You are currently viewing a new version of our website. To view the old version click .
Crystals
  • Article
  • Open Access

31 May 2020

2D Layer Arrangement of Solely [HS-HS] or [LS-LS] Molecules in the [HS-LS] State of a Dinuclear Fe(II) Spin Crossover Complex

,
and
Department of Chemistry, Johannes Gutenberg University Mainz, Duesbergweg 10–14, 55128 Mainz, Germany
*
Author to whom correspondence should be addressed.
This article belongs to the Special Issue Coordination Polymers

Abstract

Herein we report the synthesis and characterization of three new dinuclear iron(II) complexes [FeII2(I4MTD)2](F3CSO3)4 (C1), [FeII2(I4MTD)2](ClO4)4 (C2) and [FeII2(I4MTD)2](BF4)4 (C3) based on the novel ligand (I4MTD = 2,5-bis{[(1H-imidazol-4-ylmethyl)amino]methyl}-1,3,4-thiadiazole). Magnetic susceptibility measurements and single-crystal structure analysis show that the iron(II) spin centers for all complexes are in the high spin state at high temperatures. While the magnetic data of air-dried samples confirm the [HS-HS] state for C1 and C2 down to very low temperature, for C3, a gradual spin crossover is observed below 150 K. The crystal structure of C3·THF at 100 K shows that a spin transition from [HS-HS] to an intermediate state takes place, which is a 1:1 mixture of discrete [HS-HS] and [LS-LS] molecules, as identified unambiguously by crystallography. The different SCO properties of C1C3 can be attributed to crystal packing effects in the solid state.

