Investigation of Barrier Inhomogeneities and Electronic Transport on Al-Foil/p-Type-4H-SiC Schottky Barrier Diodes Using Diffusion Welding
Abstract
1. Introduction
2. Sample Preparation and Experimental Procedure
2.1. Sample Preparation Procedure
2.2. Electrical Measurement Procedure
3. Results and Discussion
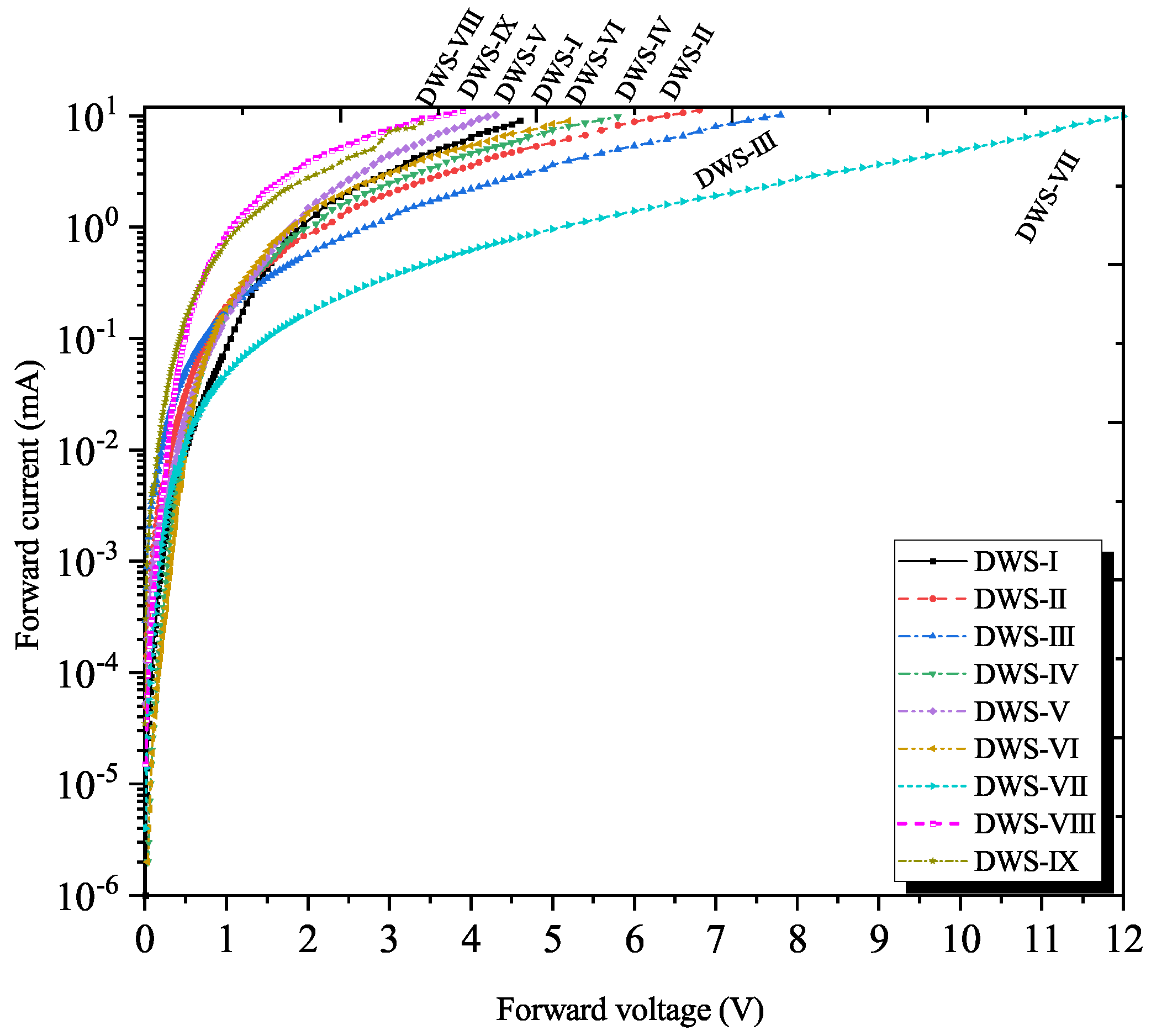
3.1. Temperature Dependence of I-V Characteristics
3.2. Temperature Dependence of C-V Characteristics
3.3. Discussion of the I-V-T and C-V-T Results
3.4. Activation Energy Plot Analysis
4. Conclusions
Author Contributions
Funding
Acknowledgments
Conflicts of Interest
References
- Lebedev, A.A. Heterojunctions and superlattices based on silicon carbide Semicond. Sci. Technol. 2006, 21, R17. [Google Scholar] [CrossRef]
- Kimoto, T. Material science and device physics in SiC technology for high-voltage power devices. Jpn. J. Appl. Phys. 2015, 54, 040103. [Google Scholar] [CrossRef]
- Casady, J.B.; Johnson, R.W. Status of silicon carbide (SiC) as a wide-bandgap semiconductor for high-temperature applications: A review. Solid-State Electron. 1996, 39, 1409–1422. [Google Scholar] [CrossRef]
- Bakowski, M.; Gustafsson, U.; Lindefelt, U. Simulation of SiC High Power Devices. Phys. Status Solidi A 1997, 162, 421. [Google Scholar] [CrossRef]
- Schaffer, W.J.; Negley, G.H.; Irvine, K.G.; Palmour, J.W. Conductivity Anisotropy in Epitaxial 6H and 4H Sic. Mater. Res. Soc. Symp. Proc. 1994, 339, 595. [Google Scholar] [CrossRef]
- Pernot, J.; Contreras, S.; Camassel, J.; Robert, J.L.; Zawadzki, W.; Neyret, E.; Cioccio, L.D. Free electron density and mobility in high-quality 4H–SiC. Appl. Phys. Lett. 2000, 77, 4359. [Google Scholar] [CrossRef]
- Matsunami, H.; Kimoto, T. Step-controlled epitaxial growth of SiC: High quality homoepitaxy. Mater. Sci. Eng. 1997, 20, 125. [Google Scholar] [CrossRef]
- Liu, X.; Liu, W.; Wang, C.; Zheng, Z.; Kong, L. Preparation and Sintering Properties of Ag27Cu2Sn Nano paste as Die Attach Material. J. Electr. Mater. 2016, 45, 5436–5442. [Google Scholar] [CrossRef]
- Kim, D.; Chen, C.; Pei, C.; Zhang, Z.; Nagao, S.; Suetake, A.; Sugahara, T.; Suganuma, K. Thermal shock reliability of a GaN die-attach module on DBA substrate with Ti/Ag metallization by using micron/submicron Ag sinter paste. Jpn. J. Appl. Phys. 2019, 58. [Google Scholar] [CrossRef]
