Helimagnetism in MnBi2Se4 Driven by Spin-Frustrating Interactions Between Antiferromagnetic Chains
Abstract
1. Introduction
2. Materials and Methods
2.1. Crystal Growth
2.2. Powder X-ray Diffraction (PXRD)
2.3. Single-Crystal X-ray Diffraction (SCXRD)
2.4. Magnetic Measurements
2.5. Single Crystal Neutron Diffraction
3. Results
3.1. Crystal Growth
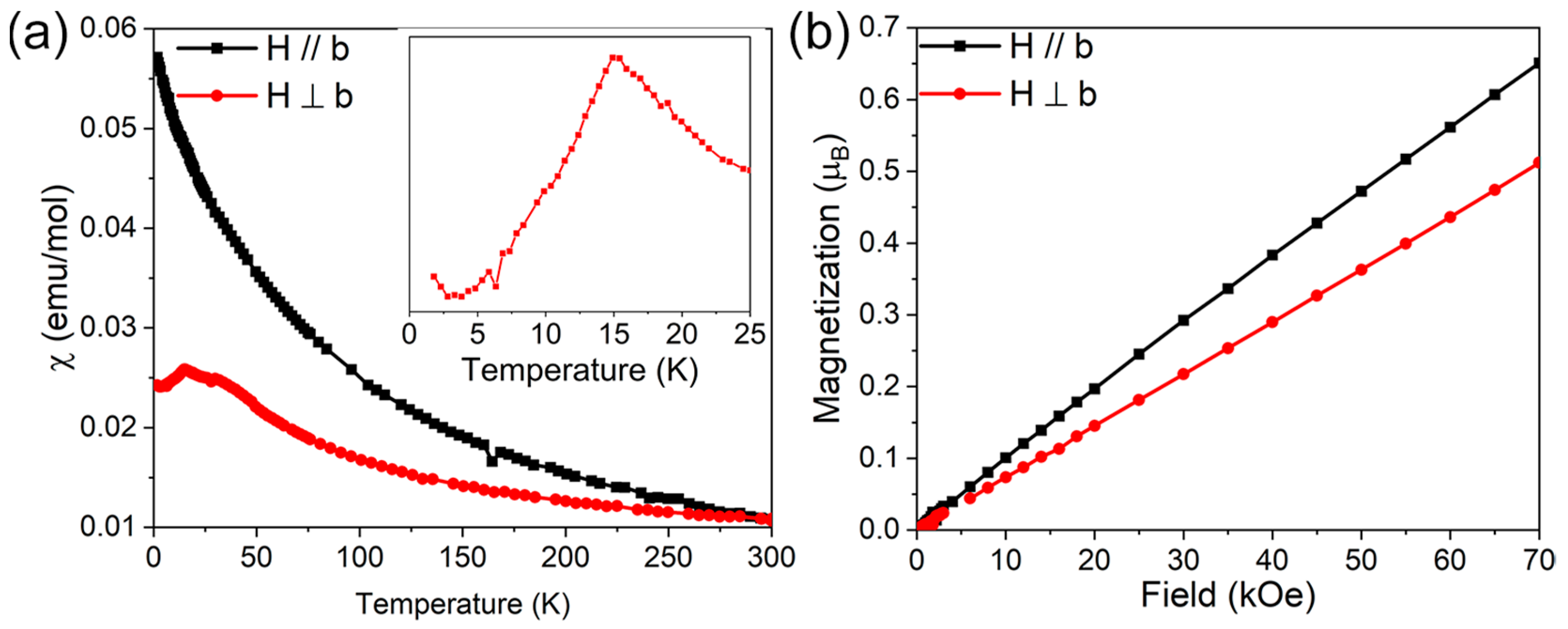
3.2. Magnetic Properties
3.3. Magnetic Structure
4. Discussion
| Compound | TN (K) | θ (K) | μ (μB) | μeff (μB) | Intrachain Distance (Å) | Interchain Distance (Å) | Intra/Inter Ratio | Interchain Pattern | Turn Angle |
|---|---|---|---|---|---|---|---|---|---|
| RbMnBr3 [24] | 8.8 | – | 3.6 | – | 3.271 | 7.462 | 0.4383 | Ladder | 130° |
| CsMnBr3 [25] | 8.45 | –167 | 3.5 | 6.4 | 3.259 | 7.618 | 0.4278 | Ladder | 120° |
| CsMnI3 [26] | 11.1 | – | 3.7 | – | 3.479 | 8.196 | 0.4244 | Ladder | 50° |
| K2MnSe2 [11] | 17 | – | 2.27 | – | 3.220 | 7.507 | 0.4289 | Ladder | 208° |
| MnSb2S4 [27] | 25 | –63 | 4.6 | 6.02 | 3.799 | 6.651 | 0.5711 | Zigzag | 132° |
| MnSb2Se4 [28] | 20 | –74 | – | 5.82 | 3.965 | 6.832 | 0.5803 | Zigzag | – |
| MnBi2Se4 | 15 | –74 | 3.3 | 5.13 | 4.070 | 6.964 | 0.5844 | Zigzag | 128° |
Supplementary Materials
Author Contributions
Funding
Institutional Review Board Statement
Informed Consent Statement
Data Availability Statement
Acknowledgments
Conflicts of Interest
References
- Ramirez, A.P. Strongly geometrically frustrated magnets. Annu. Rev. Mater. Sci. 1994, 24, 453–480. [Google Scholar] [CrossRef]
- Lacroix, C. Frustrated metallic systems: A review of some peculiar behavior. J. Phys. Soc. Jpn. 2010, 79, 011008. [Google Scholar] [CrossRef]
- Greedan, J.E. Geometrically frustrated magnetic materials. J. Mater. Chem. 2001, 11, 37–53. [Google Scholar] [CrossRef]
- Kanazawa, N.; Seki, S.; Tokura, Y. Noncentrosymmetric magnets hosting magnetic skyrmions. Adv. Mater. 2017, 29, 1603227. [Google Scholar] [CrossRef] [PubMed]
- Mikeska, H.-J.; Kolezhuk, A.K. One-dimensional magnetism. Lect. Notes Phys. 2004, 645, 1–83. [Google Scholar]
- Richter, J.; Schulenburg, J.; Honecker, A. Quantum magnetism in two dimensions: From semi-classical Néel order to magnetic disorder. Lect. Notes Phys. 2004, 645, 85–153. [Google Scholar]
- Dingle, R.; Lines, M.E.; Holt, S.L. Linear-chain antiferromagnetism in [(CH3)4N][MnCl3]. Phys. Rev. 1969, 187, 643–648. [Google Scholar] [CrossRef]
- Holyst, J.A.; Benner, H. Internal oscillations of solitons in (CH3)4NMnCl3 above and below TN. Phys. Rev. B 1995, 52, 6424–6430. [Google Scholar] [CrossRef] [PubMed]
- Simizu, S.; Chen, J.Y.; Friedberg, S.A. Quasi-one-dimensional antiferromagnetism in (CH3NH3)MnCl3⋅2H2O. J. Appl. Phys. 1984, 55, 2398–2400. [Google Scholar] [CrossRef]
