Photocatalytic Decolorization of Methyl Red on Nanoporous Anodic ZrO2 of Different Crystal Structures
Abstract
1. Introduction
2. Materials and Methods
3. Results and Discussion
3.1. Current Density vs. Time Characteristics of the Anodization Process
3.2. Morphology and Composition of Nanoporous ZrO2 Arrays
3.3. Optical Absorption Properties of Zirconia Nanotubes
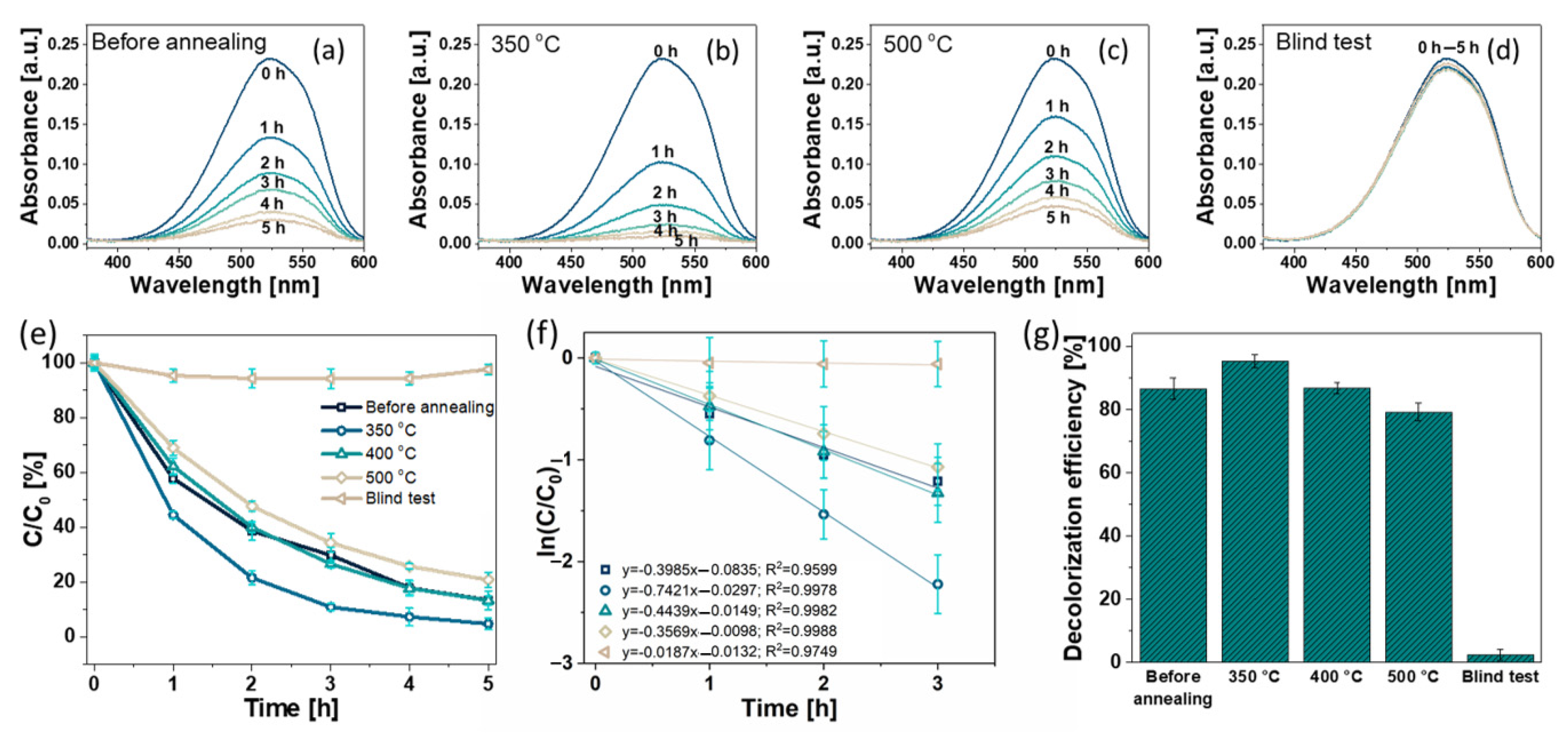
3.4. Photocatalytic Degradation of Methyl Red
4. Conclusions
Author Contributions
Funding
Institutional Review Board Statement
Informed Consent Statement
Data Availability Statement
Conflicts of Interest
References
- Kim, D.-J.; Rhee, Y.W.; Kim, J.H.; Oh, J.S.; Kim, K.S.; Yang, J.H. Thermal Conductivity measurement of Zr-ZrO2 simulated inert matrix nuclear fuel pellet. World J. Nucl. Sci. Technol. 2013, 3, 46–50. [Google Scholar] [CrossRef][Green Version]
- Mistarihi, Q.; Umer, M.A.; Kim, J.H.; Hong, S.H.; Ryu, H.J. Fabrication of ZrO2-based nanocomposites for transuranic element-burning inert matrix fuel. Nucl. Eng. Technol. 2015, 47, 617–623. [Google Scholar] [CrossRef]
- Tsuchiya, H.; Macak, J.M.; Ghicov, A.; Taveira, L.; Schmuki, P. Self-organized porous TiO2 and ZrO2 produced by anodization. Corros. Sci. 2005, 47, 3324–3335. [Google Scholar] [CrossRef]
- Ahmed, W.; Iqbal, J.; Aisida, S.O.; Badshah, A.; Ahmad, I.; Alamgir, K.; Gul, I.H. Structural, magnetic and dielectric characteristics of optically tuned Fe doped ZrO2 nanoparticles with visible light driven photocatalytic activity. Mater. Chem. Phys. 2020, 251, 122999. [Google Scholar] [CrossRef]
- Wang, L.N.; Adams, A.; Luo, J.L. Enhancement of the capability of hydroxyapatite formation on Zr with anodic ZrO2 nanotubular arrays via an effective dipping pretreatment. J. Biomed. Mater. Res. Part B Appl. Biomater. 2011, 99, 291–301. [Google Scholar] [CrossRef] [PubMed]
- Liu, T.; Zhang, X.; Wang, X.; Yu, J.; Li, L. A review of zirconia-based solid electrolytes. Ionics (Kiel) 2016, 22, 2249–2262. [Google Scholar] [CrossRef]
- Badwal, S.P.S. Zirconia-based solid electrolytes: Microstructure, stability and ionic conductivity. Solid State Ion. 1992, 52, 23–32. [Google Scholar] [CrossRef]
- Chen, R.; Qu, W.; Qian, J.; Chen, N.; Dai, Y.; Guo, C.; Huang, Y.; Li, L.; Wu, F. Zirconia-supported solid-state electrolytes for high-safety lithium secondary batteries in a wide temperature range. J. Mater. Chem. A 2017, 5, 24677–24685. [Google Scholar] [CrossRef]
