One-Step Carbothermal Synthesis of Super Nanoadsorbents for Rapid and Recyclable Wastewater Treatment
Abstract
1. Introduction
2. Materials and Methods
2.1. Synthesis of Fe3O4 Nanoparticles
2.2. Adsorption Experiment
2.3. Samples Characterization
3. Results and Discussion
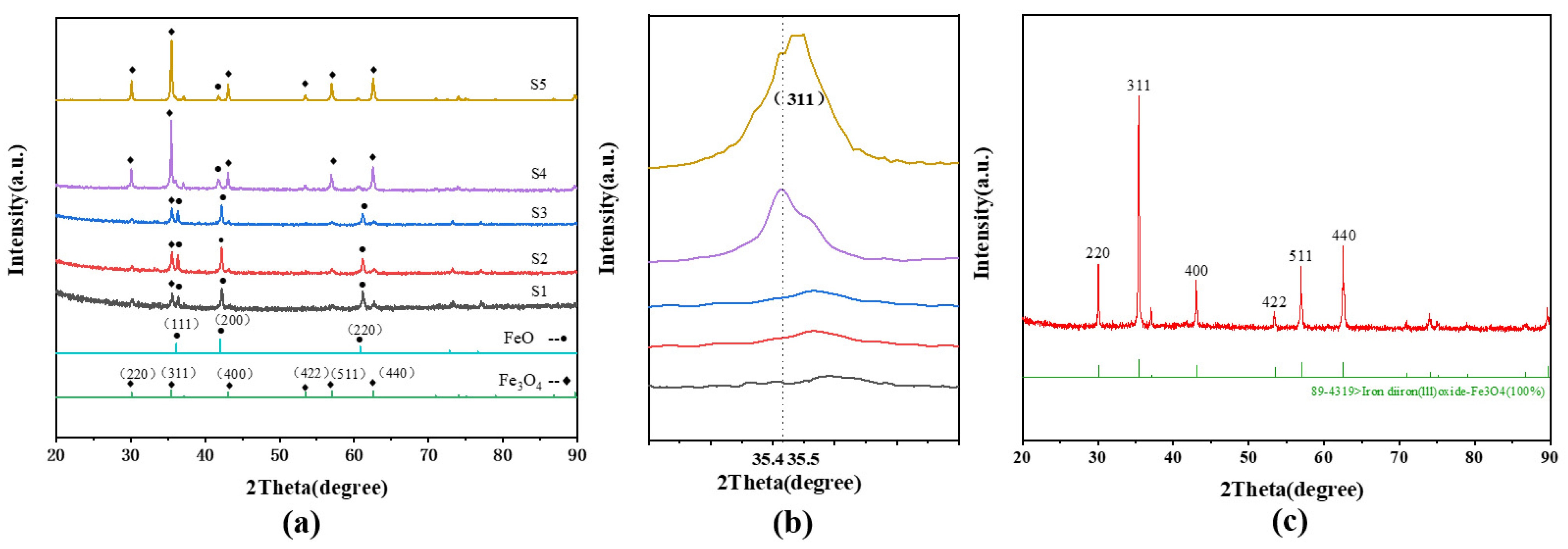
3.1. Characterizations of Fe3O4/FeO and Fe3O4 Nanoparticles
3.2. Magnetic Response
3.3. Adsorption Performance
3.4. Recycling of Fe3O4 Nanoparticles
4. Conclusions
Author Contributions
Funding
Institutional Review Board Statement
Informed Consent Statement
Data Availability Statement
Acknowledgments
Conflicts of Interest
References
- Zhao, C.; Liu, X.; Zhang, X.; Yan, H.; Qian, Z.; Li, X.; Ma, Z.; Han, Q.; Pei, C. A facile one-step method for preparation of Fe3O4/CS/INH nanoparticles as a targeted drug delivery for tuberculosis. Mater. Sci. Eng. C 2017, 77, 1182–1188. [Google Scholar] [CrossRef] [PubMed]
- Mirabello, G.; Ianiro, A.; Bomans, P.H.H.; Yoda, T.; Arakaki, A.; Friedrich, H.; De With, G.; Sommerdijk, N. Crystallization by particle attachment is a colloidal assembly process. Nat. Mater. 2020, 19, 391–396. [Google Scholar] [CrossRef] [PubMed]
- Cardoso, V.F.; Francesko, A.; Ribeiro, C.; Bañobre-López, M.; Martins, P.; Lanceros-Mendez, S. Advances in Magnetic Nanoparticles for Biomedical Applications. Adv. Healthc. Mater. 2018, 7, 1700845. [Google Scholar] [CrossRef]
- Tadic, M.; Kralj, S.; Kopanja, L. Synthesis, particle shape characterization, magnetic properties and surface modification of superparamagnetic iron oxide nanochains. Mater. Charact. 2019, 148, 123–133. [Google Scholar] [CrossRef]
- Yani, H.; Juan, X.; Qinqin, Z.; Chang, C.; Chuan, W. Facile synthesis of surface-functionalized magnetic nanocomposites for effectively selective adsorption of cationic dyes. Nanoscale Res. Lett. 2018, 31, 99. [Google Scholar]
- Cursaru, L.M.; Piticescu, R.M.; Dragut, D.V.; Tudor, I.A.; Kuncser, V.; Iacob, N.; Stoiciu, F. The Influence of Synthesis Parameters on Structural and Magnetic Properties of Iron Oxide Nanomaterials. Nanomaterials 2020, 10, 85. [Google Scholar] [CrossRef]
- Bai, L.; Li, Z.; Zhang, Y.; Wang, T.; Lu, R.; Zhou, W.; Gao, H.; Zhang, S. Synthesis of water-dispersible graphene-modified magnetic polypyrrole nanocomposite and its ability to efficiently adsorb methylene blue from aqueous solution. Chem. Eng. J. 2015, 279, 757–766. [Google Scholar] [CrossRef]
