Effects of Fluorogypsum and Flue-Gas Desulfurization Gypsum on the Hydration and Hardened Properties of Alkali Slag Cement
Abstract
:1. Introduction
2. Materials and Methods
2.1. Materials
2.2. Test Methods
3. Results
3.1. Setting Time
3.2. Compressive Strength
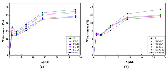
3.3. Mass Change and Water Content
3.4. Analysis of the Mechanism
3.4.1. XRD Analysis
3.4.2. TG-DTA Analysis
3.4.3. Analysis of the Hydration Heat
3.4.4. SEM-EDS Analysis
3.4.5. MIP Analysis
4. Discussion
5. Conclusions
Author Contributions
Funding
Institutional Review Board Statement
Informed Consent Statement
Data Availability Statement
Acknowledgments
Conflicts of Interest
References
- Guan, X.; Liu, S.; Feng, C.; Qiu, M. The hardening behavior of γ-C2S binder using accelerated carbonation. Constr. Build. Mater. 2016, 114, 204–207. [Google Scholar] [CrossRef]
- Liu, S.; Dou, Z.; Zhang, S.; Zhang, H.; Guan, X.; Feng, C.; Zhang, J. Effect of sodium hydroxide on the carbonation behavior of β-dicalcium silicate. Constr. Build. Mater. 2017, 150, 591–594. [Google Scholar] [CrossRef]
- Shi, C.; Roy, D.; Krivenko, P. Alkali-Activated Cements and Concretes; CRC Press: Boca Raton, FL, USA, 2006; pp. 147–150. [Google Scholar]
- Caijun, S.; Fuqiang, H.; Fernandez-Jimenez, A.; Krivenko, V.P.; Palomo, A. Classification and characteristics of alkali-activated cements. J. Chin. Ceram. Soc. 2012, 40, 69–75. [Google Scholar] [CrossRef]
- Escalante-Garcia, J.I.; Martínez-Aguilar, O.A.; Gomez-Zamorano, L.Y. Calcium sulphate anhydrite based composite binders; effect of Portland cement and four pozzolans on the hydration and strength. Cem. Concr. Compos. 2017, 82, 227–233. [Google Scholar] [CrossRef]
- Singh, M.; Garg, M. Durability of cementing binders based on fly ash and other wastes. Constr. Build. Mater. 2007, 21, 2012–2016. [Google Scholar] [CrossRef]
- Yao, Y.; Yang, D.; Zeng, J.; Sun, L.; Li, W. Influences of fly ash and fluorgypsum on the hydration heat and compressive strength of cement. J. Therm. Anal. Calorim. 2011, 106, 869–874. [Google Scholar] [CrossRef]
- Garg, M.; Pundir, A. Investigation of properties of fluorogypsum-slag composite binders-hydration, strength and microstructure. Cem. Concr. Compos. 2014, 45, 227–233. [Google Scholar] [CrossRef]
- Magallanes-Rivera, R.X.; Escalante-García, J.I. Hemihydrate or waste anhydrite in composite binders with blast-furnace slag: Hydration products, microstructures and dimensional stability. Constr. Build. Mater. 2014, 71, 317–326. [Google Scholar] [CrossRef]
- Bigdeli, Y.; Barbato, M.; Gutierrez-Wing, M.T.; Lofton, C.D. Use of slurry fluorogypsum (FG) with controlled pH-adjustment in FG-based blends. Constr. Build. Mater. 2018, 163, 160–168. [Google Scholar] [CrossRef]
- Bigdeli, Y.; Barbato, M.; Gutierrez-Wing, M.T.; Lofton, C.D.; Rusch, K.A.; Jung, J.; Jang, J. Development of new pH-adjusted fluorogypsum-cement-fly ash blends: Preliminary investigation of strength and durability properties. Constr. Build. Mater. 2018, 182, 646–656. [Google Scholar] [CrossRef]