- Buica, G.O.; Stoian, A.B.; Manole, C.; Demetrescu, I.; Pirvu, C. Zr/ZrO2 nanotube electrode for detection of heavy metal ions. Electrochem. Commun. 2020, 110, 106614. [Google Scholar] [CrossRef]
- Pandit, N.A.; Shahazad, M.; Ahmad, T. Structural characterization and gas sensing applications of ultrafine ZrO2 nanospheres using low temperature solution route. Mater. Today Proc. 2020, 2–7. [Google Scholar] [CrossRef]
- Van Gestel, T.; Kruidhof, H.; Blank, D.H.A.; Bouwmeester, H.J.M. ZrO2 and TiO2 membranes for nanofiltration and pervaporation. Part 1. Preparation and characterization of a corrosion-resistant ZrO2 nanofiltration membrane with a MWCO <300. J. Memb. Sci. 2006, 284, 128–136. [Google Scholar] [CrossRef]
- Rahimi, N.F.M.; Thirugnana, S.T.; Ghoshal, S.K. Yttria stabilized zirconia thin film as solid oxide fuel cell electrolyte: Temperature dependent structures and morphology. J. Environ. Treat. Tech. 2020, 8, 604–609. [Google Scholar]
- Hao, S.J.; Wang, C.; Liu, T.-L.; Mao, Z.M.; Mao, Z.Q.; Wang, J.L. Fabrication of nanoscale yttria stabilized zirconia for solid oxide fuel cell. Int. J. Hydrog. Energy 2017, 42, 29949–29959. [Google Scholar] [CrossRef]
- Rambabu, K.; Bharath, G.; Arangadi, A.F.; Velu, S.; Banat, F.; Show, P.L. ZrO2 incorporated polysulfone anion exchange membranes for fuel cell applications. Int. J. Hydrog. Energy 2020, 45, 29668–29680. [Google Scholar] [CrossRef]
- Guo, L.; Zhao, J.; Wang, X.; Xu, R.; Lu, Z.; Li, Y. Bioactivity of zirconia nanotube arrays fabricated by electrochemical anodization. Mater. Sci. Eng. C 2009, 29, 1174–1177. [Google Scholar] [CrossRef]
- Zhang, L.; Han, Y. Enhanced bioactivity of self-organized ZrO2 nanotube layer by annealing and UV irradiation. Mater. Sci. Eng. C 2011, 31, 1104–1110. [Google Scholar] [CrossRef]
- Bauer, S.; Park, J.; Faltenbacher, J.; Berger, S.; Von Der Mark, K.; Schmuki, P. Size selective behavior of mesenchymal stem cells on ZrO2 and TiO2 nanotube arrays. Integr. Biol. 2009, 1, 525–532. [Google Scholar] [CrossRef]
- Karunakaran, C.; Senthilvelan, S. Photocatalysis with ZrO2: Oxidation of aniline. J. Mol. Catal. A Chem. 2005, 233, 1–8. [Google Scholar] [CrossRef]
- Emeline, A.V.; Panasuk, A.V.; Sheremetyeva, N.; Serpone, N. Mechanistic studies of the formation of different states of oxygen on irradiated ZrO2 and the photocatalytic nature of photoprocesses from determination of turnover numbers. J. Phys. Chem. B 2005, 109, 2785–2792. [Google Scholar] [CrossRef]