- Brandl, F.; Bertrand, N.; Lima, E.M.; Langer, R. Nanoparticles with photoinduced precipitation for the extraction of pollutants from water and soil. Nat. Commun. 2015, 6, 7765. [Google Scholar] [CrossRef]
- Mitra, S.; Sarkar, A.; Sen, S. Removal of chromium from industrial effluents using nanotechnology: A review. Nanotechnol. Environ. Eng. 2017, 2, 11. [Google Scholar] [CrossRef]
- Shao, Y.; Zhou, L.; Bao, C.; Ma, J.; Liu, M.; Wang, F. Magnetic responsive metal–organic frameworks nanosphere with core–shell structure for highly efficient removal of methylene blue. Chem. Eng. J. 2016, 283, 1127–1136. [Google Scholar] [CrossRef]
- Ranjithkumar, V.; Sangeetha, S.; Vairam, S. Synthesis of magnetic activated carbon/alpha-Fe2O3 nanocomposite and its application in the removal of acid yellow 17 dye from water. J. Hazard. Mater. 2014, 273, 127–135. [Google Scholar] [CrossRef] [PubMed]
- Zhang, Q.; Wu, B.; Song, R.; Song, H.; Zhang, J.; Hu, X. Preparation, characterization and tribological properties of polyalphaolefin with magnetic reduced graphene oxide/Fe3O4. Tribol. Int. 2020, 141, 105952. [Google Scholar] [CrossRef]
- Bi, H.; Yin, Z.; Cao, X.; Xie, X.; Tan, C.; Huang, X.; Chen, B.; Lu, X.; Sun, L.; Zhang, H. Twisted carbon fiber aerogels from raw cotton as sorbents for oils and organic solvents. Adv. Mater. 2013, 25, 5916–5921. [Google Scholar] [CrossRef] [PubMed]
- Bi, H.; Huang, X.; Wu, X.; Cao, X.; Tan, C.; Yin, Z.; Lu, X.; Sun, L.; Zhang, H. Carbon micro belt aerogel prepared by waste paper: An efficient and recyclable sorbent for oils and organic solvents. Small 2014, 10, 3544. [Google Scholar] [CrossRef]
- Uddin, N.; Zhang, H.; Du, Y.; Jia, G.; Wang, S.; Yin, Z. Structural-Phase Catalytic Redox Reactions in Energy and Environmental Applications. Adv. Mater. 2020, 32, 1905739. [Google Scholar] [CrossRef]
- Ma, T.; Sun, S.; Fu, G.; Hall, J.W.; Ni, Y.; He, L.; Yi, J.; Zhao, N.; Du, Y.; Pei, T.; et al. Pollution exacerbates China’s water scarcity and its regional inequality. Nat. Commun. 2020, 11, 650. [Google Scholar] [CrossRef]
- Kinuthia, G.K.; Ngure, V.; Beti, D.; Lugalia, R.; Wangila, A.; Kamau, L. Levels of heavy metals in wastewater and soil samples from open drainage channels in Nairobi, Kenya: Community health implication. Sci. Rep. 2020, 8434. [Google Scholar] [CrossRef]
- Huang, Z.; Li, Y.; Chen, W.; Shi, J.; Zhang, N.; Wang, X.; Li, Z.; Gao, L.; Zhang, Y. Modified bentonite adsorption of organic pollutants of dye wastewater. Mater. Chem. Phys. 2017, 202, 266–276. [Google Scholar] [CrossRef]