- Drevin-Bazin, A.; Lacroix, F.; Barbot, J. SiC Die Attach for High-Temperature Applications. J. Electr. Mater. 2014, 43, 695–701. [Google Scholar] [CrossRef]
- Kamal, Z.; Lakhdar, D. Inhomogeneous barrier height effect on the current-voltage characteristics of a W/4H-Sic Schottky diode. In Proceedings of the 5th International Conference on Electrical Engineering, Boumerdes, Algeria, 29–31 October 2017; pp. 29–31. [Google Scholar] [CrossRef]
- Moriceau, H.; Rieutord, F.; Fournel, F.; Le Tiec, Y.; Di Cioccio, L.; Morales, C.; Charvet, A.M.; Deguet, C. Overview of recent direct wafer bonding advances and applications. Adv. Nat. Sci. Nanosci. Nanotechnol. 2011, 1, 043004. [Google Scholar] [CrossRef]
- Rudawska, A. Surface Treatment in Bonding Technology, 1st ed.; Elsevier: Amsterdam, The Netherlands, 2019. [Google Scholar] [CrossRef]
- Korolkov, O.; Rang, T. Comparative characteristics of 6h– and 4h–sic surfaces in diffusion welding. Proc. Est. Acad. Sci. Eng. 2001, 7, 347–353. [Google Scholar]
- Korolkov, O.; Rang, T.; Kuznetsova, N.; Ruut, J. Preliminary investigation of diffusion welded contacts to p-6H-SiC. In Proceedings of the BEC Proceedings of the 8th Biennial Baltic Electronics Conference, Tallinn, Estonia, 6–9 October 2002; pp. 55–56. [Google Scholar]
- Ziko, M.H.; Koel, A.; Rang, T.; Toompuu, J. Analysis of barrier inhomogeneities of p-type Al/4H-SiC Schottky barrier diodes. In Proceedings of the 18th ISCRM Conference, Kyoto, Japan, 28 September–4 October 2019. [Google Scholar]
- Karatas, S.; Altindal, S.; Cakar, M. Current transport in Zn/p-Si(100) Schottky barrier diodes at high temperatures. Phys. B Condens. Matter. 2005, 357, 386–397. [Google Scholar] [CrossRef]
- Roccaforte, F.; La Via, F.; Raineri, V.; Pierobon, R.; Zanoni, E. Richardson’s constant in inhomogeneous silicon carbide Schottky contacts. J. Appl. Phys. 2003, 93, 9137. [Google Scholar] [CrossRef]
- Sze, S.M. Physics of Semiconductor Devices; Wiley: New York, NY, USA, 1982; Chapters 1, 5, 9. [Google Scholar]
- Tung, R.T. Recent Advances in Schottky Barrier Concepts. Mater. Sci. Eng. R 2001, 35, 1–138. [Google Scholar] [CrossRef]
- Barus, M.; Donoval, D. Analysis of I-V measurements on CrSi2 Si Schottky structures in a wide temperature range. Solid-State Electron. 1993, 36, 969–974. [Google Scholar] [CrossRef]
- Hudait, M.K.; Venkateswarlu, P.; Krupanidhi, S.B. Electrical transport characteristics of Au/n-GaAs Schottky diodes on n-Ge at low temperatures. Solid-State Electron. 2001, 45, 133–141. [Google Scholar] [CrossRef]