1. Introduction

The growing interest and the necessity of miniaturizing processes lead to multiple research areas in the past decades []. The ability to switch between different states at the molecular scale, thus exhibiting molecular bistability, renders spin crossover (SCO) compounds highly promising candidates for memory storage devices, sensors, actuators or displays [,,,,,,,,,]. Complexes of first-row transition metal ions with an electron configuration of d4–d7 can either be in the high spin [HS] or in the low spin [LS] state, depending on the octahedral field splitting (ΔO) and the spin pairing energy (P). Switching between these two states by external stimuli such as the change of temperature, pressure or light is called SCO [,,]. Iron(II) complexes in the N6 coordination environment are by far the most investigated SCO compounds. Their d6 electron configuration allows switching between a diamagnetic LS state (S = 0) and a paramagnetic HS state (S = 2). Occupying or, vice versa, complete depopulating of the antibonding eg* orbitals gives rise to a large change in the average Fe-N bond length. This allows the investigation of SCO in iron(II) compounds by standard methods such as temperature-dependent magnetic measurements and X-ray crystallography. Since the interest in SCO is mainly due to the possible application as a molecular switch in information storage or sensors, the research focus is on a complete, abrupt and hysteretic spin switch [,,,]. In the solid state, the abrupt change in the properties upon switching and even more, the occurrence of a thermal SCO hysteresis strongly depends on the cooperativity between the spin centers. This is highly favored by intermolecular hydrogen bridges and ππ interactions between the ligand backbones. However, an even better tool to improve cooperativity is to take advantage of intramolecular covalent linking of the metal centers in polymeric compounds [,,,,,,]. Drawbacks are here the difficulties to control the polymerization that hampers crystallization. This can be overcome with oligonuclear compounds. Especially, dinuclear compounds are of particular interest due to the easier control of synthesis and characterization [,,,,]; furthermore, dinuclear complexes offer the possibility of addressing three accessible states ([HS-HS], [HS-LS] and [LS-LS]) [], which opens the chance for higher information storage capacities and mathematical operations based on trinary logic [,,]. In 2005, Brooker reported the dinuclear triazole bridged iron(II) complex [FeII2(PMAT)2](BF4)4 (PMAT = 3,5-bis{[(2-pyridylmethyl)amino]methyl}-4-amino-4H-1,2,4-triazole) (Figure 1) that shows a spin switch from the [HS-HS] state at high temperature to an [HS-LS] state at lower temperatures []. Our group reported the synthesis and characterization of symmetric dinuclear complexes incorporating the PMTD (2,5-bis[(2-pyridylmethyl)amino]methyl-1,3,4-thiadiazole, Figure 1) and PMOD ligand (2,5-bis[(2-pyridylmethyl)amino]methyl-1,3,4-oxadiazole, Figure 1) which both show spin crossover in dependence of the solvent and non-coordinating counterions used [,,]. Like the PMAT ligand, the bridging bis-tridentate ligands PMTD and PMOD provide six donor atoms, respectively, allowing for octahedral coordination of both iron(II) ions. Recently, we reported six new dinuclear iron(II) complexes based on two new 1,3,4-thiadiazole bridging ligands (I2MTD = 2,5-bis{[(1H-imidazol-2-ylmethyl)amino]methyl}-1,3,4-thiadiazole and TMTD = 2,5-bis{[(thiazol-2-yl-methyl)amino]methyl}-1,3,4-thiadiazole, Figure 1). For the complex [FeII2(TMTD)2](ClO4)4·3MeCN a two-step spin crossover is observed that is accompanied by two distinct phase transitions. While slow cooling leads to distinguishable HS/LS pairs in the mixed [HS-LS] state, rapid cooling leads to a superposition of the HS and LS iron(II) ions in the [HS-LS] state. Thus, quenching prevents the phase transition to be observable crystallographically. In contrast, all complexes with the I2MTD ligand remain in the [HS-HS] state until very low temperatures []. We now report on the modification of the I2MTD ligand by changing the binding of the imidazolyl heteroaromatic ring to the thiadiazole backbone. The novel I4MTD (2,5-bis{[(1H-imidazol-4-ylmethyl)amino]methyl}-1,3,4-thiadiazole, Figure 1) was synthesized and characterized. The purpose of this modification was to investigate the intermolecular cooperative interaction pathways of the dinuclear complexes bridged by the I4MTD ligand compared to the I2MTD based complexes. Since the position of the protonated nitrogen atom in the imidazolyl ring is changed, different hydrogen bonding is expected. We synthesized and characterized three new bimetallic iron(II) complexes [FeII2(I4MTD)2](X)4 (with X = BF4, ClO4 and F3CSO3), which exhibit distinct different hydrogen bonding networks via the non-coordinating counterions, resulting in different magnetic properties.
Figure 1. Summary of the ligand systems mentioned in the introduction.

