Scholar] [CrossRef]
- Gullu, O.; Aydogan, S.; Turut, A. High barrier Schottky diode with organic interlayer. Solid State Commun. 2012, 152, 381–385. [Google Scholar] [CrossRef]
- Cheung, S.K.; Cheung, N.W. Extraction of Schottky diode parameters from forward current-voltage characteristics. Appl. Phys. Lett. 1986, 49, 85–87. [Google Scholar] [CrossRef]
- Aubry, V.; Meyer, F. Schottky diodes with high series resistance: Limitations of forwardI-Vmethods. J. Appl. Phys. 1994, 76, 7973–7984. [Google Scholar] [CrossRef]
- Norde, H. A modified forward I-V plot for Schottky diodes with high series resistance. J. Appl. Phys. 1979, 50, 5052–5053. [Google Scholar] [CrossRef]
- Ocak, Y.S.; Guven, R.G.; Tombak, A.; Kilicoglu, T.; Guven, K.; Dogru, M. Barrier height enhancement of metal/semiconductor contact by an enzyme biofilm interlayer. Philos. Mag. 2013, 93, 2172–2181. [Google Scholar] [CrossRef]
- Du, L.; Li, H.; Yan, L.; Zhang, J.; Xin, Q.; Wang, Q.; Song, A. Effects of substrate and anode metal annealing on InGaZnO Schottky diodes. Appl. Phys. Lett. 2017, 110. [Google Scholar] [CrossRef]
- Xin, Q.; Yan, L.; Luo, Y.; Song, A. Study of breakdown voltage of indium-gallium-zinc-oxide-based Schottky diode. Appl. Phys. Lett. 2015, 106. [Google Scholar] [CrossRef]
- Zhang, J.; Wang, H.; Wilson, J.; Ma, X.; Jin, J.; Song, A. Room Temperature Processed Ultrahigh-Frequency Indium-Gallium–Zinc-Oxide Schottky Diode. IEEE Electron Device Lett. 2016, 37, 389–392. [Google Scholar] [CrossRef]
- Xin, Q.; Yan, L.; Du, L.; Zhang, J.; Luo, Y.; Wang, Q.; Song, A. Influence of sputtering conditions on room-temperature fabricated InGaZnO-based Schottky diodes. Thin Solid Film. 2016, 616, 569–572. [Google Scholar] [CrossRef]
- Zou, C.; Huang, C.Y.; Sanehira, E.M.; Luther, J.M.; Lin, L.Y. Highly stable cesium lead iodide perovskite quantum dot light-emitting diodes. Nanotechnology 2017, 28, 455201. [Google Scholar] [CrossRef] [PubMed]
- Huang, C.-Y.; Zou, C.; Mao, C.; Corp, K.L.; Yao, Y.-C.; Lee, Y.-J.; Schlenker, C.W.; Jen, A.K.Y.; Lin, L.Y. CsPbBr3 Perovskite Quantum Dot Vertical Cavity Lasers with Low Threshold and High Stability. ACS Photonics 2017, 4, 2281–2289. [Google Scholar] [CrossRef]
- Qian, H.; Wu, C.; Lu, H.; Xu, W.; Zhou, D.; Ren, F.; Chen, D.; Zhang, R.; Zheng, Y. Bias stress instability involving subgap state transitions in a-IGZO Schottky barrier diodes. J. Phys. D Appl. Phys. 2016, 49. [Google Scholar] [CrossRef]
- Kim, S.; Sanyoto, B.; Park, W.-T.; Kim, S.; Mandal, S.; Lim, J.-C.; Noh, Y.-Y.; Kim, J.-H. Purification of PEDOT:PSS by Ultrafiltration for Highly Conductive Transparent Electrode of All-Printed Organic Devices. Adv. Mater. 2016, 46. [Google Scholar] [CrossRef]
- Williamson, J.B.P.; Allen, N. Thermal stability in graphite contacts. Wear 1982, 78, 38–49. [Google Scholar] [CrossRef]







| I–V | dV/d(lnI) vs. I | H(I) vs. I | Norde | C–V | |||||
|---|---|---|---|---|---|---|---|---|---|
| ΦB (eV) | n | RS(Ω) | n | RS(Ω) | ΦB (eV) | RS(Ω) | ΦB (eV) | ΦB (eV) | |
| w/o CP | 0.57 | 1.08 | 4.37 | 1.01 | 8.93 | 0.57 | 12.14 | 0.58 | 0.82 |
| w/i CP | 0.65 | 1.95 | 376 | 1.28 | 459 | 0.65 | 2735 | 0.72 | 0.9 |
Publisher’s Note: MDPI stays neutral with regard to jurisdictional claims in published maps and institutional affiliations. |
© 2021 by the authors. Licensee MDPI, Basel, Switzerland. This article is an open access article distributed under the terms and conditions of the Creative Commons Attribution (CC BY) license (http://creativecommons.org/licenses/by/4.0/).
Share and Cite
Lin, P.-T.; Chang, J.-W.; Chang, S.-R.; Li, Z.-K.; Chen, W.-Z.; Huang, J.-H.; Ji, Y.-Z.; Hsueh, W.-J.; Huang, C.-Y. A Stable and Efficient Pt/n-Type Ge Schottky Contact That Uses Low-Cost Carbon Paste Interlayers. Crystals 2021, 11, 259. https://doi.org/10.3390/cryst11030259
Lin P-T, Chang J-W, Chang S-R, Li Z-K, Chen W-Z, Huang J-H, Ji Y-Z, Hsueh W-J, Huang C-Y. A Stable and Efficient Pt/n-Type Ge Schottky Contact That Uses Low-Cost Carbon Paste Interlayers. Crystals. 2021; 11(3):259. https://doi.org/10.3390/cryst11030259
Chicago/Turabian StyleLin, Pei-Te, Jia-Wei Chang, Syuan-Ruei Chang, Zhong-Kai Li, Wei-Zhi Chen, Jui-Hsuan Huang, Yu-Zhen Ji, Wen-Jeng Hsueh, and Chun-Ying Huang. 2021. "A Stable and Efficient Pt/n-Type Ge Schottky Contact That Uses Low-Cost Carbon Paste Interlayers" Crystals 11, no. 3: 259. https://doi.org/10.3390/cryst11030259
APA StyleLin, P.-T., Chang, J.-W., Chang, S.-R., Li, Z.-K., Chen, W.-Z., Huang, J.-H., Ji, Y.-Z., Hsueh, W.-J., & Huang, C.-Y. (2021). A Stable and Efficient Pt/n-Type Ge Schottky Contact That Uses Low-Cost Carbon Paste Interlayers. Crystals, 11(3), 259. https://doi.org/10.3390/cryst11030259

