An Analytical Study of Internal Heating and Chemical Reaction Effects on MHD Flow of Nanofluid with Convective Conditions
Abstract
:1. Introduction
- (1)
- To explore time subservient Walter-B nanofluid flow resulting from the impression of heat and mass transfer and thermal radiation/absorption, along with chemical reaction;
- (2)
- Mathematical modeling of the fundamental flow equations that comprises momentum, energy, and diffusion balances;
- (3)
- To impose an analytical method for attaining the upshots. Additionally, to reduce a stability and convergence study for optimizing flow constraints;
- (4)
- To display the impact of diversified pertinent parameters on flow fields, together with skin friction force, heat transfer, and mass transfer profiles;
- (5)
- To show the advanced 3D form of the fluid flow.
2. Mathematical Modeling
3. Quantities of Interest
4. Homotopic Solution (HAM)
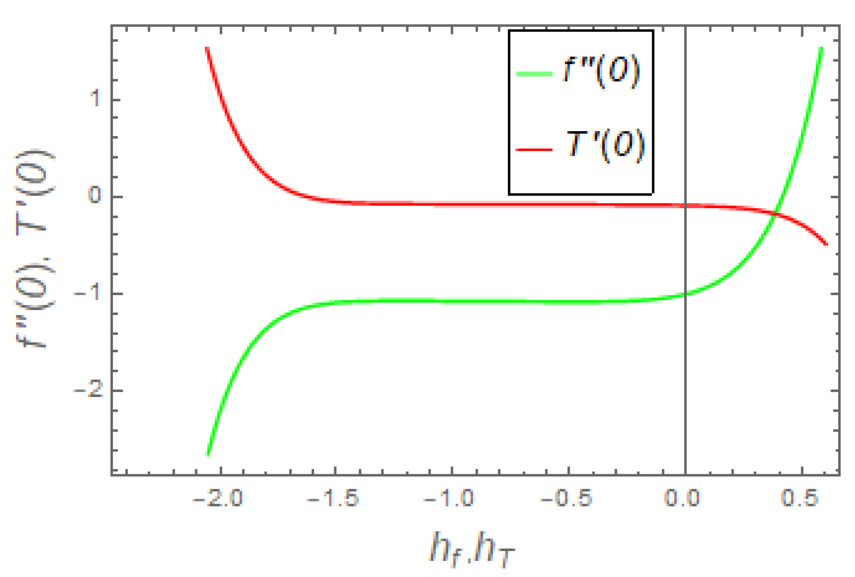
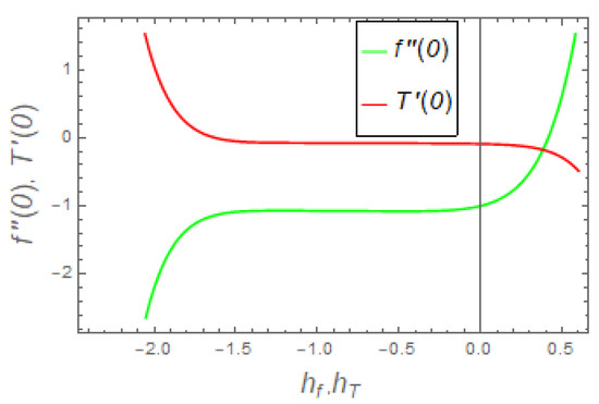
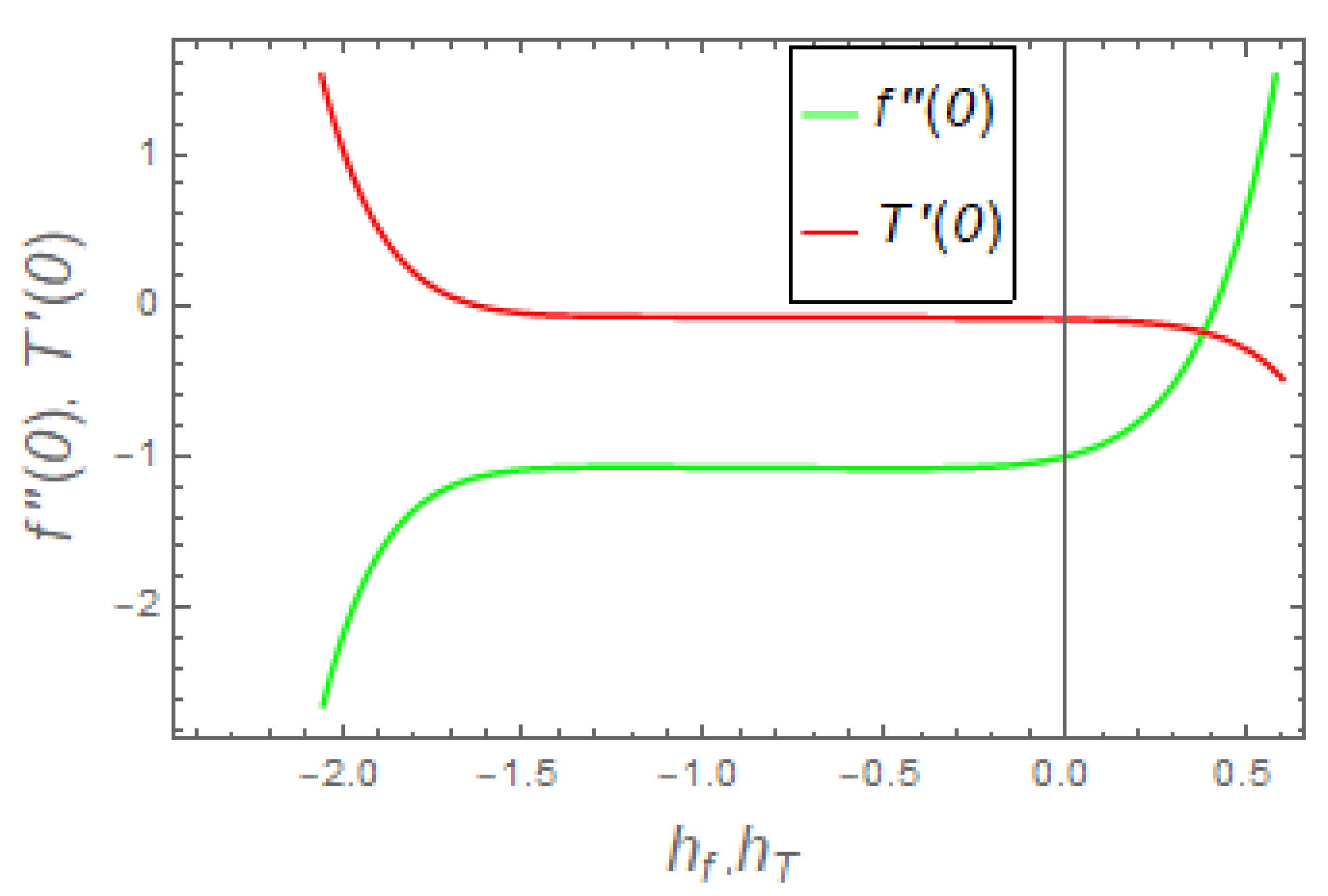
5. Convergence and Stability Analysis

6. Discussion
7. Closing Remarks
- (1)
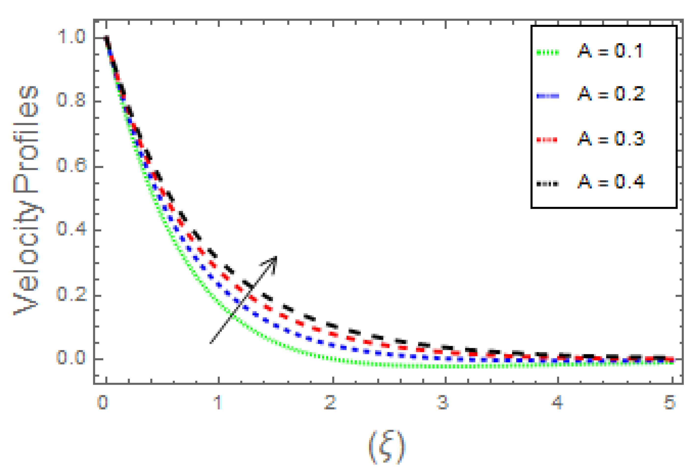
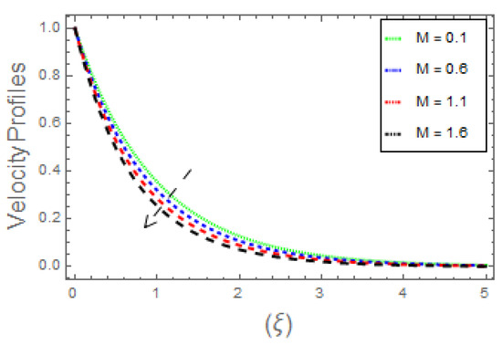