2. Experimental Section

General Methods and Materials: All chemicals were purchased as commercially available from Alfa Aesar (Thermo Fisher (Kandel) GmbH, Kandel, Germany), Deutero (Deutero GmbH, Kastellaun, Germany), TCI (TCI Deutschland GmbH, Eschborn, Germany), Sigma-Aldrich (Sigma-Aldrich Chemie GmbH, Munich, Germany) and Acros Organics (Thermo Fisher Scientific, Geel, Belgium) and used without further purificationas described in the literature []. 1H- and 13C-NMR spectra were recorded at room temperature on a Bruker Avance DSX 400 and analyzed with the program MestReNova (Mestrelab Research, Santiago de Compostela, Spain) []. Variable-temperature magnetic susceptibility data for bulk crystalline to powderous samples were measured from 2 to 300 K and in an applied field of 1 kOe with a Quantum Design SQUID magnetometer MPMSXL. FD mass spectrometry measurements and elemental analysis (C, H, N) were performed at the microanalytical laboratories of Johannes Gutenberg University Mainz. Single-crystal X-ray diffraction data were collected at 100 K, 173 K and 200 K with a STOE STADIVARI at the Johannes Gutenberg University Mainz. The structures were solved with ShelXT [] and refined with ShelXL [] implemented in the program Olex2 (OlexSys Ltd., Durham, United Kingdom) []. CCDC-1995090-1995093 contains the supplementary crystallographic data for this paper. These data can be obtained free of charge from the Cambridge Crystallographic Data Centre via www.ccdc.cam.ac.uk/data_request/cif.
Caution! The prepared perchlorate complexes are potentially explosive. Even though no explosions occurred, only small amounts should be prepared and handled with care.
Ligand synthesis: 1,2-Bis(chloroacetyl)hydrazine, 2,5-bis(chloromethyl)-1,3,4-thiadiazole, 2,5-bis(azidomethyl)-1,3,4-thiadiazole and 2,5-bis(aminomethyl)-1,3,4-thiadiazole (1) were prepared according to literature-known procedures [,]. The ligand (I4MTD = 2,5-Bis{[(1H-imidazol-4-ylmethyl)amino]methyl}-1,3,4-thiadiazole) was synthesized based on similar reductive amination recently published by us [].
2,5-Bis{[(1H-imidazol-4-ylmethyl)amino]methyl}-1,3,4-thiadiazole (I4MTD): A solution of 1H-Imidazol-4-carbaldehyde (2) (2.02 g, 21.00 mmol, 2.1 equiv.), 2,5-bis(aminomethyl)-1,3,4-thiadiazole (1) (1.44 g, 10.00 mmol, 1.0 equiv.), sodium cyanoborohydride (3.14 g, 50.00 mmol, 5.0 equiv.), and acetic acid (1.26 g, 21.00 mmol, 2.1 equiv.) in methanol (200 mL) was refluxed and followed with TLC (chloroform/methanol 2:1) until the disappearance of 1. After removal of the solvent under reduced pressure, the obtained oil was purified by column chromatography (SiO2, chloroform/methanol 2:1). The brown and oily product crystallized upon drying under reduced pressure. The product could not be separated from small impurities. Yield: 2.80 g (9.20 mmol, 92.0%). 1H-NMR (400 MHz, CDCl3, 25 °C): δ = 7.64 (s, 2H, H-2, Imz), 6.99 (s, 2H, H-5, Imz), 4.14 (s, 4H, CH2, TDA), 3.80 (s, 4H, CH2, Imz) ppm. 13C-NMR (100 MHz, CDCl3, 25 °C): δ = 174.2 (C, TDA), 136.8 (C-4, Imz), 136.5 (C-2, Imz), 118.6 (C-5, Imz), 47.7 (C, TDA), 45.7 (C, Imz) ppm. FD-MS (MeOH): m/z(%) = 304.05 (100) [(M+H)+], 327.05 (23) [(M+Na)+].
General complex synthesis of [FeII2(I4MTD)2](X)4: The complex syntheses were carried out in a glovebox under nitrogen atmosphere and exclusion of water and oxygen. After a solution of the ligand (I4MTD, 0.10 mmol) in absolute acetonitrile/methanol (2:1, 2 mL) was added to a solution of the corresponding iron(II) salt (0.10 mmol, Fe(BF4)2·6H2O, Fe(ClO4)2·xH2O or Fe(F3CSO3)2) in absolute acetonitrile (2 mL) the resulting yellowish to orange complex solutions were exposed to vapor diffusion of absolute diethyl ether or absolute tetrahydrofuran. After several days to weeks, crystals have formed, which were suitable for single-crystal X-ray studies.
[FeII2(I4MTD)2](F3CSO3)4·solvents (C1): Fe(F3CSO3)2 (35 mg) and 2,5-bis{[(1H-imidazol-4-ylmethyl)amino]methyl}-1,3,4-thiadiazole (I4MTD, 30 mg) were used to obtain C1 (23 mg, 33.6%) as yellow crystals. C28H32F12Fe2N16O12S6 [FeII2(I4MTD)2](F3CSO3)4 (1316.50): calcd. C 25.54 H 2.45 N 17.02; found (after air-drying) C 25.17 H 2.15 N 16.61.
[FeII2(I4MTD)2](ClO4)4·THF (C2): Fe(ClO4)2·xH2O (27 mg) and 2,5-bis{[(1H-imidazol-4-ylmethyl)amino]methyl}-1,3,4-thiadiazole (I4MTD, 30 mg) were used to obtain C2 (26 mg, 45.6%) as yellow crystals C24H32Cl4Fe2N16O16S2 [FeII2(I4MTD)2](ClO4)4·(1118.22): calcd. C 25.78 H 2.88N 20.04; found (after air-drying) C 26.48 H 2.61 N20.52.
[FeII2(I4MTD)2](BF4)4·THF (C3): Fe(BF4)2·6H2O (34 mg) and 2,5-bis{[(1H-imidazol-4-ylmethyl)amino]methyl}-1,3,4-thiadiazole (I4MTD, 30 mg) were used to obtain C3 (26 mg, 43.7%) as yellow crystals. C24H32B4F16Fe2N16S2 [FeII2(I4MTD)2](BF4)4 (1067.66): calcd. C 27.00 H 3.02 N 20.99; found (after air-drying) C 26.67 H 2.59 N 20.97.