- Butterworth, G.J.; Woollam, J.A. Magnetic phase diagram of CsMnCl3·2H2O. Phys. Lett. A 1969, 29, 259–260. [Google Scholar] [CrossRef]
- Bhutani, A.; Behera, P.; McAuliffe, R.D.; Cao, H.; Huq, A.; Kirkham, M.J.; dela Cruz, C.R.; Woods, T.; Shoemaker, D.P. Incommensurate magnetism in K2MnS2−xSex and prospects for tunable frustration in a triangular lattice of pseudo-1D spin chains. Phys. Rev. Mater. 2019, 3, 064404. [Google Scholar] [CrossRef]
- Li, F.; Nattermann, T.; Pokrovsky, V.L. Vortex domain walls in helical magnets. Phys. Rev. Lett. 2012, 108, 107203. [Google Scholar] [CrossRef] [PubMed]
- Vasiliev, A.; Volkova, O.; Zvereva, E.; Markina, M. Milestones of low-D quantum magnetism. NPJ Quant. Mater. 2018, 3, 18. [Google Scholar] [CrossRef]
- Tokura, Y.; Seki, S. Multiferroics with spiral spin orders. Adv. Mater. 2010, 22, 1554–1565. [Google Scholar] [CrossRef]
- Ranmohotti, K.G.S.; Djieutedjeu, H.; Poudeu, P.F.P. Chemical manipulation of magnetic ordering in Mn1–xSnxBi2Se4 solid–solutions. J. Am. Chem. Soc. 2012, 134, 14033–14042. [Google Scholar] [CrossRef]
- Nowka, C.; Gellesch, M.; Enrique Hamann Borrero, J.; Partzsch, S.; Wuttke, C.; Steckel, F.; Hess, C.; Wolter, A.U.B.; Teresa Corredor Bohorquez, L.; Büchner, B.; et al. Chemical vapor transport and characterization of MnBi2Se4. J. Cryst. Growth 2017, 459, 81–86. [Google Scholar] [CrossRef]
- PANalytical B. X’Pert HighScore Plus software v. 2.2b; PANalytical B.V.: Almelo, The Netherlands, 2006. [Google Scholar]
- PRO CrysAlis. CrysAlis; Oxford Diffraction Ltd.: Abingdon, UK, 2006. [Google Scholar]
- Chakoumakos, B.C.; Cao, H.; Ye, F.; Stoica, A.D.; Popovici, M.; Sundaram, M.; Zhou, W.; Hicks, J.S.; Lynn, G.W.; Riedel, R.A. Four-circle single-crystal neutron diffractometer at the High Flux Isotope Reactor. J. Appl. Crystallogr. 2011, 44, 655–658. [Google Scholar] [CrossRef]
- Rodríguez-Carvajal, J. Recent advances in magnetic-structure determination by neutron powder diffraction. Phys. B 1993, 192, 55–69. [Google Scholar] [CrossRef]
- Goodyear, J.; Ali, E.M.; Sutherland, H.H. Rubidium tribromomanganate. Acta Crystallogr. Sect. B 1980, 36, 671–672. [Google Scholar] [CrossRef]
- Goodyear, J.; Kennedy, D.J. The crystal structure of CsMnBr3. Acta Crystallogr. Sect. B 1972, 28, 1640–1641. [Google Scholar] [CrossRef]
- Seifert, H.J.; Kischka, K.H. Investigations on systems AX/MnX2 (A = Li-Cs. TI: X = Cl, Br, I) by DTA and X-ray analysis. Thermochim. Acta 1978, 27, 85–93. [Google Scholar] [CrossRef]
- Glinka, C.J.; Minkiewicz, V.J.; Cox, D.E.; Khattak, C.P. The magnetic structure of RbMnBr3. AIP Conf. Proc. 1973, 10, 659–663. [Google Scholar]