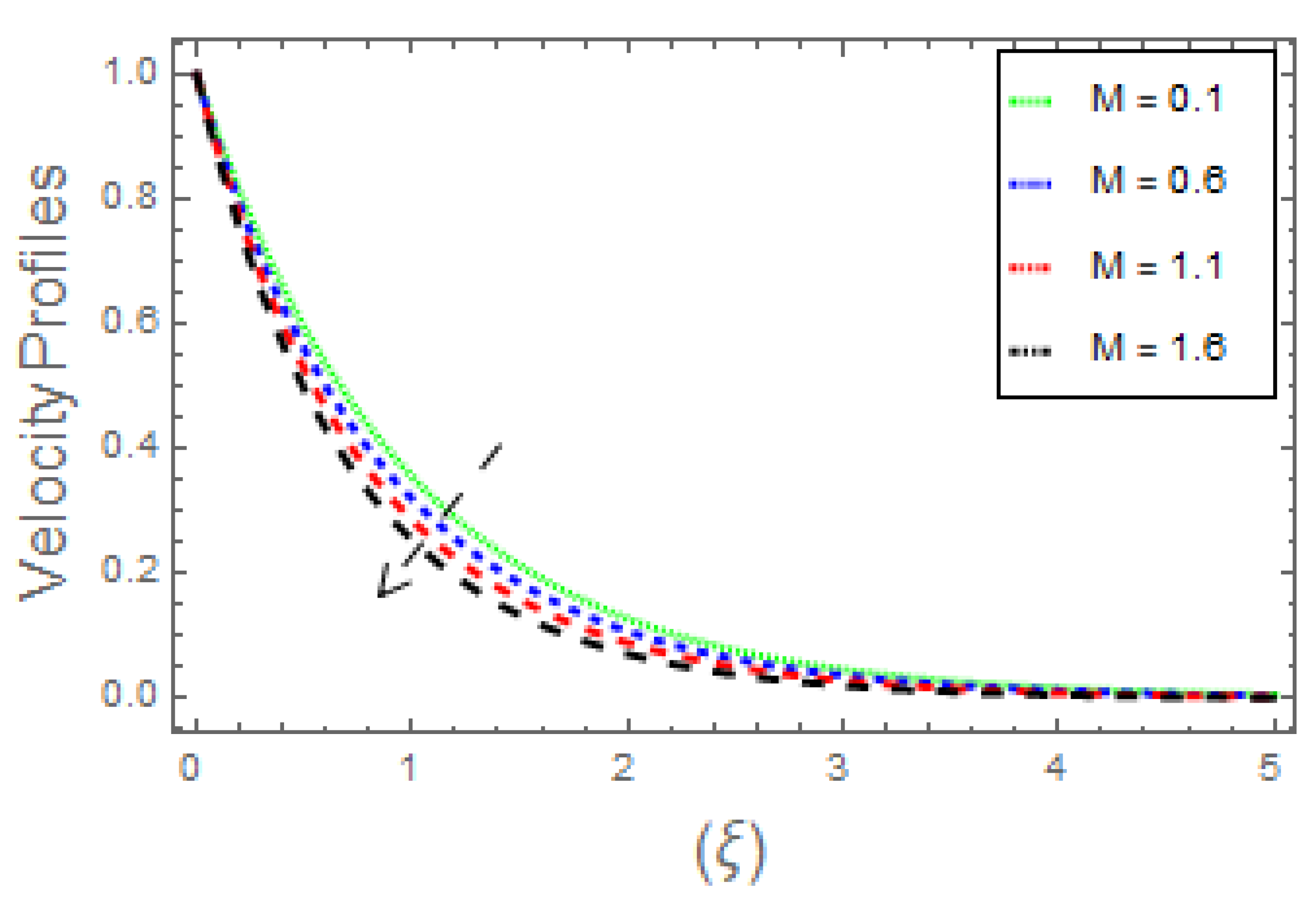
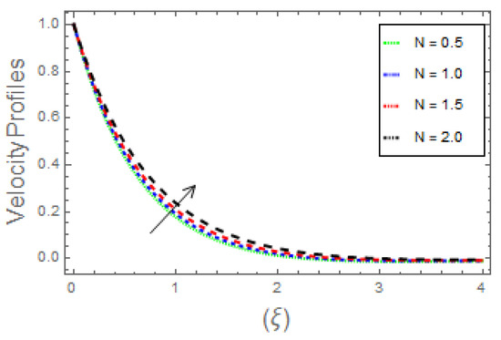
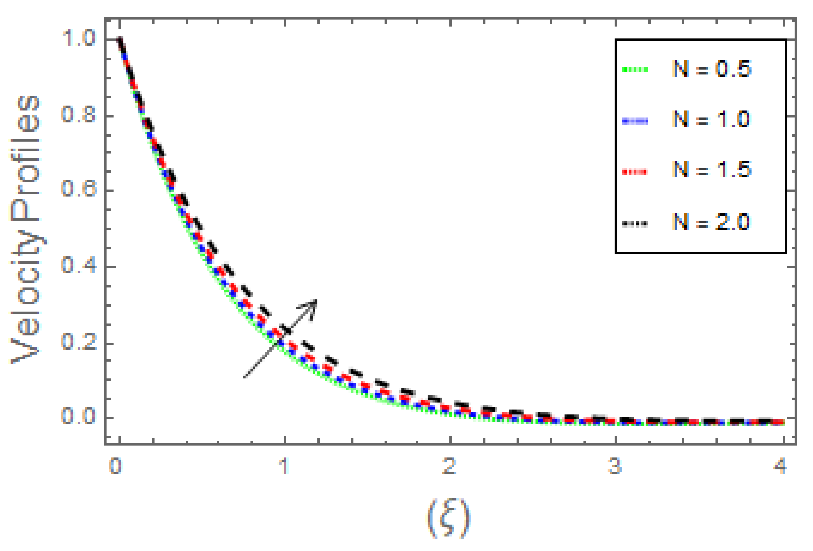
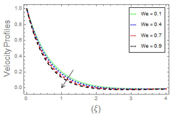
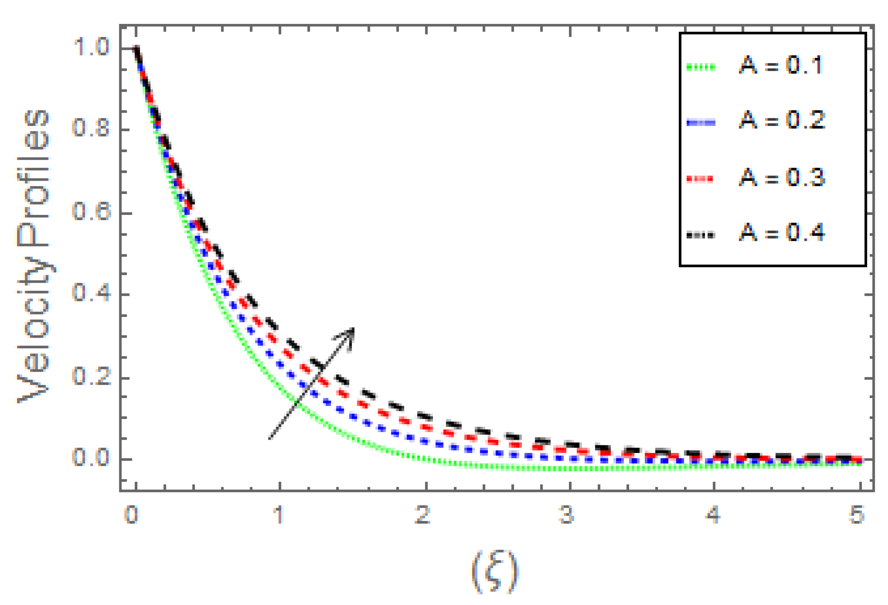
- It is observed that boundary layers in profiles diminish with incrementing data of magnetic parameter and Weissenberg number, whereas increasing the ratio of rate constant parameter, the ratio of thermal to concentration buoyancy forces, and mixed convection parameter caused the profiles to upsurge;
- (2)
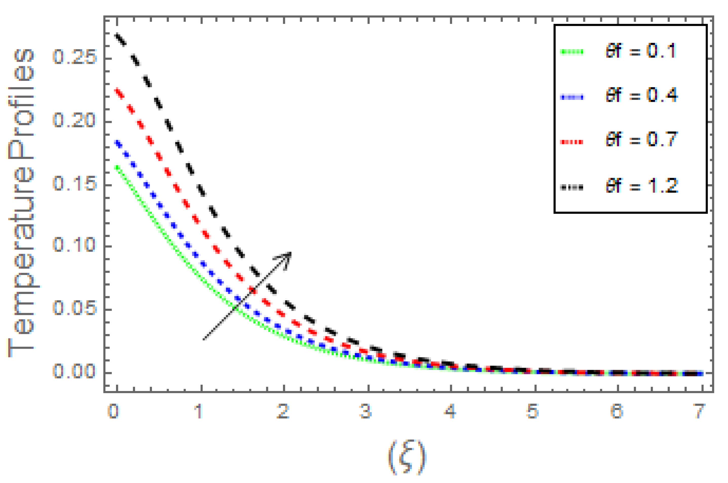