- Dawoud, T.M.S.; Pavitra, V.; Ahmad, P.; Syed, A.; Nagaraju, G. Photocatalytic degradation of an organic dye using Ag doped ZrO2 nanoparticles: Milk powder facilitated eco-friendly synthesis. J. King Saud Univ. Sci. 2020, 32, 1872–1878. [Google Scholar] [CrossRef]
- Ismail, S.; Ahmad, Z.A.; Berenov, A.; Lockman, Z. Effect of applied voltage and fluoride ion content on the formation of zirconia nanotube arrays by anodic oxidation of zirconium. Corros. Sci. 2011, 53, 1156–1164. [Google Scholar] [CrossRef]
- Jothibas, M.; Manoharan, C.; Johnson Jeyakumar, S.; Praveen, P.; Joseph Panneerdoss, I. Photocatalytic activity of spray deposited ZrO2 nano-thin films on methylene blue decolouration. J. Mater. Sci. Mater. Electron. 2016, 27, 5851–5859. [Google Scholar] [CrossRef]
- Pirzada, B.M.; Mir, N.A.; Qutub, N.; Mehraj, O.; Sabir, S.; Muneer, M. Synthesis, characterization and optimization of photocatalytic activity of TiO2/ZrO2 nanocomposite heterostructures. Mater. Sci. Eng. B Solid State Mater. Adv. Technol. 2015, 193, 137–145. [Google Scholar] [CrossRef]
- Basahel, S.N.; Ali, T.T.; Mokhtar, M.; Narasimharao, K. Influence of crystal structure of nanosized ZrO2 on photocatalytic degradation of methyl orange. Nanoscale Res. Lett. 2015, 10. [Google Scholar] [CrossRef]
- Stępień, M.; Handzlik, P.; Fitzner, K. Synthesis of ZrO2 nanotubes in inorganic and organic electrolytes by anodic oxidation of zirconium. J. Solid State Electrochem. 2014, 18, 3081–3090. [Google Scholar] [CrossRef]
- Tsuchiya, H.; Macak, J.M.; Sieber, I.; Schmuki, P. Anodic porous zirconium oxide prepared in sulfuric acid electrolytes. Mater. Sci. Forum 2006, 512, 205–210. [Google Scholar] [CrossRef]
- Tsuchiya, H.; Macak, J.M.; Sieber, I.; Schmuki, P. Self-organized high-aspect-ratio nanoporous zirconium oxides prepared by electrochemical anodization. Small 2005, 1, 722–725. [Google Scholar] [CrossRef] [PubMed]
- Wierzbicka, E.; Syrek, K.; Sulka, G.D.; Pisarek, M.; Janik-Czachor, M. The effect of foil purity on morphology of anodized nanoporous ZrO2. Appl. Surf. Sci. 2016, 388, 799–804. [Google Scholar] [CrossRef]
- Pisarek, M.; Krajczewski, J.; Wierzbicka, E.; Hołdyński, M.; Sulka, G.D.; Nowakowski, R.; Kudelski, A.; Janik-Czachor, M. Influence of the silver deposition method on the activity of platforms for chemometric surface-enhanced Raman scattering measurements: Silver films on ZrO2 nanopore arrays. Spectrochim. Acta Part A Mol. Biomol. Spectrosc. 2017, 182, 124–129. [Google Scholar] [CrossRef] [PubMed]