3. Results and Discussion

3.1. Synthesis

The synthesis of the precursor molecule 2,5-bis(aminomethyl)-1,3,4-thiadiazole (1) was previously reported by us []. The ligand (I4MTD = 2,5-bis{[(1H-imidazol-4-ylmethyl)amino]methyl}-1,3,4-thiadiazole) was synthesized according to a published reductive amination [] by reacting 1 with 1H-imidazole-4-carbaldehyde (2) followed by an in situ reduction of the formed imine to the respective amine with sodium cyanoborohydride. The reaction scheme for the synthesis of the ligand (I4MTD) is shown in Scheme 1.
Scheme 1. Synthesis of the ligand (I4MTD) starting from 2,5-bis(aminomethyl)-1,3,4-thiadiazole (1).
The complexes [FeII2(I4MTD)2](F3CSO3)4 (C1), [FeII2(I4MTD)2](ClO4)4 (C2) and [FeII2(I4MTD)2](BF4)4 (C3) were synthesized in stoichiometric reactions of the ligand (I4MTD) with the respective iron(II) salt FeII(F3CSO3)2, FeII(ClO4)2·xH2O or FeII(BF4)2·6H2O. Single crystals suitable for X-ray diffraction have been obtained by vapor diffusion of diethyl ether or tetrahydrofuran into complex solutions of acetonitrile and methanol (5:1 volume ratio). The syntheses were performed under nitrogen atmosphere using absolute solvents to prevent oxidation of the iron(II) ions.