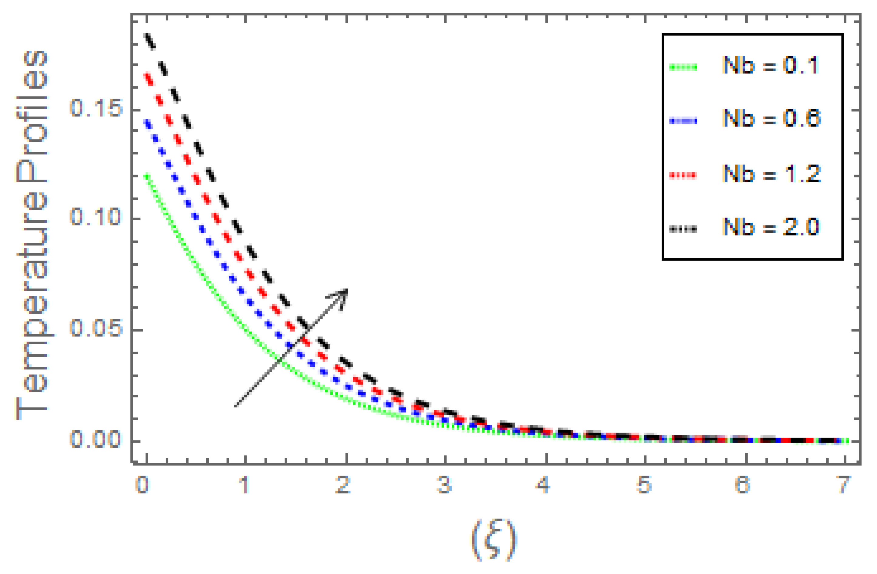
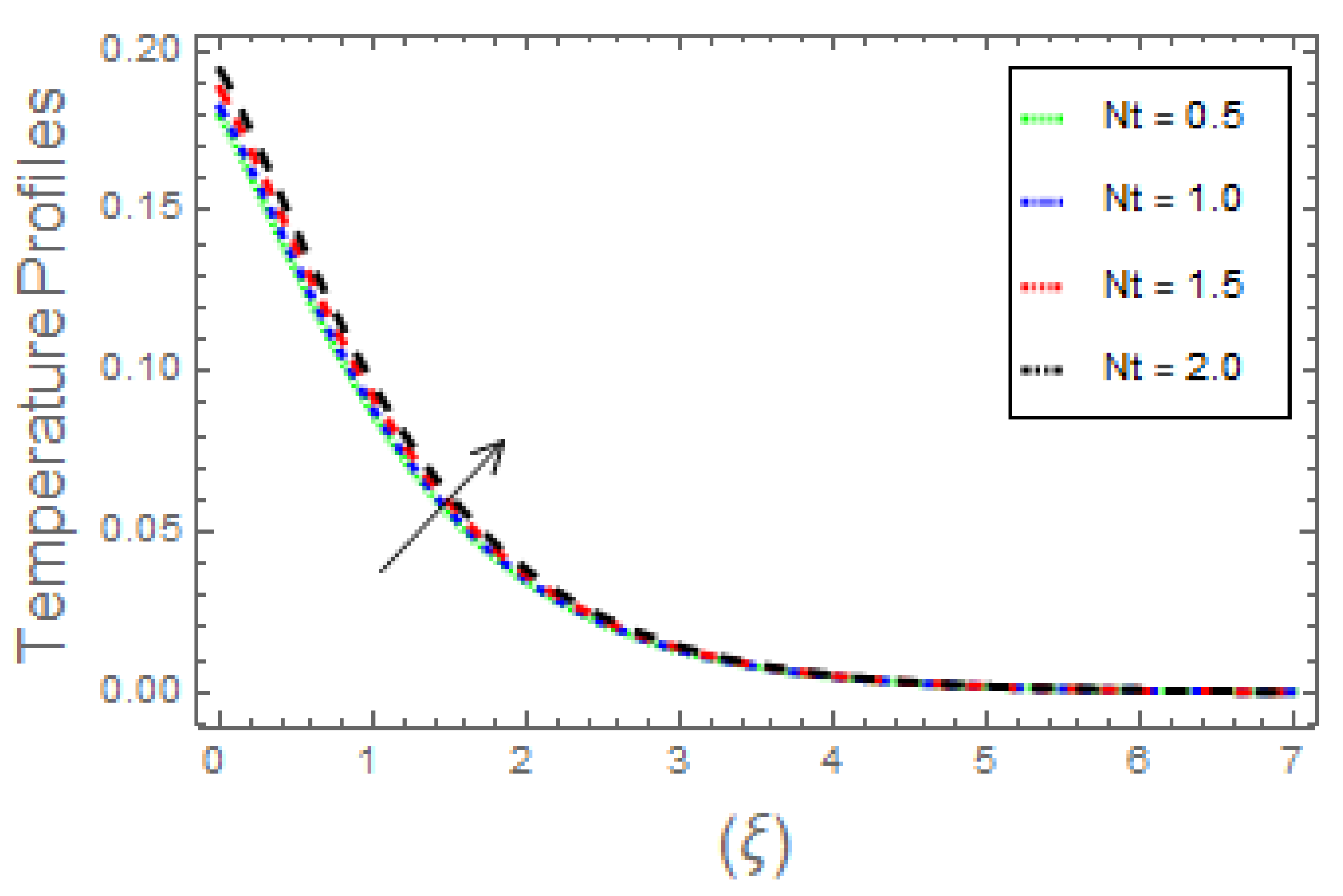
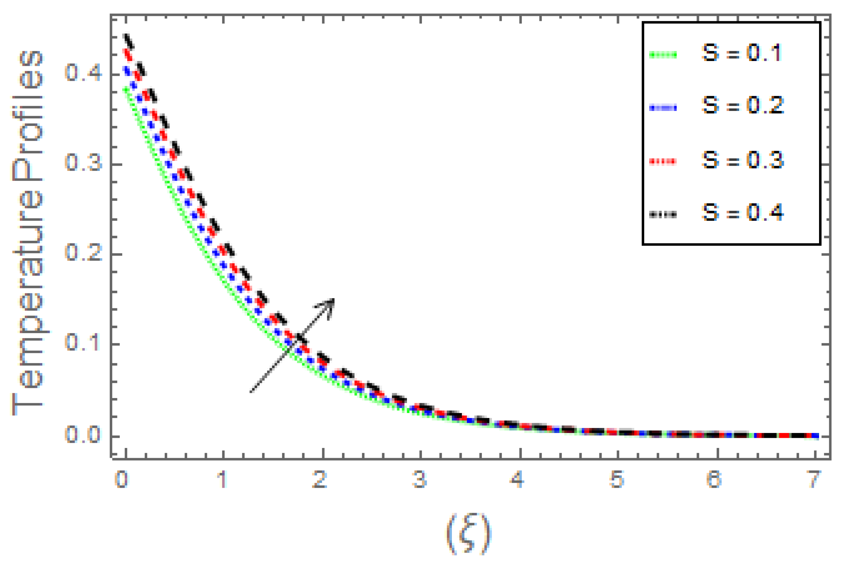
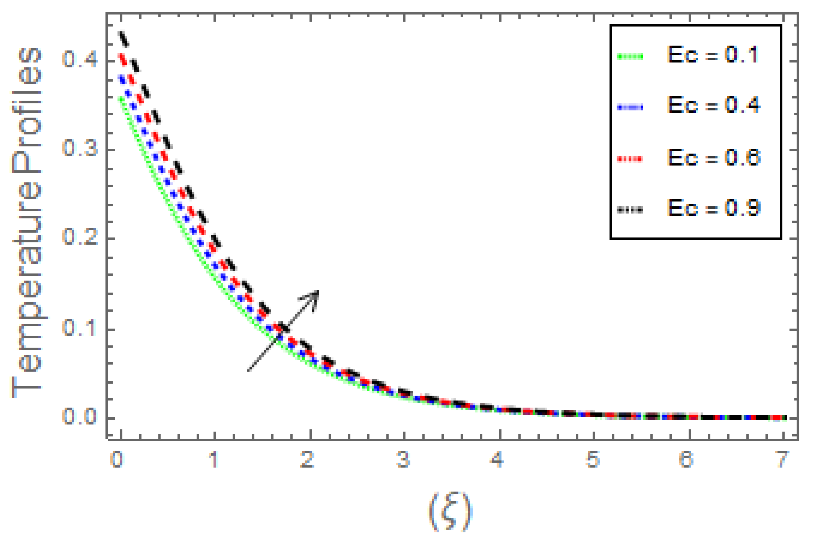
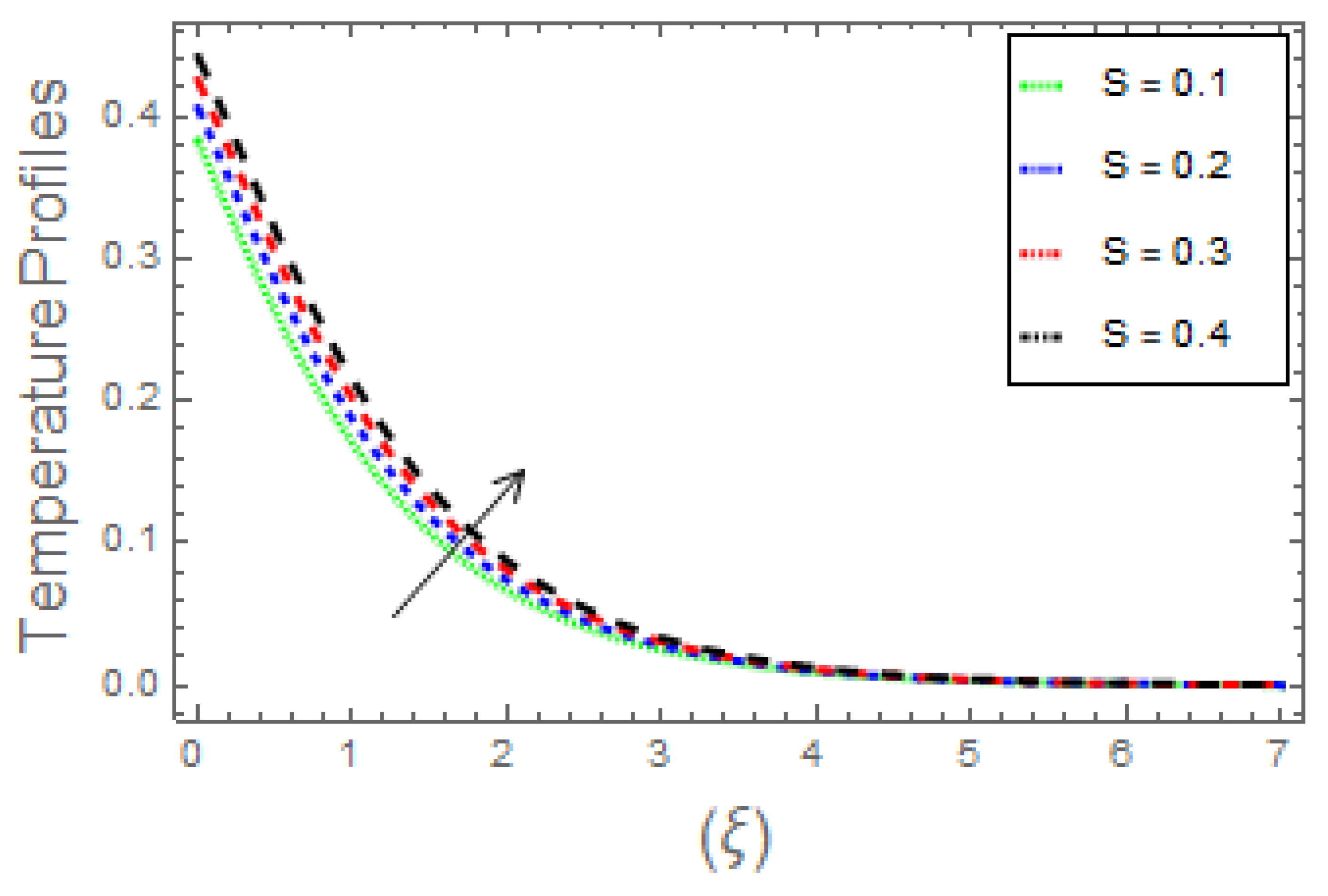
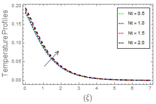
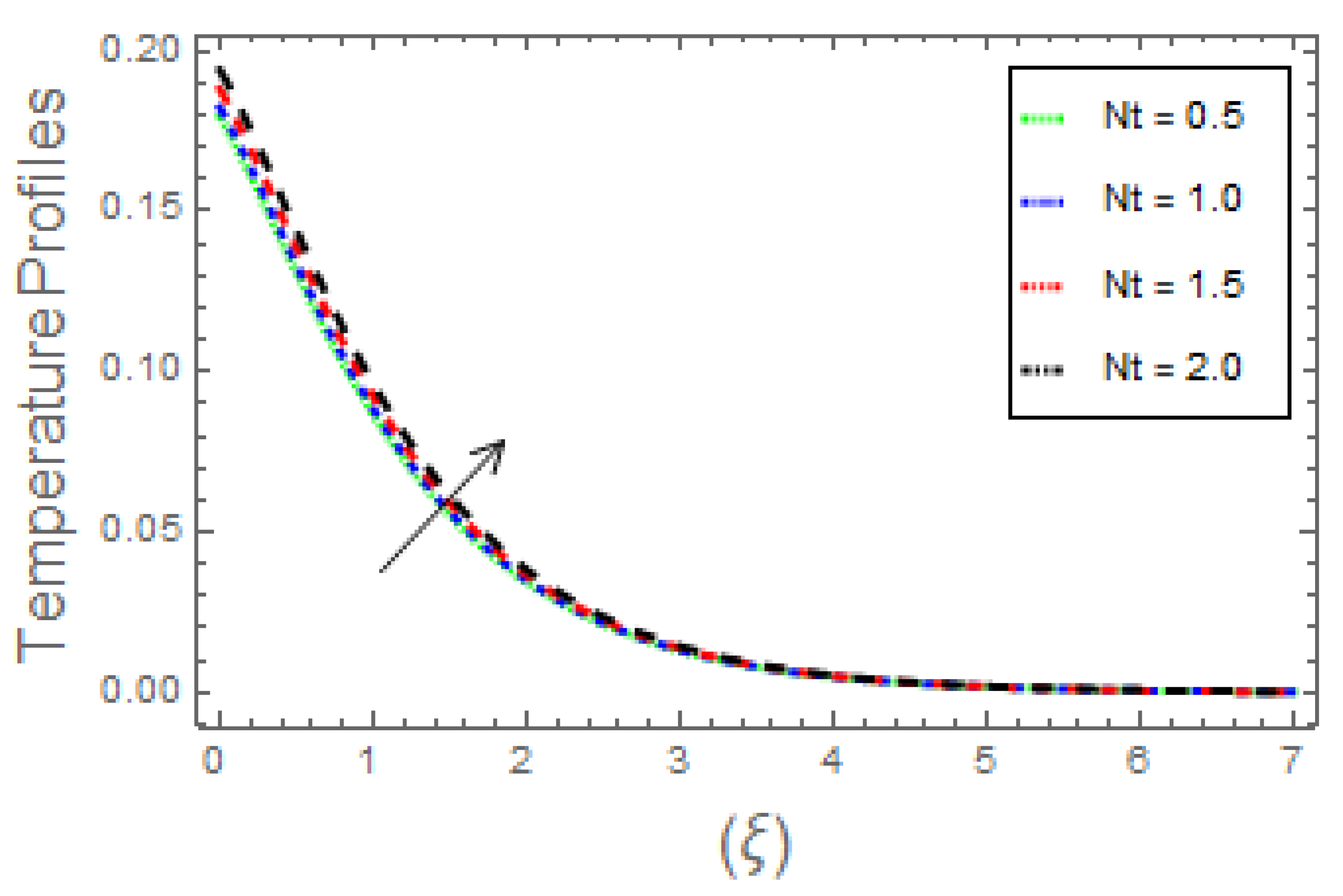
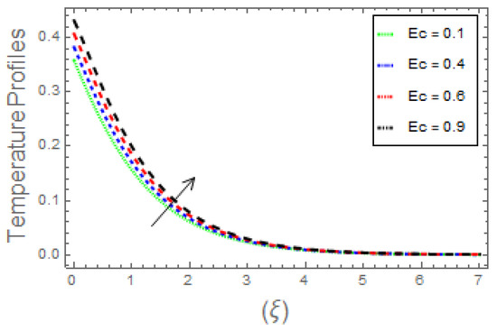
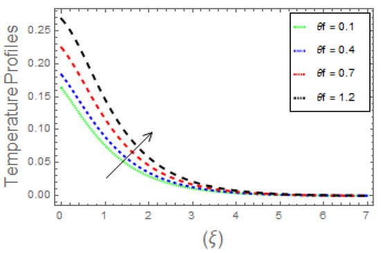
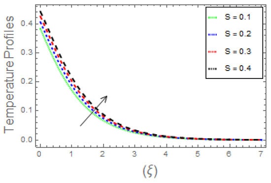
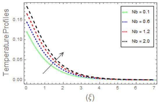
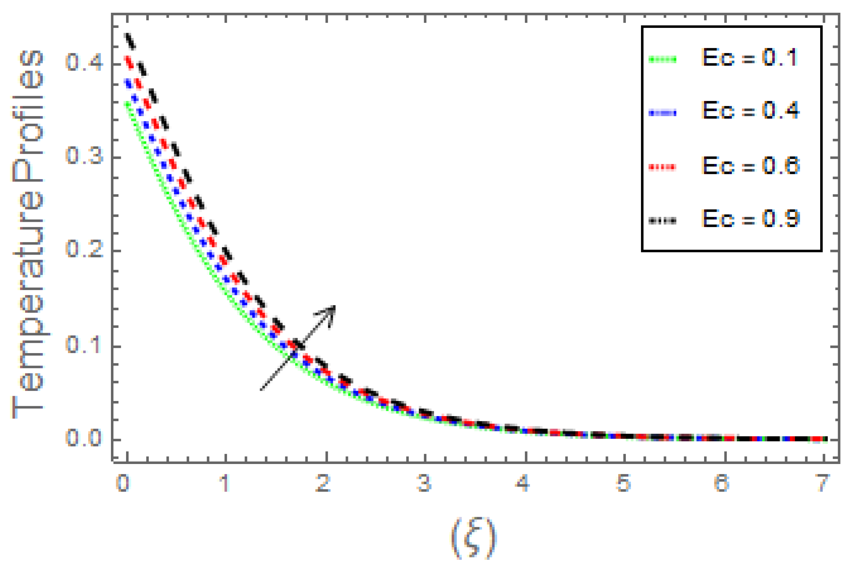
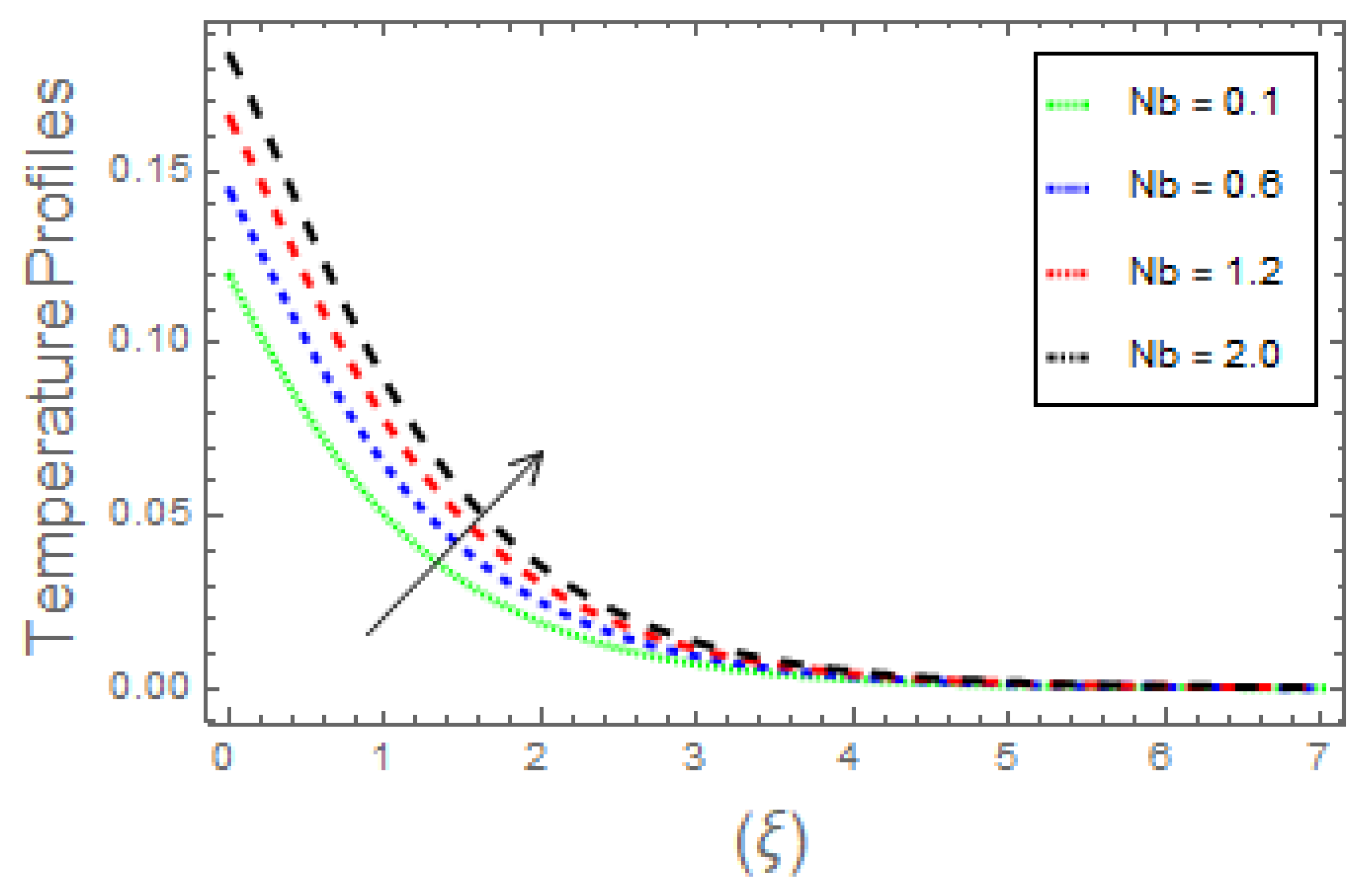
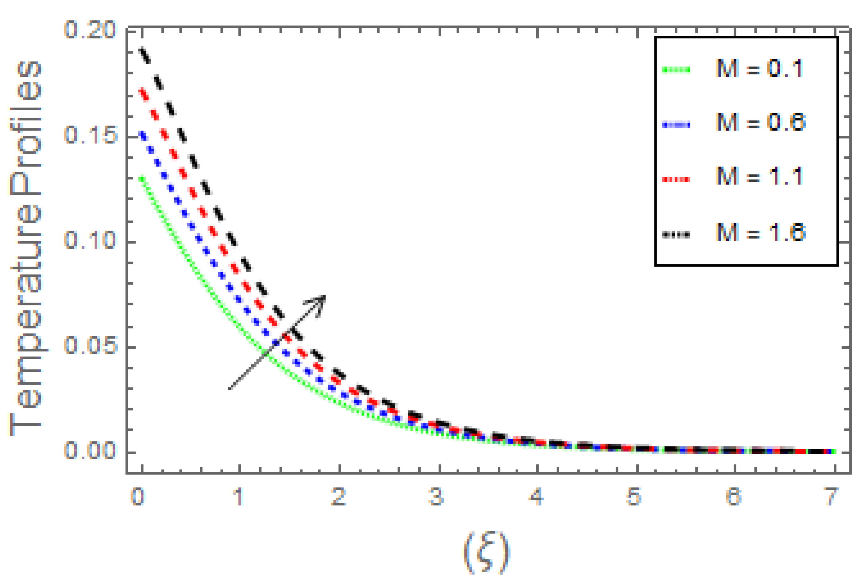
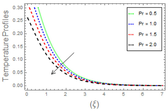