- Zhao, J.; Xu, R.; Wang, X.; Li, Y. In situ synthesis of zirconia nanotube crystallines by direct anodization. Corros. Sci. 2008, 50, 1593–1597. [Google Scholar] [CrossRef]
- Sun, Y.; Yan, K.; Wang, G.; Guo, W.; Ma, T. Effect of annealing temperature on the hydrogen production of TiO2 nanotube arrays in a two-compartment photoelectrochemical cell. J. Phys. Chem. C 2011, 115, 12844–12849. [Google Scholar] [CrossRef]
- Lee, W.; Ji, R.; Gösele, U.; Nielsch, K. Fast fabrication of long-range ordered porous alumina membranes by hard anodization. Nat. Mater. 2006, 5, 741–747. [Google Scholar] [CrossRef]
- Berger, S.; Faltenbacher, J.; Bauer, S.; Schmuki, P. Enhanced self-ordering of anodic ZrO2 nanotubes in inorganic and organic electrolytes using two-step anodization. Phys. Status Solidi Rapid Res. Lett. 2008, 2, 102–104. [Google Scholar] [CrossRef]
- Berger, S.; Jakubka, F.; Schmuki, P. Formation of hexagonally ordered nanoporous anodic zirconia. Electrochem. Commun. 2008, 10, 1916–1919. [Google Scholar] [CrossRef]
- Syrek, K.; Zych, M.; Zaraska, L.; Sulka, G.D. Influence of annealing conditions on anodic tungsten oxide layers and their photoelectrochemical activity. Electrochim. Acta 2017, 231, 61–68. [Google Scholar] [CrossRef]
- Ohtani, B.; Ogawa, Y.; Nishimoto, S.I. Photocatalytic activity of amorphous-anatase mixture of titanium (IV) oxide particles suspended in aqueous solutions. J. Phys. Chem. B 1997, 101, 3746–3752. [Google Scholar] [CrossRef]
- Fang, D.; Liu, S.; Luo, Z.; Xiong, C.; Xu, W. Facile fabrication of freestanding through-hole ZrO2 nanotube membranes via two-step anodization methods. Appl. Surf. Sci. 2012, 258, 6217–6223. [Google Scholar] [CrossRef]
- Sinhamahapatra, A.; Jeon, J.P.; Kang, J.; Han, B.; Yu, J.S. Oxygen-deficient zirconia (ZrO2-x): A new material for solar light absorption. Sci. Rep. 2016, 6, 1–8. [Google Scholar] [CrossRef] [PubMed]
- Syrek, K.; Sennik-Kubiec, A.; Rodríguez-López, J.; Rutkowska, M.; Żmudzki, P.; Hnida-Gut, K.E.; Grudzień, J.; Chmielarz, L.; Sulka, G.D. Reactive and morphological trends on porous anodic TiO2 substrates obtained at different annealing temperatures. Int. J. Hydrog. Energy 2020, 45, 4376–4389. [Google Scholar] [CrossRef]