- Escalante-García, J.I.; Rios-Escobar, M.; Gorokhovsky, A.; Fuentes, A.F. Fluorgypsum binders with OPC and PFA additions, strength and reactivity as a function of component proportioning and temperature. Cem. Concr. Compos. 2008, 30, 88–96. [Google Scholar] [CrossRef]
- Huang, X.; Jiang, M.; Zhao, X.; Tang, C. Mechanical properties and hydration mechanisms of high-strength fluorogypsum-blast furnace slag-based hydraulic cementitious binder. Constr. Build. Mater. 2016, 127, 137–143. [Google Scholar] [CrossRef]
- Wang, Y.; Yu, J.; Wang, J.; Guan, X. Effects of aluminum sulfate and quicklime/fluorgypsum ratio on the properties of calcium sulfoaluminate (CSA) cement-based double liquid grouting materials. Materials 2019, 12, 1222. [Google Scholar] [CrossRef] [PubMed] [Green Version]
- Yan, Y.; Daowu, Y.; Haixia, T.; Julan, Z.; Yi, L. Modification of waste fluorgypsum and its applications as a cement retarder. J. Cent. South Univ. Technol. 2011, 18, 1402–1407. [Google Scholar] [CrossRef]
- Garg, M.; Minocha, A.K.; Jain, N. Environment hazard mitigation of waste gypsum and chalk: Use in construction materials. Constr. Build. Mater. 2011, 25, 944–949. [Google Scholar] [CrossRef]
- Lei, D.; Guo, L.; Sun, W.; Liu, J.; Miao, C. Study on properties of untreated FGD gypsum-based high-strength building materials. Constr. Build. Mater. 2017, 153, 765–773. [Google Scholar] [CrossRef]
- Guo, X.; Shi, H. Influence of thermally treated flue gas desulfurization (FGD) gypsum on performance of the slag powder concrete. J. Wuhan Univ. Technol.-Mater. Sci. Ed. 2013, 28, 1122–1127. [Google Scholar] [CrossRef]
- Caillahua, M.C.; Moura, F.J. Technical feasibility for use of FGD gypsum as an additive setting time retarder for Portland cement. J. Mater. Res. Technol. 2018, 7, 190–197. [Google Scholar] [CrossRef]
- Li, H.; Zhang, H.; Li, L.; Ren, Q.; Yang, X.; Jiang, Z.; Zhang, Z. Utilization of low-quality desulfurized ash from semi-dry flue gas desulfurization by mixing with hemihydrate gypsum. Fuel 2019, 255, 115783. [Google Scholar] [CrossRef]
- Wansom, S.; Chintasongkro, P.; Srijampan, W. Water resistant blended cements containing flue-gas desulfurization gypsum, Portland cement and fly ash for structural applications. Cem. Concr. Compos. 2019, 103, 134–148. [Google Scholar] [CrossRef]
- Zhang, Y.; Pan, F.; Wu, R. Study on the performance of FGD gypsum-metakaolin-cement composite cementitious system. Constr. Build. Mater. 2016, 128, 1–11. [Google Scholar] [CrossRef]
- Duan, S.; Liao, H.; Cheng, F.; Song, H.; Yang, H. Investigation into the synergistic effects in hydrated gelling systems containing fly ash, desulfurization gypsum and steel slag. Constr. Build. Mater. 2018, 187, 1113–1120. [Google Scholar] [CrossRef]
- Wu, Q.; Ma, H.; Chen, Q.; Huang, Z.; Zhang, C.; Yang, T. Preparation of waterproof block by silicate clinker modified FGD gypsum. Constr. Build. Mater. 2019, 214, 318–325. [Google Scholar] [CrossRef]
- Zhao, F.; Liu, H.; Hao, L.; Li, Q. Water resistant block from desulfurization gypsum. Constr. Build. Mater. 2012, 27, 531–533. [Google Scholar] [CrossRef]
- Ioannou, S.; Reig, L.; Paine, K.; Quillin, K. Properties of a ternary calcium sulfoaluminate-calcium sulfate-fly ash cement. Cem. Concr. Res. 2014, 56, 75–83. [Google Scholar] [CrossRef] [Green Version]