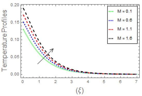
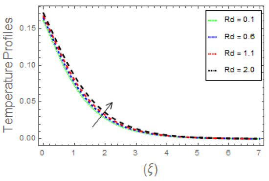
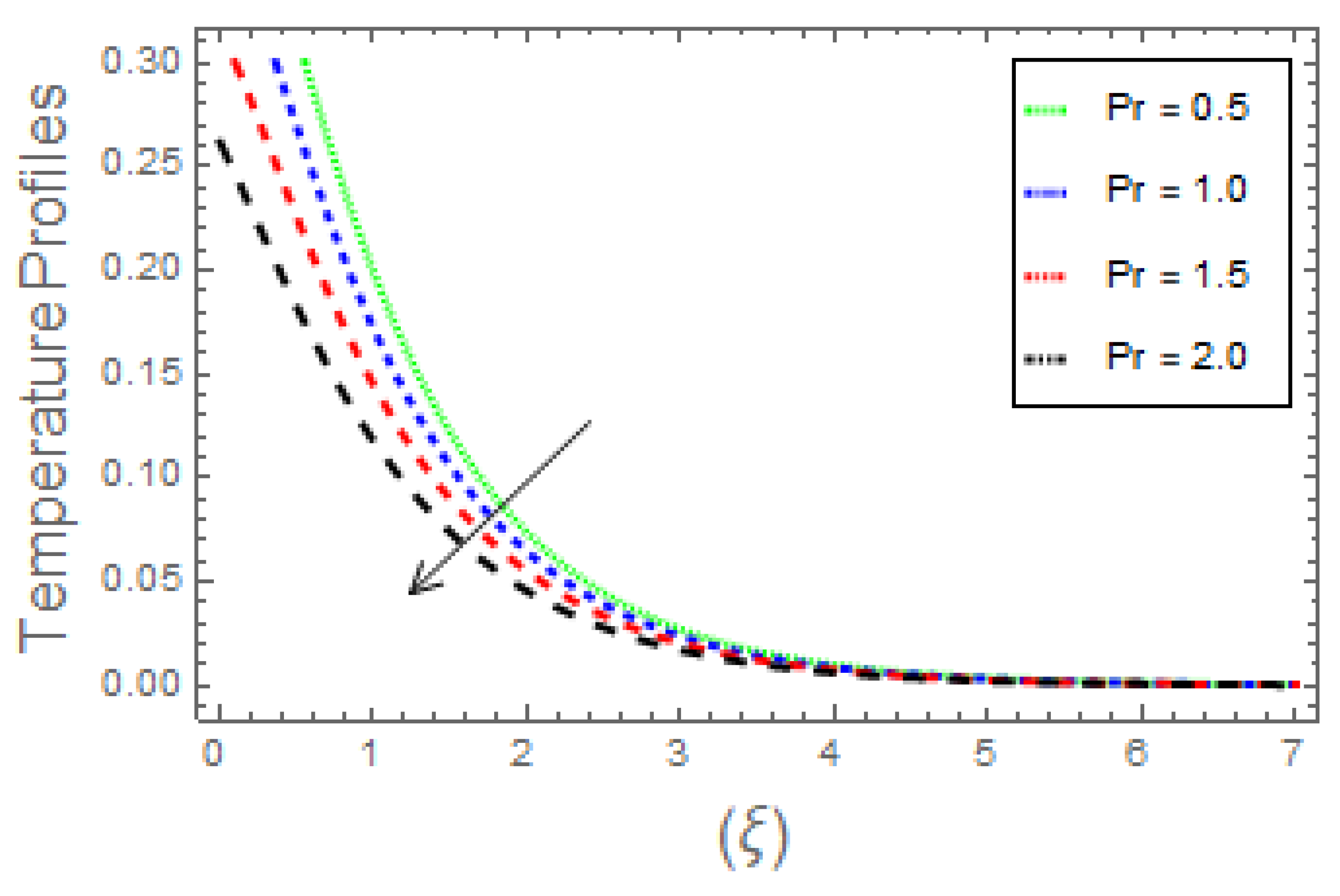
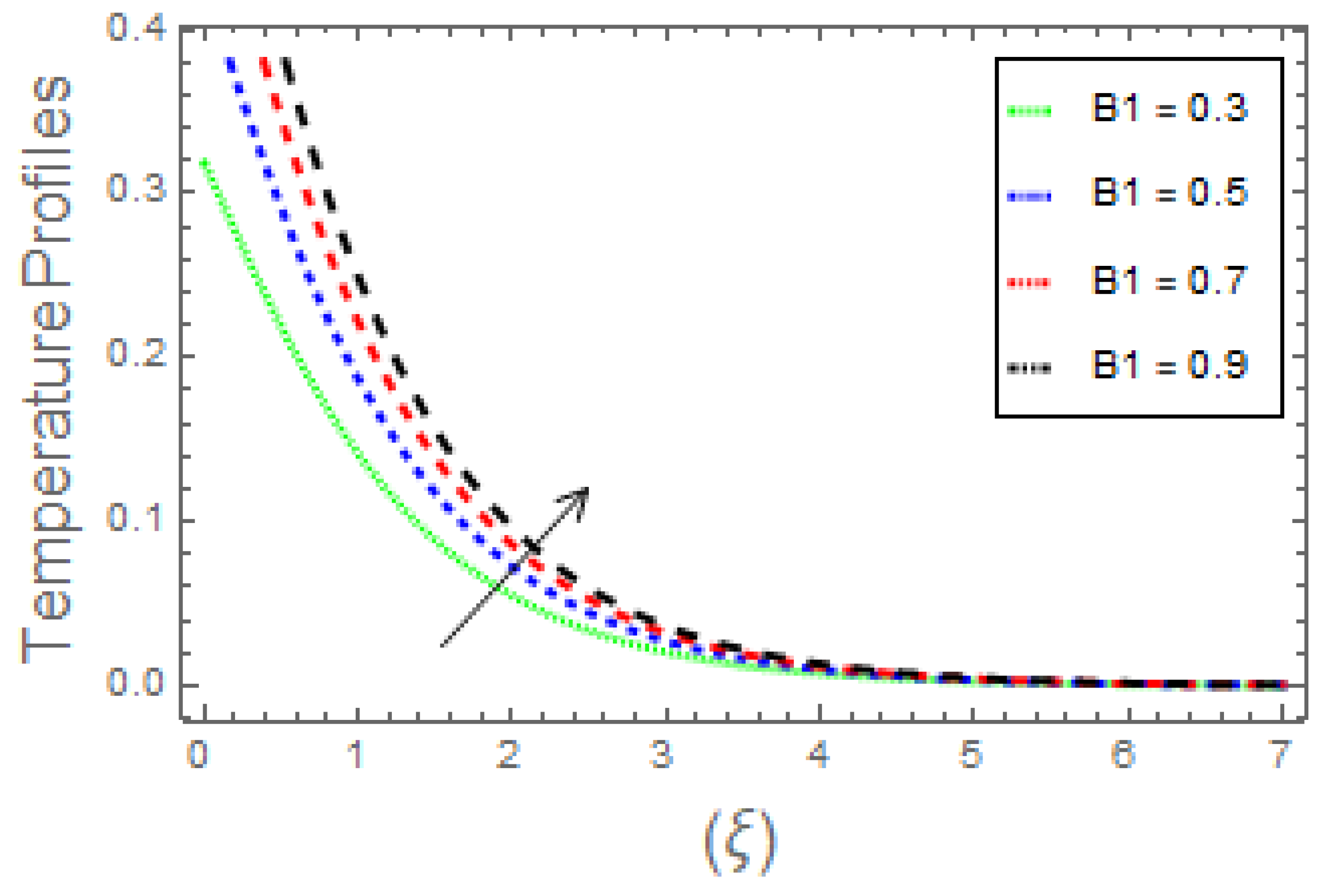
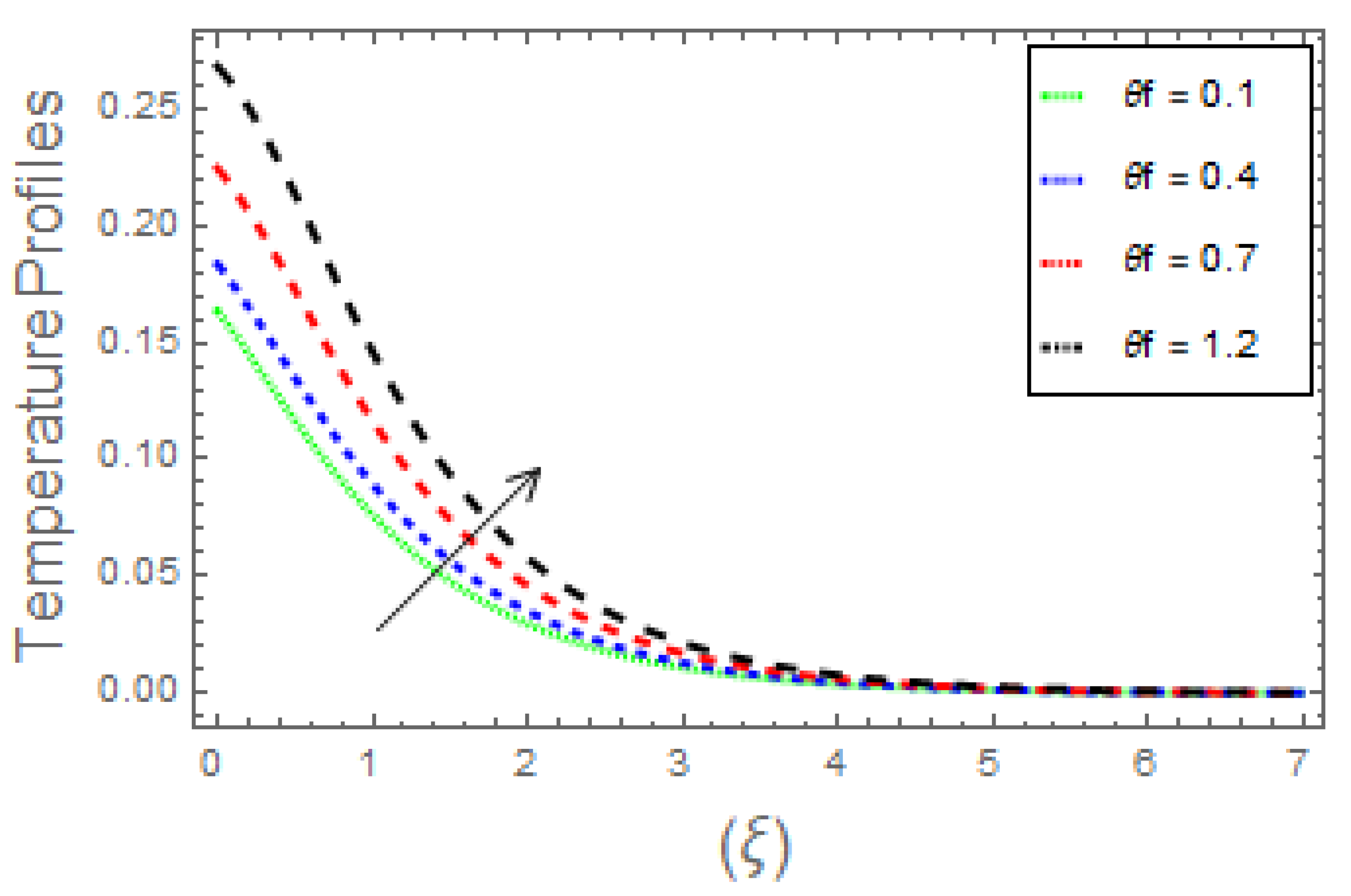
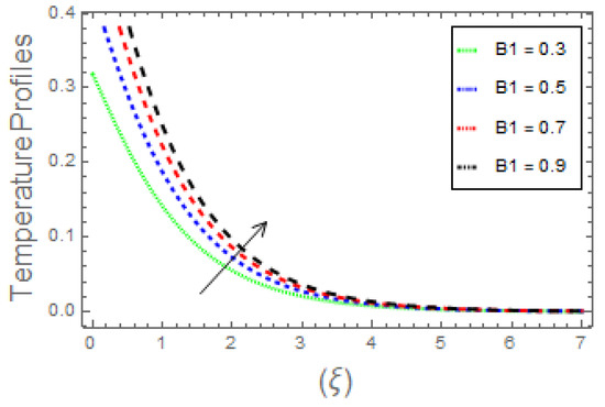
- The thermal field curves and heat transfer rates rise due to augmentation in magnetic parameter, radiation factor, heat generation parameter, Eckert number, along with Brownian, thermophoresis, and thermal Biot number. With the upsurge in the Prandtl number, the fluid thermal energy and the related thickness decrease;