- Kuppusamy, S.; Jayaraman, N.; Jagannathan, M.; Kadarkarai, M.; Aruliah, R. Electrochemical decolorization and biodegradation of tannery effluent for reduction of chemical oxygen demand and hexavalent chromium. J. Water Process Eng. 2017, 20, 22–28. [Google Scholar] [CrossRef]
- Pandey, S. A comprehensive review on recent developments in bentonite-based materials used as adsorbents for wastewater treatment. J. Mol. Liq. 2017, 241, 1091–1113. [Google Scholar] [CrossRef]
- Chen, C.; Wang, J.; Liu, D.; Yang, C.; Liu, Y.; Ruoff, R.S.; Lei, W. Functionalized boron nitride membranes with ultrafast solvent transport performance for molecular separation. Nat. Commun. 2018, 9, 1902. [Google Scholar] [CrossRef] [PubMed]
- Mustapha, S.; Tijani, J.O.; Ndamitso, M.M.; Abdulkareem, S.A.; Shuaib, D.T.; Mohammed, A.K.; Sumaila, A. The role of kaolin and kaolin/ZnO nanoadsorbents in adsorption studies for tannery wastewater treatment. Sci. Rep. 2020, 10, 13068. [Google Scholar] [CrossRef] [PubMed]
- Makarchuk, O.V.; Dontsova, T.A.; Astrelin, I.M. Magnetic Nanocomposites as Efficient Sorption Materials for Removing Dyes from Aqueous Solutions. Nanoscale Res. Lett. 2016, 11, 161. [Google Scholar] [CrossRef] [PubMed]
- Noreen, S.; Bhatti, H.; Zuber, M.; Zahid, M.; Asgher, M. Removal of actacid orange-RL dye using biocomposites: Modeling studies. Pol. J. Environ. Stud. 2017, 26, 2125–2134. [Google Scholar] [CrossRef]
- Hu, P.; Chang, T.; Chen, W.-J.; Deng, J.; Li, S.-L.; Zuo, Y.-G.; Kang, L.; Yang, F.; Hostetter, M.; Volinsky, A.A. Temperature effects on magnetic properties of Fe3O4 nanoparticles synthesized by the sol-gel explosion-assisted method. J. Alloy. Compd. 2019, 775, 605–611. [Google Scholar] [CrossRef]
- Ping, H.; Lu, K.; Jun, Y.; Fan, Y.; Kuaishe, W.; Jinjing, D.; Zhanlin, Y.; Weicheng, C.; DongXin, L. Synthesis of Fe Nanoparticles via One-Step Reduction Method. Rare Met. Mat. Eng. 2016, 45, 3112–3114. [Google Scholar] [CrossRef]
- Hu, P.; Zhang, S.; Wang, H.; Pan, D.A.; Tian, J.; Tang, Z.; Volinsky, A.A. Heat treatment effects on Fe3O4 nanoparticles structure and magnetic properties prepared by carbothermal reduction. J. Alloy. Compd. 2011, 509, 2316–2319. [Google Scholar] [CrossRef]
- Wang, H.; Hu, P.; Pan, D.A.; Tian, J.; Zhang, S.; Volinsky, A.A. Carbothermal reduction method for Fe3O4 powder synthesis. J. Alloy. Compd. 2010, 502, 338–340. [Google Scholar] [CrossRef]
- Blanco-Andujar, C.; Walter, A.; Cotin, G.; Bordeianu, C.; Mertz, D.; Felder-Flesch, D.; Begin-Colin, S. Design of iron oxide-based nanoparticles for MRI and magnetic hyperthermia. Nanomed. Nanotechnol. 2016, 11, 1889–1910. [Google Scholar] [CrossRef]