- Ren, C.; Wang, W.; Li, G. Preparation of high-performance cementitious materials from industrial solid waste. Constr. Build. Mater. 2017, 152, 39–47. [Google Scholar] [CrossRef]
- Lee, M.; Kang, D.; Jo, H.; Park, J. Carbon dioxide utilization with carbonation using industrial waste-desulfurization gypsum and waste concrete. J. Mater. Cycles Waste Manag. 2016, 18, 407–412. [Google Scholar] [CrossRef]
- Song, K.; Kim, W.; Bang, J.; Park, S.; Jeon, C.W. Polymorphs of pure calcium carbonate prepared by the mineral carbonation of flue gas desulfurization gypsum. Mater. Des. 2015, 83, 308–313. [Google Scholar] [CrossRef]
- Jiang, L.; Li, C.; Wang, C.; Xu, N.; Chu, H. Utilization of flue gas desulfurization gypsum as an activation agent for high-volume slag concrete. J. Clean. Prod. 2018, 205, 589–598. [Google Scholar] [CrossRef]
- Escalante-García, J.I.; Magallanes-Rivera, R.X.; Gorokhovsky, A. Waste gypsum-blast furnace slag cement in mortars with granulated slag and silica sand as aggregates. Constr. Build. Mater. 2009, 23, 2851–2855. [Google Scholar] [CrossRef]
- Standardization Administration of the People’s Republic of China. GB/T1346-2011: Test Methods for Water Requirement of Normal Consistency, Setting Time and Soundness of the Portland Cement; China Architecture and Building Press: Beijing, China, 2011. [Google Scholar]
- Hewlett, P.; Liska, M. Lea’s Chemistry of Cement and Concrete, 5th ed.; Elsevier Butterworth Heinemann: Amsterdam, The Netherlands, 2019; pp. 469–502. [Google Scholar]
- Fořt, J.; Novotný, R.; Vejmelková, E.; Trník, A.; Rovnaníková, P.; Keppert, M.; Pommer, V.; Cerny, R. Characterization of geopolymers prepared using powdered brick. J. Mater. Res. Technol. 2019, 8, 6253–6261. [Google Scholar] [CrossRef]
- Bernal, S.A.; San Nicolas, R.; Myers, R.J.; Mejía De Gutiérrez, R.; Puertas, F.; van Deventer, J.S.J.; Provis, J. MgO content of slag controls phase evolution and structural changes induced by accelerated carbonation in alkali-activated binders. Cem. Concr. Res. 2014, 57, 33–43. [Google Scholar] [CrossRef] [Green Version]
- Anjos, M.A.S.; Camões, A.; Campos, P.; Azeredo, G.A.; Ferreira, R.L.S. Effect of high volume fly ash and metakaolin with and without hydrated lime on the properties of self-compacting concrete. J. Build. Eng. 2020, 27, 100985. [Google Scholar] [CrossRef]
- Wang, Y.; Luo, S.; Yang, L.; Ding, Y. Microwave curing cement-fly ash blended paste. Constr. Build. Mater. 2021, 282, 122685. [Google Scholar] [CrossRef]
- Li, Y.; Li, J. Capillary tension theory for prediction of early autogenous shrinkage of self-consolidating concrete. Constr. Build. Mater. 2014, 53, 511–516. [Google Scholar] [CrossRef]
- Son, H.; Park, S.M.; Seo, J.H.; Lee, H.K. Effect of CaSO4 incorporation on pore structure and drying shrinkage of alkali-activated binders. Materials 2019, 12, 1673. [Google Scholar] [CrossRef] [PubMed] [Green Version]
- Wang, D.; Wang, Q.; Huang, Z. New insights into the early reaction of NaOH-activated slag in the presence of CaSO4. Compos. Part B Eng. 2020, 198, 108207. [Google Scholar] [CrossRef]