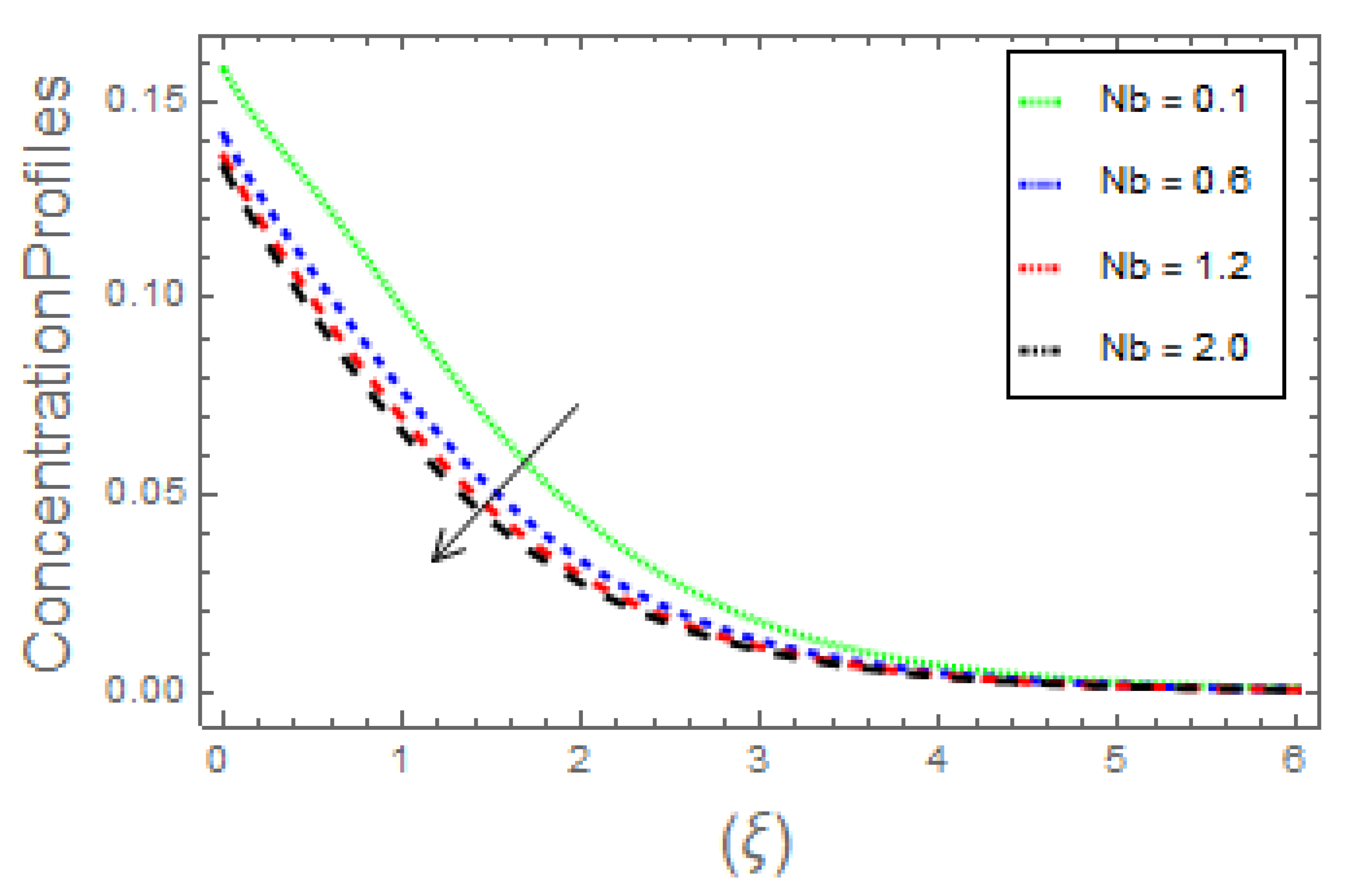
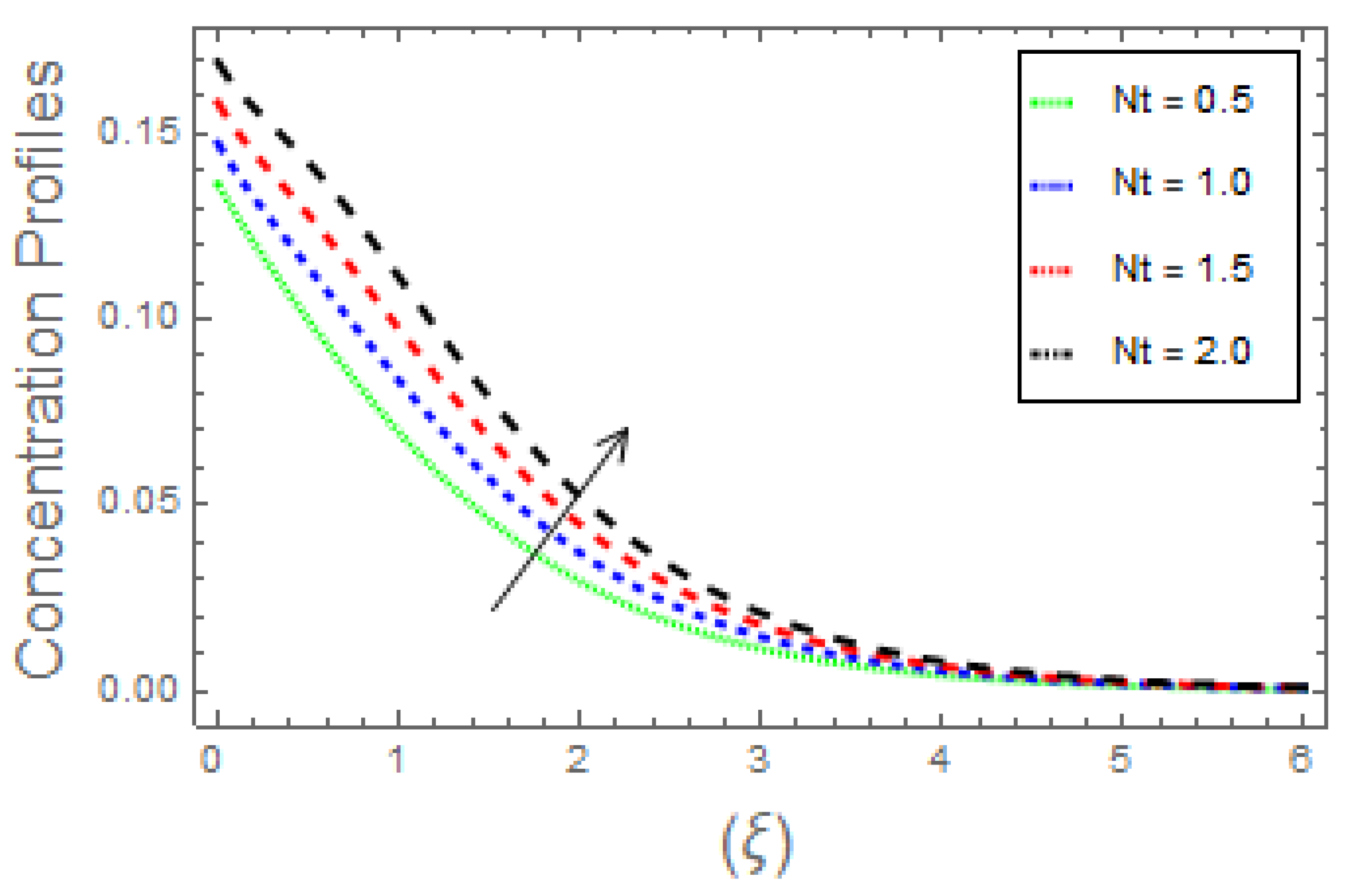
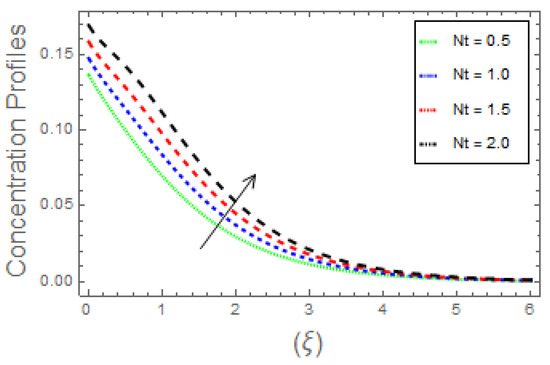
- (3)
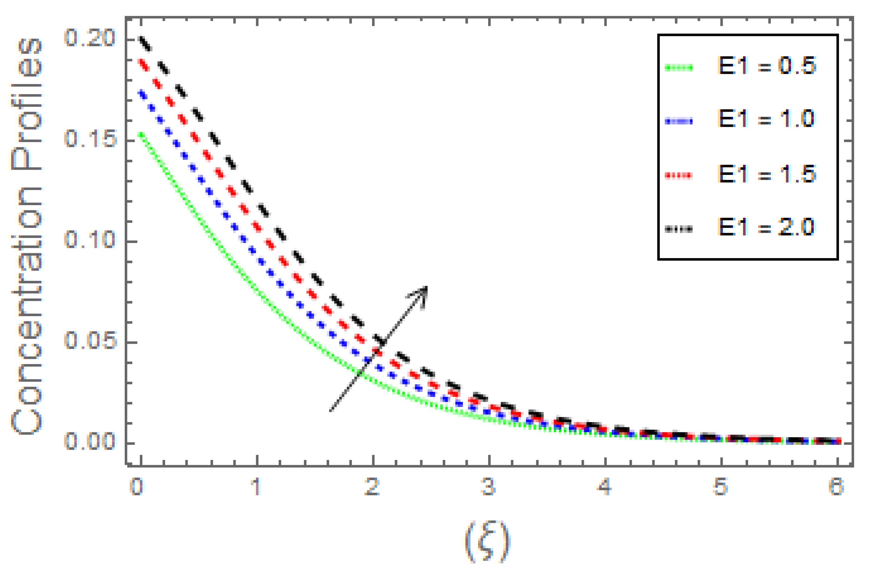
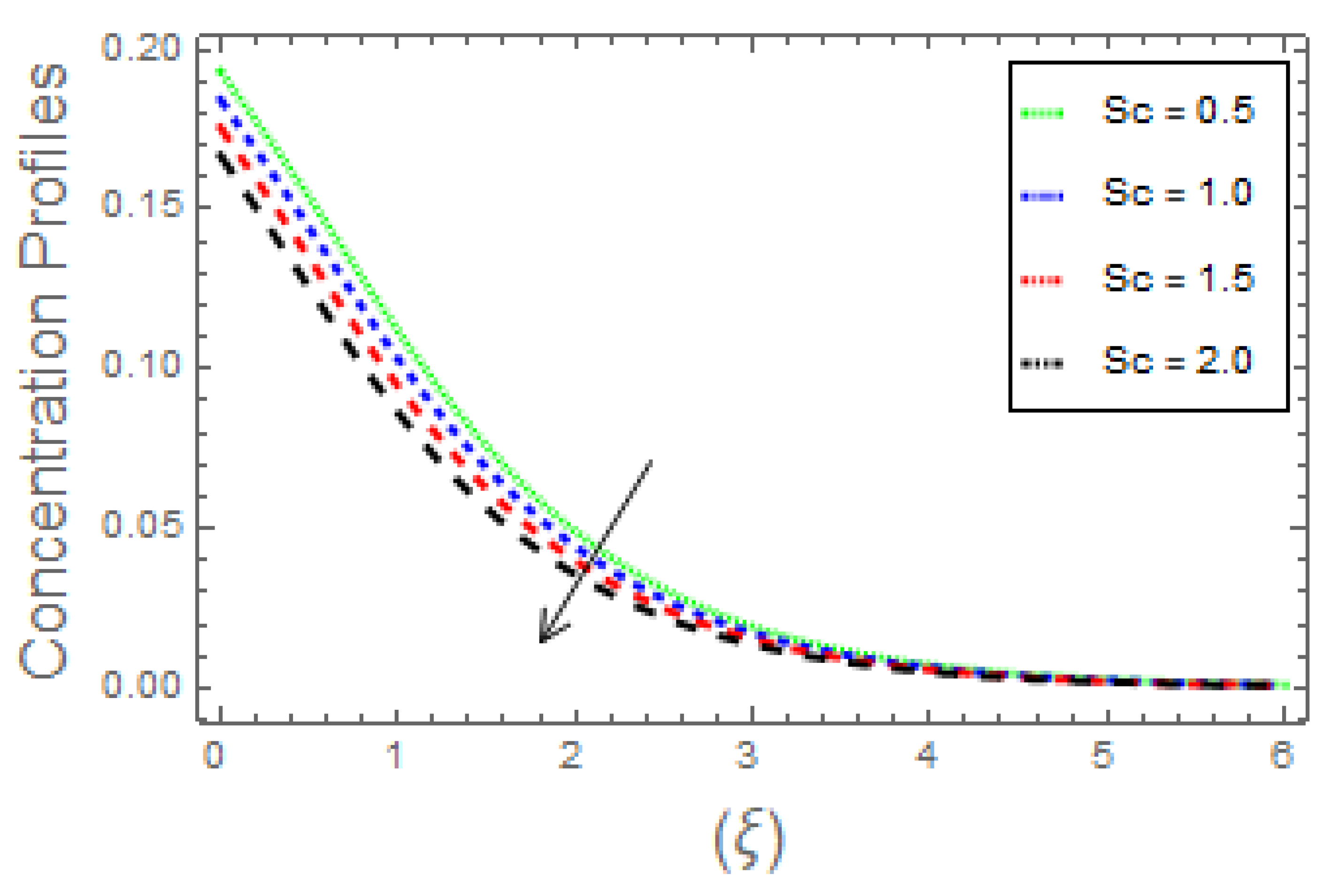
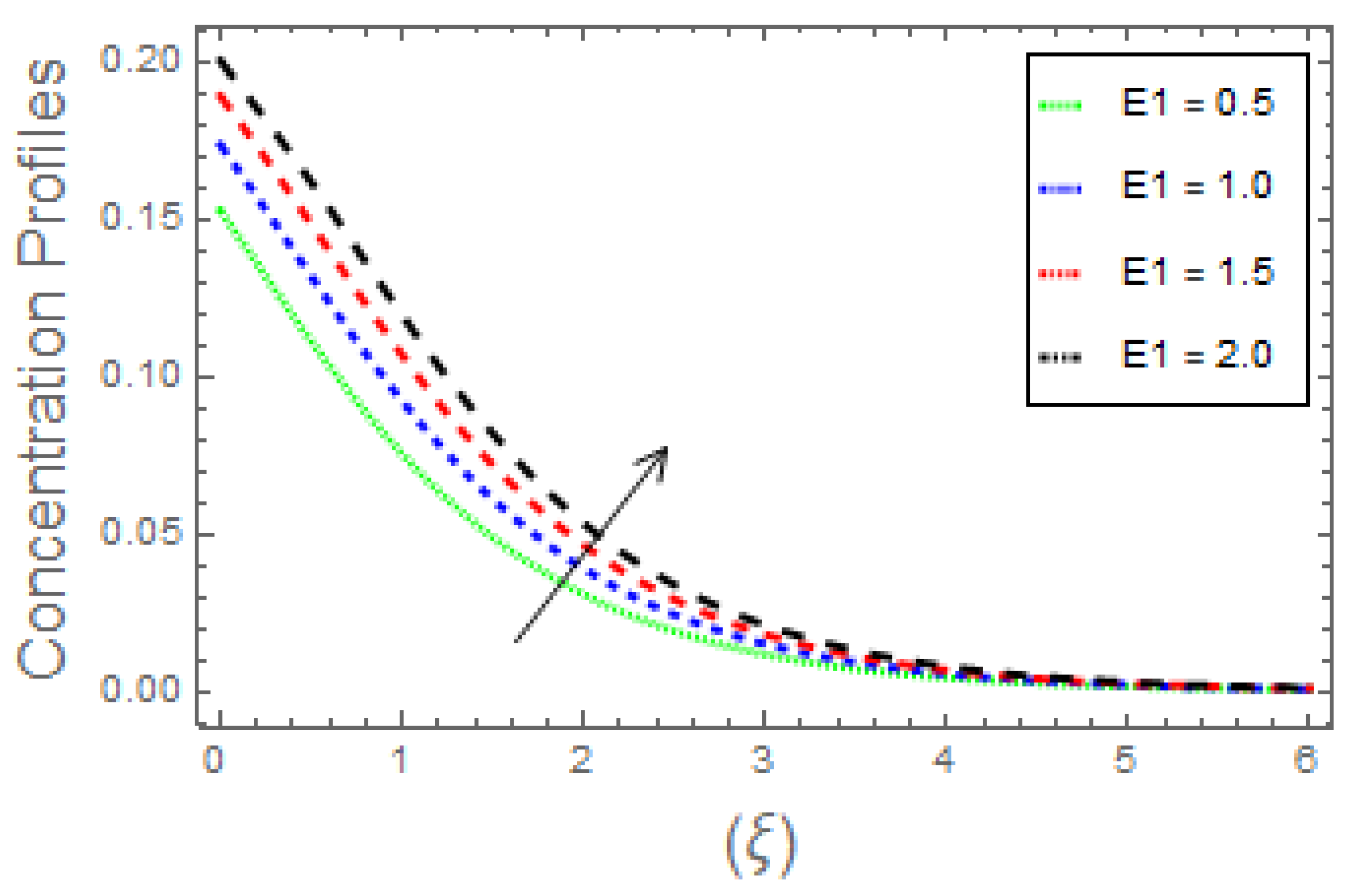
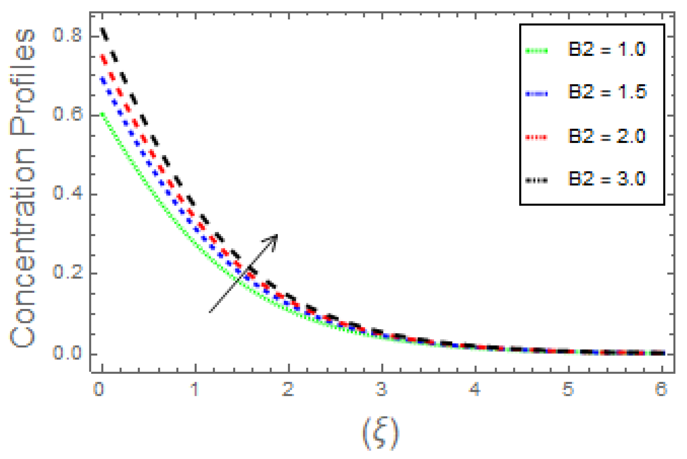
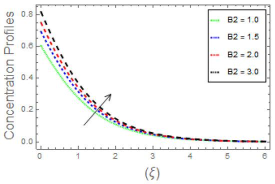
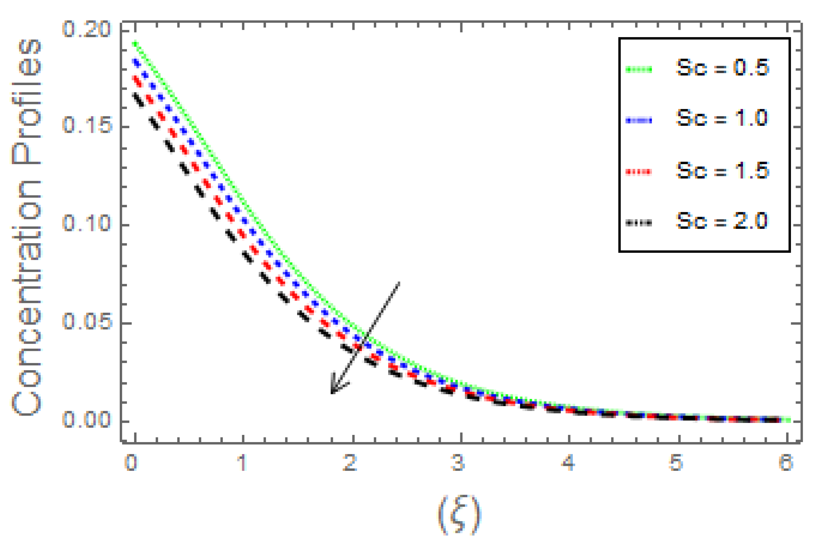
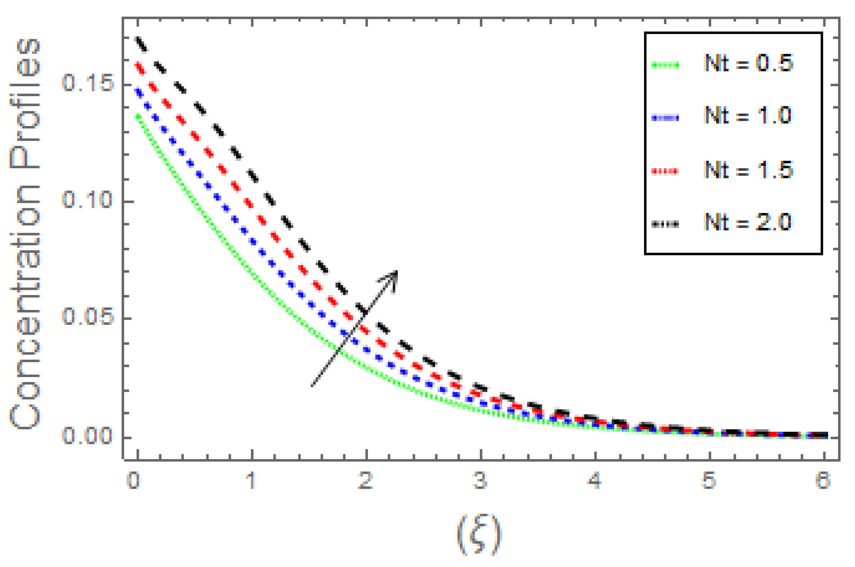
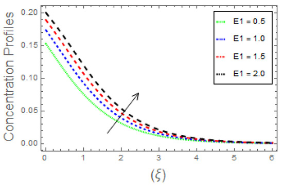
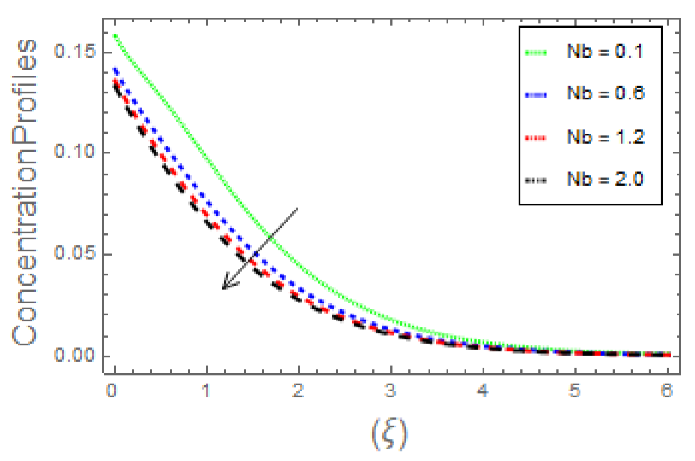
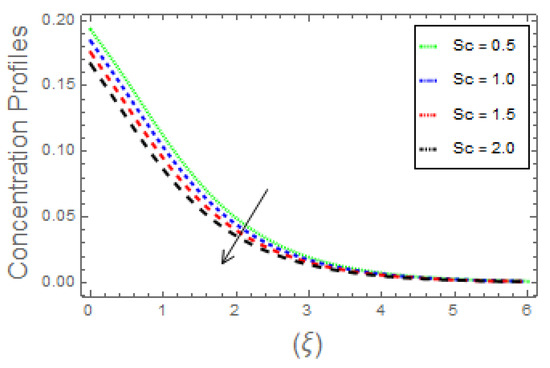
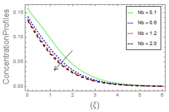
- The fluid concentration curves increase owing to increase solutal Biot number, activation energy, and thermophoretic parameter. Moreover, increasing the Brownian parameter and Schmidt number causes the temperature profiles to diminish;
- (4)
- The surface drag force coefficient enhances with higher data of magnetic and ratio of rate constant parameters;
- (5)
- It is found that the heat transfer coefficient decays via increasing values of Brownian and thermophoretic parameters;
- (6)
- An increase in mass flow rate is detected for the increasing values of Schmidt number and Brownian parameter.