- Tadic, M.; Kralj, S.; Lalatonne, Y.; Motte, L. Iron oxide nanochains coated with silica: Synthesis, surface effects and magnetic properties. Appl. Surf. Sci. 2019, 476, 641–646. [Google Scholar] [CrossRef]
- Venkatesha, N.; Poojar, P.; Qurishi, Y.; Geethanath, S.; Srivastava, C. Graphene oxide-Fe3O4 nanoparticle composite with high transverse proton relaxivity value for magnetic resonance imaging. J. Appl. Phys. 2015, 117, 4702–154709. [Google Scholar] [CrossRef]
- Fujie, L.; Zhengda, L.; Xing, L.; Jiaying, L.; Zhenzhen, L.; Yayin, J. Adsorption of Cr(Ⅵ) on Modified Bagasse Charcoal. Technol. Dev. Chem. Ind. 2020, 49, 9. [Google Scholar]
- Hafshejani, L.D.; Hooshmand, A.; Naseri, A.A.; Mohammadi, A.S.; Abbasi, F.; Bhatnagar, A. Removal of nitrate from aqueous solution by modified sugarcane bagasse biochar. Ecol. Eng. 2016, 95, 101–111. [Google Scholar] [CrossRef]
- Tian, X.Z.; Jin, L.S.; Ying, B. Adsorption of Cd2+ from aqueous solution by steel slag-montmorillonite composite adsorbent. Acta Sci. Circumst. 2015, 35, 207–214. [Google Scholar]
- Xing, Z.; Tang, B.; Chen, X.; Fu, F.; Zhang, Z.; Lu, Z. Adsorption mechanism of acid red 73 onto magnetic nanoparticles Fe3O4 from aqueous phase. Acta Sci. Circumst. 2014, 4, 2246–2255. [Google Scholar]
- Shen, Y.F.; Tang, J.; Nie, Z.H.; Wang, Y.D.; Ren, Y.; Zuo, L. Tailoring size and structural distortion of Fe3O4 nanoparticles for the purification of contaminated water. Bioresour. Technol. 2009, 100, 4139–4146. [Google Scholar] [CrossRef]
- Rajput, S.; Pittman, C.U.; Mohan, D. Magnetic magnetite (Fe3O4) nanoparticle synthesis and applications for lead (Pb2+) and chromium (Cr6+) removal from water. J. Colloid Interface Sci. 2016, 468, 334–346. [Google Scholar] [CrossRef]
- Ai, L.; Zhang, C.; Chen, Z. Removal of methylene blue from aqueous solution by a solvothermal-synthesized graphene/magnetite composite. J. Hazard. Mater. 2011, 192, 1515–1524. [Google Scholar] [CrossRef]
- Wang, J.; Shao, X.; Liu, J.; Zhang, Q.; Ma, J.; Tian, G. Insight into the effect of structural characteristics of magnetic ZrO2/Fe3O4 nanocomposites on phosphate removal in water. Mater. Chem. Phys. 2020, 249, 123024. [Google Scholar] [CrossRef]






| Sample | Preparation Conditions | Fe3O4 (wt%) | FeO (wt%) | MS (emu/g) | Mr (emu/g) | HC (Oe) | |||
|---|---|---|---|---|---|---|---|---|---|
| Molar Ratio | T (°C) | T (min) | + | − | |||||
| 1 | 1:0.5 | 450 | 50 | 32.3 | 67.7 | 26.72 | 8.26 | 489.7 | 552.2 |