3.2. Crystal Structures

The crystal structures of the complexes [FeII2(I4MTD)2](F3CSO3)4·Et2O/2MeCN (C1·Et2O/2MeCN, @173 K), [FeII2(I4MTD)2](ClO4)4·THF (C2·THF, @173 K) and [FeII2(I4MTD)2](BF4)4·THF (C3·THF, @100 and 200 K) all have the centrosymmetric [Fe2L2]4+ complex cation in common. The two iron(II) centers are bridged by two ligand molecules via the two nitrogen donor atoms of the thiadiazole moiety. The two ligands provide an N6 octahedral environment for each metal center. Despite the possibility of cis- or trans-axial coordination of the ligand, as shown for compounds with related ligands [,,,], all here described complexes feature the cis-axial coordination (see Figure 2). The crystal structures comprise four respective anions counterbalancing the charge. For C2 and C3, the non-coordinating solvent molecule included is tetrahydrofuran. For C1, the electron density can be interpreted as either one diethyl ether molecule or two acetonitrile molecules per cation. The highly disordered solvent molecules were treated with SQUEEZE [] in the program Olex2 []. The formula [FeII2(I4MTD)2](F3CSO3)4·solvent (C1·solvent) is used throughout the paper. All crystallographic parameters are given in Table S1.
Figure 2. Sketch of the centrosymmetric complex cation [FeII2(I4MTD)2]4+, showing the cis-coordination of the ligand as well as octahedral coordination environment for the iron(II) ions.
C1 is found to be in the monoclinic space group C2/c (@173 K), C2 in the triclinic space group P 1 ¯ (@173 K) and C3 in the orthorhombic group Pbca (@200 K). For all three structures, one half of the complex cation is part of the asymmetric unit and the full cation is symmetry generated by an inversion center located between the two metal centers in the bimetallic complex. The average Fe-N bond lengths of 2.188 Å (C1·solvents), 2.192 Å (C2·THF) and 2.187 Å (C3·THF, @200 K), account for an iron(II) ion in the HS state, resulting in the [HS-HS] state for the whole complex molecule at the given temperatures. This is further confirmed by the octahedral distortion parameters ∑ (sum of the deviation from 90° of the 12 cis-N-Fe-N angles in the FeN6 coordination sphere) of 108.0° (C1·solvents), 105.3° (C2·THF) and 116.5° (C3·THF, @200 K) [,,,]. Information on bond lengths and angles of C1C3 are summarized in Table 1.
Table 1. Selected bond lengths (Å), N-Fe-N bond angles (°) and the octahedral distortion parameter ∑ [°] for the compounds C1C3. For compound C3 the values are given for different temperatures.
Variable-temperature magnetic susceptibility measurements have been performed for all complexes (see below). For C3, a partial spin state switching below 150 K was observed. To elucidate this finding, we decided to investigate the X-ray data at lower temperatures. Thus, the single-crystal X-ray data were collected for C3·THF at 100 K. The yellow crystal turned red during cooling, but also got fine cracks, which lowers the quality of the crystallographic data. However, a phase transition was seen unambiguously when lowering the temperature to 100 K. The space group changed from orthorhombic Pbca (@200 K) to monoclinic P21/c (@100 K). The asymmetric unit of the monoclinic phase consists now of two half complex cations with two crystallographic independent iron(II) ions; one per cation (Figure 3).
Figure 3. Crystallographic independent complex cations for C3·THF at 200 (top) and 100 K (bottom). The asymmetric units are depicted in bold, while the second half of the cations (wireframe) are symmetry generated. The orientation of the molecules and the labeling is the same as for Figure 2. Hydrogens, solvent molecules and cations are omitted for clarity. Color code: Fe dark red, N blue, S yellow, C gray.