- Garg, M.; Pundir, A. Energy efficient cement free binder developed from industry waste—A sustainable approach. Eur. J. Environ. Civ. Eng. 2017, 21, 612–628. [Google Scholar] [CrossRef]
- Yoon, S.; Park, H.; Yum, W.; Suh, J.; Oh, J. Influence of calcium sulfate type on evolution of reaction products and strength in NaOH- and CaO-activated ground granulated blast-furnace slag. Appl. Sci. 2018, 8, 2500. [Google Scholar] [CrossRef] [Green Version]
















| CaO | Al2O3 | SiO2 | Fe2O3 | MgO | SO3 | K2O | Na2O | LOI |
|---|---|---|---|---|---|---|---|---|
| 35.86 | 11.22 | 33.50 | 1.10 | 8.39 | 0.19 | 0.69 | 0.44 | 1.02 |
| CaO | SO3 | MgO | Al2O3 | Fe2O3 | Soluble F− | All F− | Bound Water | LOI |
|---|---|---|---|---|---|---|---|---|
| 41.20 | 56.10 | 0.14 | 0.05 | 0.17 | 0.05 | 0.52 | 0.83 | 1.0 |
| CaO | SO3 | SiO2 | Al2O3 | MgO | Fe2O3 | Bound Water |
|---|---|---|---|---|---|---|
| 32.34 | 41.12 | 1.60 | 1.07 | 0.14 | 0.21 | 10.59 |
| Groups | GBFS/wt.% | FG 1/wt.% | FGDG 2/wt.% | NaOH Alkali Concentration 3/% | Water/Material Ratio | Density/g·cm−3 |
|---|---|---|---|---|---|---|
| S | 100 | 0 | 0 | 5 | 0.5 | 2.86 |
| FG-5 | 95 | 5 | - | 2.66 | ||
| FG-10 | 90 | 10 | 2.64 | |||
| FG-15 | 85 | 15 | 2.63 | |||
| FG-20 | 80 | 20 | 2.62 | |||
| FG-25 | 75 | 25 | 2.60 | |||
| FGDG-3 | 97 | - | 3 | 2.64 | ||
| FGDG-6 | 94 | 6 | 2.64 | |||
| FGDG-9 | 91 | 9 | 2.63 | |||
| FGDG-12 | 88 | 12 | 2.60 | |||
| FGDG-15 | 85 | 15 | 2.59 |
| Sample | Porosity/% | Average Pore Diameter/nm | Pore Size Distribution/% | |||
|---|---|---|---|---|---|---|
| <10 nm | 10~50 nm | 50~100 nm | >100 nm | |||
| S | 57.12 | 90.31 | 2.60 | 12.41 | 7.94 | 77.05 |
| FG-5 | 55.82 | 53.00 | 4.84 | 19.59 | 13.57 | 62.00 |
| FGDG-6 | 53.64 | 84.59 | 0.00 | 17.30 | 14.86 | 67.84 |
Publisher’s Note: MDPI stays neutral with regard to jurisdictional claims in published maps and institutional affiliations. |
© 2021 by the authors. Licensee MDPI, Basel, Switzerland. This article is an open access article distributed under the terms and conditions of the Creative Commons Attribution (CC BY) license (https://creativecommons.org/licenses/by/4.0/).
Share and Cite
Wang, C.; He, H.; Wang, Y.; Xue, W. Effects of Fluorogypsum and Flue-Gas Desulfurization Gypsum on the Hydration and Hardened Properties of Alkali Slag Cement. Crystals 2021, 11, 1475. https://doi.org/10.3390/cryst11121475
Wang C, He H, Wang Y, Xue W. Effects of Fluorogypsum and Flue-Gas Desulfurization Gypsum on the Hydration and Hardened Properties of Alkali Slag Cement. Crystals. 2021; 11(12):1475. https://doi.org/10.3390/cryst11121475
Chicago/Turabian StyleWang, Cheng, Hang He, Yuli Wang, and Wenyue Xue. 2021. "Effects of Fluorogypsum and Flue-Gas Desulfurization Gypsum on the Hydration and Hardened Properties of Alkali Slag Cement" Crystals 11, no. 12: 1475. https://doi.org/10.3390/cryst11121475
APA StyleWang, C., He, H., Wang, Y., & Xue, W. (2021). Effects of Fluorogypsum and Flue-Gas Desulfurization Gypsum on the Hydration and Hardened Properties of Alkali Slag Cement. Crystals, 11(12), 1475. https://doi.org/10.3390/cryst11121475