| 2 | 1:0.5 | 600 | 20 | 56.7 | 43.3 | 32.69 | 9.73 | 581.4 | 487.7 |
| 3 | 1:0.5 | 600 | 30 | 66.5 | 33.5 | 38.08 | 14.26 | 633.8 | 714.1 |
| 4 | 1:0.8 | 550 | 20 | 75.5 | 24.5 | 70.57 | 19.52 | 431.8 | 311.4 |
| 5 | 1:0.8 | 600 | 30 | 87.7 | 12.3 | 88.57 | 35.77 | 392.6 | 327.1 |
| 6 | 1:0.8 | 650 | 15 | 100 | 0 | 90.32 | 36.56 | 319.2 | 320.4 |
| Adsorbents | Synthesis Methods | Size (nm) | Ms (emu·g−1) | Adsorption Equilibrium Time | Adsorption Capacity (mg·g−1) | Ref. |
|---|---|---|---|---|---|---|
| Fe3O4 | one-step reduction | ~10 | 90.32 | 20 min | 62.5 | This work |
| hydrothermal | 13~23 | 67.77 | 20 min | 40.1 | [35] | |
| co-precipitation | 6~8 | 74.3 | - | 34.9 | [36] | |
| polyol | 18~35 | 78.2 | - | 4.98 | ||
| co-precipitation | 15~30 | 65.33 | 40 min | 53.1 | [37] | |
| GNS/Fe3O4 composite | - | 200 | 42.9 | 30 min | 43.82 | [38] |
| ZrO2/Fe3O4 | one-step co-precipitation | 1.18~4.56 | 12.7 | 72 h | 29.5 | [39] |
Publisher’s Note: MDPI stays neutral with regard to jurisdictional claims in published maps and institutional affiliations. |
© 2021 by the authors. Licensee MDPI, Basel, Switzerland. This article is an open access article distributed under the terms and conditions of the Creative Commons Attribution (CC BY) license (http://creativecommons.org/licenses/by/4.0/).
Share and Cite
Ji, W.-c.; Hu, P.; Wang, X.-y.; Saji, S.E.; Chang, T.; Zhu, X.-y.; Yang, F.F.; Cao, Q.-g.; Dang, R.; Wang, K.-s.; et al. One-Step Carbothermal Synthesis of Super Nanoadsorbents for Rapid and Recyclable Wastewater Treatment. Crystals 2021, 11, 75. https://doi.org/10.3390/cryst11010075
Ji W-c, Hu P, Wang X-y, Saji SE, Chang T, Zhu X-y, Yang FF, Cao Q-g, Dang R, Wang K-s, et al. One-Step Carbothermal Synthesis of Super Nanoadsorbents for Rapid and Recyclable Wastewater Treatment. Crystals. 2021; 11(1):75. https://doi.org/10.3390/cryst11010075
Chicago/Turabian StyleJi, Wen-chan, Ping Hu, Xiao-yu Wang, Sandra Elizabeth Saji, Tian Chang, Xin-yu Zhu, Fairy Fan Yang, Qi-gao Cao, Rui Dang, Kuai-she Wang, and et al. 2021. "One-Step Carbothermal Synthesis of Super Nanoadsorbents for Rapid and Recyclable Wastewater Treatment" Crystals 11, no. 1: 75. https://doi.org/10.3390/cryst11010075
APA StyleJi, W.-c., Hu, P., Wang, X.-y., Saji, S. E., Chang, T., Zhu, X.-y., Yang, F. F., Cao, Q.-g., Dang, R., Wang, K.-s., & Yin, Z. (2021). One-Step Carbothermal Synthesis of Super Nanoadsorbents for Rapid and Recyclable Wastewater Treatment. Crystals, 11(1), 75. https://doi.org/10.3390/cryst11010075