For one complex cation in the asymmetric unit, the iron(II) ion (FeHS) stays in the HS state. The average Fe-N bond length of 2.184 Å and the octahedral distortion ∑ of 115.6° remain almost the same as in the structure obtained at 200 K (2.187 Å and 116.3°), confirming a localized [HS-HS] dimer. For the other complex cation, the average Fe-N bond lengths and the octahedral distortion parameter ∑ for the iron(II) ion (FeLS) decrease to 2.008 Å and 69.5°, which accounts for a localized [LS-LS] complex cation. Thus, a spin transition occurs between 200 and 100 K from the [HS-HS] to the mixed [HS/LS] state, which is a 1:1 mixture of localized dimers either in the [HS-HS] or in the [LS-LS] state (Figure 3). The crystallographic differentiation, whether the [HS-LS] state is realized by discrete [HS-LS] molecules or it composes from a 1:1 mixture of [HS-HS] and [LS-LS] molecules, is not possible in most cases due to higher symmetry in the space group. In centrosymmetric molecular structures, a superposition of the HS and LS iron(II) ions might be observed [,,,,,,]. Fortunately, this is not the case for C3, where at low temperatures the dimeric spin crossover complexes can be clearly identified as either [HS-HS] or [LS-LS] molecules.
However, to get a better understanding of why C3·THF shows SCO while C1·solvents and C2·THF do not, we have to take a closer look at the crystal packing, which has a crucial influence on the SCO behavior [,,,].
Along the crystallographic c-axis in C3·THF (@200 K), the dinuclear [HS-HS] molecules are arranged in two-dimensional layers formed by hydrogen bonds between the amine protons and the fluorine atoms of the tetrafluoroborate ions (Figure 4, bottom). These layers are separated by 3.11 Å and non-coordinating tetrahydrofuran solvent molecules, as well as tetrafluoroborate counterions which are located between the layers (Figure 4, top). However, there is no cooperative interaction pathway via hydrogen bonding between the two layers. When lowering the temperature, the occurring SCO phenomenon, ([HS-HS]→[HS-LS]) is accompanied by a phase transition and the space group changes from Pbca to P21/c. At low temperatures, the complex cations in every second layer are switched to the [LS-LS] state, resulting in alternating layers of either [LS-LS] or [HS-HS] molecules. This layered arrangement of molecules solely in the HS or in the LS is rare and we found only a few examples in the literature for which the spin crossover is accompanied by shrinking or expanding of one distinguished crystallographic axis [,,,,,]. Note that although the direction of the stacking does not change, the crystallographic c-axis of the high-temperature space group Pbca turns to be the a-axis in P21/c (Figure 4 and Figure 5). While the intramolecular bond lengths and angles for the iron(II) centers change significantly when going from the HS to the LS state, the intermolecular hydrogen bridges between the dimers in each layer do not change significantly. Thus, to give way to the overall reduced required space for [LS-LS] dimers, compared to the [HS-HS] ones, the stacking changes. With the SCO the interlayer diameter reduces by 0.3 Å from 3.110 Å to 2.804 Å. This drastic impact of the phase transition on only one of the crystallographic axes results inevitably to the small cracks in the crystal.
Figure 4. Crystal packing and hydrogen bonding (black dashed lines) toward neighboring anions in C3·THF at 200 K (space group Pbca). Top. View along the crystallographic b-axis. Bottom. View along the crystallographic c-axis. Solvent molecules, as well as non-bridging counterions, have been omitted for clarity. Color code: Fe dark red, N blue, S yellow, C gray, B pink, F green and H white.
Figure 5. Crystal packing and hydrogen bonding (black dashed lines) toward neighboring anions in C3·THF at 100 K (space group P21/c). Top. View along the crystallographic c-axis. Bottom. View along the crystallographic a-axis. Left. Layer with only [LS-LS] molecules. Right. Layer with [HS-HS] molecules. Solvent molecules, as well as non-bridging counterions, have been omitted for clarity. Color code: Fe dark red, N blue, S yellow, C gray, B pink, F green and H white.
For C1 and C2, the dinuclear complex cations show hydrogen bonding between the amino or the imidazolyl groups and the respective counter anions triflate or perchlorate (Figures S8 and S10). While for C1, a three-dimensional network is realized for C2 intertwined layers are formed. In both cases, the molecules are quite densely packed in the solid state and there is basically no “space” to compensate for bond lengths and volume changes that come together with a spin transition. Thus, single-crystal structure analysis reveals that it is very unlikely that C1 and C2 show any SCO behavior.