- Donoval, D.; Barus, M.; Zdimal, M. Analysis of I-V measurements on PtSi-Si Schottky structures in a wide temperature range. Solid-State Electron. 1991, 34, 1365–1373. [Google Scholar] [CrossRef]
- Horváth, Z.J.; Bosacchi, A.; Franchi, S.; Gombia, E.; Mosca, R.; Motta, A. Anomalous thermionic-field emission in epitaxial Al/n-AlGaAs junctions. Mater. Sci. Eng. B. 1994, 28, 429–432. [Google Scholar] [CrossRef]
- Tung, R.T.; Sullivan, J.P.; Schrey, F. On the inhomogeneity of Schottky barriers. Mater. Sci. Eng. B 1992, 14, 266–280. [Google Scholar] [CrossRef]
- Werner, J.H.; Guttler, H.H. Barrier inhomogeneities at Schottky contacts. J. Appl. Phys. 1991, 69, 1522–1533. [Google Scholar] [CrossRef]
- Kaushal, P.; Ch, S.; Osvald, J. Current–voltage characteristics of Schottky diode simulated using semiconductor device equations. Int. J. Electron. 2013, 686–698. [Google Scholar] [CrossRef]
- Kaushal, P.; Ch, S.; Osvald, J. Numerical analysis of inhomogeneous Schottky diode with discrete barrier height patches. Int. J. Electron. 2016, 937–949. [Google Scholar] [CrossRef]
- Kurel, R.; Rang, T.; Poirier, L. An analysis of Critical Parameters for SiC JBS Structures. In Proceedings of the of the Estonian Academy of Sciences (284–299); Estonian Academy: Tallinn, Estonia, 2006. [Google Scholar]
- Rang, T.; Kurel, R.; Higelin, G.; Poirier, L. Current crowding phenomenon in JBC structures. In Computer Methods and Experimental Measurements for Surface Effects and Contact Mechanics; Wessex Institute of Technology Press: Southampton, NY, USA, 2005; pp. 387–396. [Google Scholar]
- Vasilevski, K.V.; Rendakova, S.V.; Nikitina, I.P.; Babanin, A.I.; Andreev, A.N. Electrical characteristics and structural properties of ohmic contacts to p 4H-SiC epitaxial layers. Semiconductors 1999, 33, 1206–1211. [Google Scholar] [CrossRef]
- Cheung, S.K.; Cheung, N.W. Extraction of Schottky diode parameters from forward current–voltage characteristics. Appl. Phys. Lett. 1986, 49, 85. [Google Scholar] [CrossRef]
- Raghunathan, R.; Baliga, B.J. p-4H and 6H-SiC high-voltage Schottky barrier diodes. IEEE Electron. Devices Lett. 1998, 19, 71. [Google Scholar] [CrossRef]
- Rhoderick, E.H.; Williams, R.H. Metal-Semiconductor Contacts, 2nd ed.; Oxford University Press: New York, NY, USA, 1988. [Google Scholar]