- Eibschütz, M.; Sherwood, R.C.; Hsu, F.S.L.; Cox, C.E. Magnetic ordering of the linear chain antiferromagnet CsMnBr3. AIP Conf. Proc. 1973, 10, 684–688. [Google Scholar]
- Zandbergen, H.W. Neutron powder diffraction and magnetic measurements on CsMnI3. J. Solid State Chem. 1980, 35, 367–375. [Google Scholar] [CrossRef]
- Léone, P.; Doussier-Brochard, C.; André, G.; Moëlo, Y. Magnetic properties and neutron diffraction study of two manganese sulfosalts: Monoclinic MnSb2S4 and benavidesite (MnPb4Sb6S14). Phys. Chem. Miner. 2008, 35, 201–206. [Google Scholar] [CrossRef]
- Djieutedjeu, H.; Makongo, J.P.A.; Rotaru, A.; Palasyuk, A.; Takas, N.J.; Zhou, X.; Ranmohotti, K.G.S.; Spinu, L.; Uher, C.; Poudeu, P.F.P. Crystal structure, charge transport, and magnetic properties of MnSb2Se4. Eur. J. Inorg. Chem. 2011, 2011, 3969–3977. [Google Scholar] [CrossRef]
- Tian, C.; Lee, C.; Kan, E.; Wu, F.; Whangbo, M.-H. Analysis of the magnetic structure and ferroelectric polarization of monoclinic MnSb2S4 by density functional theory calculations. Inorg. Chem. 2010, 49, 10956–10959. [Google Scholar] [CrossRef] [PubMed]




| Temperature, K | 4.2 |
| Wavelength, Å | 1.005 |
| Magnetic space group | |
| Unit cell parameters a, Å b, Å c, Å β, Å | 13.357 4.073 15.301 115.89 |
| Propagation vector, k | 0, 0.356, 0 |
| Magn. moment, m(Mn), μB | 3.45(14) |
| RF | 0.0604 |
| χ2 | 1.46 |
Publisher’s Note: MDPI stays neutral with regard to jurisdictional claims in published maps and institutional affiliations. |
© 2021 by the authors. Licensee MDPI, Basel, Switzerland. This article is an open access article distributed under the terms and conditions of the Creative Commons Attribution (CC BY) license (http://creativecommons.org/licenses/by/4.0/).
Share and Cite
Clark, J.K.; Pak, C.; Cao, H.; Shatruk, M. Helimagnetism in MnBi2Se4 Driven by Spin-Frustrating Interactions Between Antiferromagnetic Chains. Crystals 2021, 11, 242. https://doi.org/10.3390/cryst11030242
Clark JK, Pak C, Cao H, Shatruk M. Helimagnetism in MnBi2Se4 Driven by Spin-Frustrating Interactions Between Antiferromagnetic Chains. Crystals. 2021; 11(3):242. https://doi.org/10.3390/cryst11030242
Chicago/Turabian StyleClark, Judith K., Chongin Pak, Huibo Cao, and Michael Shatruk. 2021. "Helimagnetism in MnBi2Se4 Driven by Spin-Frustrating Interactions Between Antiferromagnetic Chains" Crystals 11, no. 3: 242. https://doi.org/10.3390/cryst11030242
APA StyleClark, J. K., Pak, C., Cao, H., & Shatruk, M. (2021). Helimagnetism in MnBi2Se4 Driven by Spin-Frustrating Interactions Between Antiferromagnetic Chains. Crystals, 11(3), 242. https://doi.org/10.3390/cryst11030242