- Teeparthi, S.R.; Awin, E.W.; Kumar, R. Dominating role of crystal structure over defect chemistry in black and white zirconia on visible light photocatalytic activity. Sci. Rep. 2018, 8, 1–11. [Google Scholar] [CrossRef]
- Zhou, X.; Wierzbicka, E.; Liu, N.; Schmuki, P. Black and white anatase, rutile and mixed forms: Band-edges and photocatalytic activity. Chem. Commun. 2019, 55, 533–536. [Google Scholar] [CrossRef] [PubMed]
- Wierzbicka, E.; Zhou, X.; Denisov, N.; Yoo, J.E.; Fehn, D.; Liu, N.; Meyer, K.; Schmuki, P. Self-enhancing H2 evolution from TiO2 nanostructures under illumination. ChemSusChem 2019, 12, 1900–1905. [Google Scholar] [CrossRef]
- Wierzbicka, E.; Altomare, M.; Wu, M.; Liu, N.; Yokosawa, T.; Fehn, D.; Qin, S.; Meyer, K.; Unruh, T.; Spiecker, E.; et al. Reduced grey brookite for noble metal free photocatalytic H2 evolution. J. Mater. Chem. A 2021. [Google Scholar] [CrossRef]
- Wierzbicka, E.; Domaschke, M.; Denisov, N.; Fehn, D.; Hwang, I.; Kaufmann, M.; Kunstmann, B.; Schmidt, J.; Meyer, K.; Peukert, W.; et al. Magnéli phases doped with Pt for photocatalytic hydrogen evolution. ACS Appl. Energy Mater. 2019, 2, 8399–8404. [Google Scholar] [CrossRef]







Publisher’s Note: MDPI stays neutral with regard to jurisdictional claims in published maps and institutional affiliations. |
© 2021 by the authors. Licensee MDPI, Basel, Switzerland. This article is an open access article distributed under the terms and conditions of the Creative Commons Attribution (CC BY) license (http://creativecommons.org/licenses/by/4.0/).
Share and Cite
Wierzbicka, E.; Syrek, K.; Mączka, K.; Sulka, G.D. Photocatalytic Decolorization of Methyl Red on Nanoporous Anodic ZrO2 of Different Crystal Structures. Crystals 2021, 11, 215. https://doi.org/10.3390/cryst11020215
Wierzbicka E, Syrek K, Mączka K, Sulka GD. Photocatalytic Decolorization of Methyl Red on Nanoporous Anodic ZrO2 of Different Crystal Structures. Crystals. 2021; 11(2):215. https://doi.org/10.3390/cryst11020215
Chicago/Turabian StyleWierzbicka, Ewa, Karolina Syrek, Klaudia Mączka, and Grzegorz D. Sulka. 2021. "Photocatalytic Decolorization of Methyl Red on Nanoporous Anodic ZrO2 of Different Crystal Structures" Crystals 11, no. 2: 215. https://doi.org/10.3390/cryst11020215
APA StyleWierzbicka, E., Syrek, K., Mączka, K., & Sulka, G. D. (2021). Photocatalytic Decolorization of Methyl Red on Nanoporous Anodic ZrO2 of Different Crystal Structures. Crystals, 11(2), 215. https://doi.org/10.3390/cryst11020215