- Lee, S.K.; Zetterling, C.M.; Östling, M. Schottky diode formation and characterization of titanium tungsten to n- and p 4H silicon carbide. J. Appl. Phys. 2000, 87, 8039. [Google Scholar] [CrossRef]
- Itoh, A.; Kimoto, T.; Matsunami, H. High performance of high-voltage 4H-SiC Schottky barrier diodes. IEEE Electron. Dev. Lett. 1995, 16, 280–282. [Google Scholar] [CrossRef]
- Lundberg, N.; Östling, M. Thermally stable low ohmic contacts to p 6H-SiC using cobalt silicides. Solid-State Electron. 1996, 39, 1559–1565. [Google Scholar] [CrossRef]
- Tung, R.T. Electron transport at metal-semiconductor interfaces: General theory. Phys. Rev. 1992, 45, 13509. [Google Scholar] [CrossRef]
- Sullivan, J.P.; Tung, R.T.; Pinto, M.R.; Graham, W.R. Electron transport of inhomogeneous Schottky barriers: A numerical study. J. Appl. Phys. 1991, 70, 7403–7424. [Google Scholar] [CrossRef]
- Nicholls, J.R.; Dimitrijev, S.; Tanner, P.; Han, J. The Role of Near-Interface Traps in Modulating the Barrier Height of SiC Schottky Diodes. IEEE Trans. Electron. Devices 2019, 66, 1675–1680. [Google Scholar] [CrossRef]








© 2020 by the authors. Licensee MDPI, Basel, Switzerland. This article is an open access article distributed under the terms and conditions of the Creative Commons Attribution (CC BY) license (http://creativecommons.org/licenses/by/4.0/).
Share and Cite
Ziko, M.H.; Koel, A.; Rang, T.; Rashid, M.H. Investigation of Barrier Inhomogeneities and Electronic Transport on Al-Foil/p-Type-4H-SiC Schottky Barrier Diodes Using Diffusion Welding. Crystals 2020, 10, 636. https://doi.org/10.3390/cryst10080636
Ziko MH, Koel A, Rang T, Rashid MH. Investigation of Barrier Inhomogeneities and Electronic Transport on Al-Foil/p-Type-4H-SiC Schottky Barrier Diodes Using Diffusion Welding. Crystals. 2020; 10(8):636. https://doi.org/10.3390/cryst10080636
Chicago/Turabian StyleZiko, Mehadi Hasan, Ants Koel, Toomas Rang, and Muhammad Haroon Rashid. 2020. "Investigation of Barrier Inhomogeneities and Electronic Transport on Al-Foil/p-Type-4H-SiC Schottky Barrier Diodes Using Diffusion Welding" Crystals 10, no. 8: 636. https://doi.org/10.3390/cryst10080636
APA StyleZiko, M. H., Koel, A., Rang, T., & Rashid, M. H. (2020). Investigation of Barrier Inhomogeneities and Electronic Transport on Al-Foil/p-Type-4H-SiC Schottky Barrier Diodes Using Diffusion Welding. Crystals, 10(8), 636. https://doi.org/10.3390/cryst10080636