Author Contributions
Funding
Data Availability Statement
Conflicts of Interest
References
- Choi, S. Enhancing Thermal Conductivity of Fluids with Nanoparticles; American Society of Mechanical Engineers, Fluids Engineering Division (Publication) FED: New York, NY, USA, 1995; Volume 231, pp. 99–105. [Google Scholar]
- Sarkar, J.; Ghosh, P.; Adil, A. A review on hybrid nanofluids: Recent research, development and applications. Renew. Sustain. Energy Rev. 2015, 43, 164–177. [Google Scholar] [CrossRef]
- Jusoh, R.; Nazar, R.; Pop, I. Dual solutions of magnetohydrodynamic stagnation point flow and heat transfer of viscoelastic nanofluid over a permeable stretching/shrinking sheet with thermal radiation. In Journal of Physics: Conference Series; IOP Publishing: Bristol, UK, 2017. [Google Scholar]
- Rasheed, H.U.; Islam, S.; Noor, S.; Khan, W.; Abbas, T.; Khan, I.; Kadry, S.; Nam, Y.; Nisar, K.S. Impact of magnetohydrodynamics on stagnation point slip flow due to nonlinearly propagating sheet with nonuniform thermal reservoir. Math. Probl. Eng. 2020, 2020, 1794213. [Google Scholar]
- Pal, D.; Mandal, G. Magnetohydrodynamic stagnation point flow of Sisko nanofluid over a stretching sheet with suction. Propuls. Power Res. 2020, 9, 408–422. [Google Scholar] [CrossRef]
- Abbasi, A.; Farooq, W.; Riaz, I. Stagnation point flow of Maxwell nanofluid containing gyrotactic microorganism impinging obliquely on a convective surface. Heat Transf. 2020, 49, 2977–2999. [Google Scholar] [CrossRef]
- Lund, L.A.; Omar, Z.; Khan, I.; Baleanu, D.; Nisar, K.S. Dual similarity solutions of MHD stagnation point flow of Casson fluid with effect of thermal radiation and viscous dissipation: Stability analysis. Sci. Rep. 2020, 10, 1–13. [Google Scholar]
- Sheikholeslami, M.; Farshad, S.A.; Said, Z. Analyzing entropy and thermal behavior of nanomaterial through solar collector involving new tapes. Int. Commun. Heat Mass Transf. 2021, 123, 105190. [Google Scholar] [CrossRef]
- Hsiao, K.L. To promote radiation electrical MHD activation energy thermal extrusion manufacturing system efficiency by using Carreau nanofluid with parameters control method. Energy 2017, 130, 486–499. [Google Scholar] [CrossRef]
- Hsiao, K.L. Stagnation electrical MHD nanofluid mixed convection with slip boundary on a stretching sheet. Appl. Therm. Eng. 2016, 98, 850–861. [Google Scholar] [CrossRef]
- Chakraborty, S.; Panigrahi, P.K. Stability of nanofluid: A review. Appl. Therm. Eng. 2020, 174, 115259. [Google Scholar] [CrossRef]
- Khan, M.I.; Hafeez, M.U.; Hayat, T.; Khan, M.I.; Alsaedi, A. Magneto rotating flow of hybrid nanofluid with entropy generation. Comput. Methods Programs Biomed. 2020, 183, 105093. [Google Scholar] [CrossRef]
- Izadi, A.; Siavashi, M.; Rasam, H.; Xiong, Q. MHD enhanced nanofluid mediated heat transfer in porous metal for CPU cooling. Appl. Therm. Eng. 2020, 168, 114843. [Google Scholar] [CrossRef]
- Atif, S.M.; Hussain, S.; Sagheer, M. MHD micropolar nanofluid with non-Fourier and non-Fick’s law. Int. Commun. Heat Mass Transf. 2021, 122, 105114. [Google Scholar] [CrossRef]
- Sheikholeslami, M.; Farshad, S.A. Investigation of solar collector system with turbulator considering hybrid nanoparticles. Renew. Energy 2021, 171, 1128–1158. [Google Scholar] [CrossRef]
- Atif, S.M.; Hussain, S.; Sagheer, M. Effect of thermal radiation on MHD micropolar Carreau nanofluid with viscous dissipation, Joule heating, and internal heating. Sci. Iran. 2019, 26, 3875–3888. [Google Scholar] [CrossRef] [Green Version]
- Rasheed, H.U.; Islam, S.; Khan, Z.; Khan, J.; Mashwani, W.K.; Abbas, T.; Shah, Q. Computational analysis of hydromagnetic boundary layer stagnation point flow of nano liquid by a stretched heated surface with convective conditions and radiation effect. Adv. Mech. Eng. 2021, 13, 16878140211053142. [Google Scholar] [CrossRef]
- Hayat, T.; Waqas, M.; Shehzad, S.A.; Alsaedi, A. Mixed convection flow of viscoelastic nanofluid by a cylinder with variable thermal conductivity and heat source/sink. Int. J. Numer. Methods Heat Fluid Flow 2016, 2, 214–234. [Google Scholar] [CrossRef]
- Ramesh, G.K.; Gireesha, B.J. Influence of heat source/sink on a Maxwell fluid over a stretching surface with convective boundary condition in the presence of nanoparticles. Ain Shams Eng. J. 2014, 5, 991–998. [Google Scholar] [CrossRef] [Green Version]
- Khan, M.; Khan, W.A.; Alshomrani, A.S. Non-linear radiative flow of three-dimensional Burgers nanofluid with new mass flux effect. Int. J. Heat Mass Transf. 2016, 101, 570–576. [Google Scholar] [CrossRef]
- Mahanthesh, B.; Gireesha, B.J.; Gorla, R.S.R.; Abbasi, F.M.; Shehzad, S.A. Numerical solutions for magnetohydrodynamic flow of nanofluid over a bidirectional non-linear stretching surface with prescribed surface heat flux boundary. J. Magn. Magn. Mater. 2016, 417, 189–196. [Google Scholar] [CrossRef]
- Hayat, T.; Waqas, M.; Khan, M.I.; Alsaedi, A. Analysis of thixotropic nanomaterial in a doubly stratified medium considering magnetic field effects. Int. J. Heat Mass Transf. 2016, 102, 1123–1129. [Google Scholar] [CrossRef]
- Hayat, T.; Waqas, M.; Shehzad, S.A.; Alsaedi, A. On model of Burgers fluid subject to magneto nanoparticles and convective conditions. J. Mol. Liq. 2016, 222, 181–187. [Google Scholar] [CrossRef]
- Farooq, M.; Khan, M.I.; Waqas, M.; Hayat, T.; Alsaedi, A.; Khan, M.I. MHD stagnation point flow of viscoelastic nanofluid with non-linear radiation effects. J. Mol. Liq. 2016, 221, 1097–1103. [Google Scholar] [CrossRef]
- Arrhenius, S. On the reaction rate of the inversion of non-refined sugar upon souring. Z. Phys. Chem. 1889, 4, 226. [Google Scholar] [CrossRef] [Green Version]
- Ren, Z.; Lei, Z.; Li, C.; Xuan, W.; Zhong, Y.; Li, X. New study and development on electromagnetic field technology in metallurgical processes. Acta Metall. Sin. 2020, 56, 583–600. [Google Scholar]
- Hsiao, K.L. Combined electrical MHD heat transfer thermal extrusion system using Maxwell fluid with radiative and viscous dissipation effects. Appl. Therm. Eng. 2017, 112, 1281–1288. [Google Scholar] [CrossRef]
- Naz, R.; Noor, M.; Hayat, T.; Javed, M.; Alsaedi, A. Dynamism of magnetohydrodynamic Cross nanofluid with particulars of entropy generation and gyrotactic motile microorganisms. Int. Commun. Heat Mass Transf. 2020, 110, 104431. [Google Scholar] [CrossRef]
- Atif, S.M.; Hussain, S.; Sagheer, M. Heat and mass transfer analysis of time-dependent tangent hyperbolic nanofluid flow past a wedge. Phys. Lett. A 2019, 283, 1187–1198. [Google Scholar] [CrossRef]
- Qayyum, S.; Hayat, T.; Shehzad, S.A.; Alsaedi, A. Effect of a chemical reaction on magnetohydrodynamic (MHD) stagnation point flow of Walters-B nanofluid with newtonian heat and mass conditions. Nucl. Eng. Tech. 2017, 49, 1636–1644. [Google Scholar] [CrossRef]
- Rasheed, H.; AL-Zubaidi, A.; Islam, S.; Saleem, S.; Khan, Z.; Khan, W. Effects of Joule Heating and Viscous Dissipation on Magnetohydrodynamic Boundary Layer Flow of Jeffrey Nanofluid over a Vertically Stretching Cylinder. Coatings 2021, 11, 353. [Google Scholar] [CrossRef]
- Islam, S.; Haroon, R.; Kottakkaran, S.N.; Nawal, A.A.; Mohammed, Z. Numerical Simulation of Heat Mass Transfer Effects on MHD Flow of Williamson Nanofluid by a Stretching Surface with Thermal Conductivity and Variable Thickness. Coatings 2021, 11, 684. [Google Scholar] [CrossRef]
- Rasheed, R.; Islam, S.; Khan, Z.; Alharbi, S.O.; Khan, W.A.; Khan, W.; Khan, I. Thermal Radiation Effects on Unsteady Stagnation Point Nanofluid Flow in View of Convective Boundary Conditions. Math. Probl. Eng. 2021, 2021, 5557708. [Google Scholar] [CrossRef]
- Rasheed, H.; Islam, S.; Khan, Z.; Alharbi, S.O.; Alotaibi, H.; Khan, I. Impact of Nanofluid Flow over an Elongated Moving Surface with a Uniform Hydromagnetic Field and Nonlinear Heat Reservoir. Complexity 2021, 2021, 9951162. [Google Scholar] [CrossRef]
- Liao, S.J. Homotopy Analysis Method in Nonlinear Differential Equations; Higher Education Press: Berlin/Heidelberg, Germany; Shanghai, China, 2012; p. 200030. [Google Scholar]
- Liao, S. Beyond Perturbation: Introduction to the Homotopy Analysis Method; CRC Press: Boca Raton, FL, USA, 2003. [Google Scholar]
- Liao, S.J. An optimal homotopy-analysis approach for strongly nonlinear differential equations. Commun. Nonlinear Sci. Numer. Simul. 2010, 15, 2003–2016. [Google Scholar] [CrossRef]
- Alolaiyan, H.; Riaz, A.; Razaq, A.; Saleem, N.; Zeeshan, A.; Bhatti, M.M. Effects of Double Diffusion Convection on Third Grade Nanofluid through a Curved Compliant Peristaltic Channel. Coatings 2020, 10, 154. [Google Scholar] [CrossRef] [Green Version]
- Liao, S. On the homotopy analysis method for nonlinear problems. Appl. Math. Comput. 2004, 147, 499–513. [Google Scholar] [CrossRef]























| Order of Approximations | |||
|---|---|---|---|
| 1 | |||
| 5 | |||
| 10 | |||
| 15 | |||
| 25 | |||
| 30 |
Publisher’s Note: MDPI stays neutral with regard to jurisdictional claims in published maps and institutional affiliations. |
© 2021 by the authors. Licensee MDPI, Basel, Switzerland. This article is an open access article distributed under the terms and conditions of the Creative Commons Attribution (CC BY) license (https://creativecommons.org/licenses/by/4.0/).
Share and Cite
Rasheed, H.U.; Islam, S.; Helmi, M.M.; Alsallami, S.A.M.; Khan, Z.; Khan, I. An Analytical Study of Internal Heating and Chemical Reaction Effects on MHD Flow of Nanofluid with Convective Conditions. Crystals 2021, 11, 1523. https://doi.org/10.3390/cryst11121523
Rasheed HU, Islam S, Helmi MM, Alsallami SAM, Khan Z, Khan I. An Analytical Study of Internal Heating and Chemical Reaction Effects on MHD Flow of Nanofluid with Convective Conditions. Crystals. 2021; 11(12):1523. https://doi.org/10.3390/cryst11121523
Chicago/Turabian StyleRasheed, Haroon Ur, Saeed Islam, Maha M. Helmi, Shami A. M. Alsallami, Zeeshan Khan, and Ilyas Khan. 2021. "An Analytical Study of Internal Heating and Chemical Reaction Effects on MHD Flow of Nanofluid with Convective Conditions" Crystals 11, no. 12: 1523. https://doi.org/10.3390/cryst11121523
APA StyleRasheed, H. U., Islam, S., Helmi, M. M., Alsallami, S. A. M., Khan, Z., & Khan, I. (2021). An Analytical Study of Internal Heating and Chemical Reaction Effects on MHD Flow of Nanofluid with Convective Conditions. Crystals, 11(12), 1523. https://doi.org/10.3390/cryst11121523