3.3. Variable-Temperature Magnetic Susceptibility Measurements

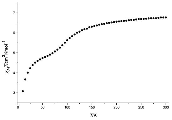
Variable-temperature magnetic susceptibility measurements were performed on microcrystalline to powderous air-dried samples of C1C3 in the temperature range of 2–300 K in an applied magnetic field of 1000 Oe (0.1 T) (Figure 6 and Figure S12). It is important to mention that the freshly prepared crystalline samples of C1C3 almost immediately lose crystallinity, when exposed to air, explained by the loss of the volatile solvents (diethyl ether or tetrahydrofuran). Thus, we did not succeed to obtain magnetic data of freshly prepared crystalline samples. The magnetic studies were performed with a cooling/heating rate of 1.5 K/min and the χMT vs T plots are indistinguishable for the measurements when heated or cooled. In all three compounds C1C3, the dimers are in the [HS-HS] state at 300 K as indicated by χMT values between 6.54 and 6.96 cm3Kmol−1 per complex cation varying with the counterions. All measured values are slightly higher than the calculated one for an iron(II) dimer with two non-interacting HS iron(II) ions of 6.00 cm3Kmol−1 using the spin-only formalism. However, this difference is expected, as the spin-only formula does not account for any orbital angular momentum. Upon lowering the temperature, the χMT values for C1 and C2 remain almost invariant, indicating that the iron(II) ions remain in the HS state down to low temperature. Below 50 K, for both complexes, the χMT value decreases which can be explained by the presence of weak anti-ferromagnetic exchange interactions between the iron(II) ions and/or by the zero-field splitting of the S = 2 state. For C3, the χMT value remains high until about 150 K before it drops to ~4.40 cm3Kmol−1. The resulting small plateau between 70 and 50 K can be explained by a gradual spin transition of a major part of the dimers (calculated to 70%) from the [HS-HS] to the [HS-LS] state. The decrease of the χMT value for C3 below 50 K is again explained with the presence of weak anti-ferromagnetic exchange interactions between the HS iron(II) ions in the remaining [HS-HS] dimers and/or by the zero-field splitting of the S = 2 state. The difference between the magnetic data and the single-crystal structure analysis (described above) of C3 is explained by the loss of the volatile solvent molecules and thus by the loss of crystallinity upon air-drying of the sample. The effect of the solvent loss on the magnetic data is shown in Figure S13 in the supporting information.
Figure 6. χMT vs. T data for the compound C3. The data are given per dinuclear iron(II) molecule.

4. Conclusions

Concluding, we synthesized the new bis-tridentate 1,3,4-thiadiazole bridging ligand (I4MTD = 2,5-Bis{[(1H-imidazol-4-ylmethyl)amino]methyl}-1,3,4-thiadiazole, from which we obtained a series of three potentially SCO active dinuclear iron(II) complexes ([FeII2(I4MTD)2](X)4 with X = F3CSO3 (C1), ClO4 (C2) and BF4 (C3)). Magnetic susceptibility measurements and single-crystal structure analysis revealed a temperature-independent [HS-HS] state for C1 and C2. In contrast, magnetic data for C3 showed a gradual spin transition below 200 K suggesting an intermediate [HS-LS] state at low temperatures. However, single-crystal X-ray analysis proved the supposed intermediate spin state to be a 1:1 mixture of [HS-HS] and [LS-LS] molecules. While the local ligand field strength for the iron(II) ions is the same in all three complexes, very clearly, different crystal packing causes the different spin switching properties of the complexes. For C1 and C2, three-dimensional hydrogen bridged networks or strongly intertwined layers of iron(II) dimer molecules are found. In contrast, the dimers in C3 arrange in two-dimensional layers that are well separated by the non-coordinating counterions and solvent molecules. The SCO is accompanied by a crystallographic phase transition that accounts for the molecular re-arrangement. With this, the interlayer spacing is already reduced by 0.3 Å although only the molecules in every second 2D layer change the spin state. At 100 K alternating layers of [HS-HS] and [LS-LS] dimers are observed in the crystal structure. In magnetic data obtained from the bulk sample, an average “[HS-LS]” state is featured. Thus, our results clearly underline the importance of investigations of SCO phenomena using complementary methods.

Supplementary Materials

The following are available online at https://www.mdpi.com/2073-4352/10/6/448/s1, Figure S1. 1H-NMR of 2,5-bis{[(1H-imidazol-4-ylmethyl)amino]methyl}-1,3,4-thiadiazole (I4MTD). Figure S2. 13C-NMR of 2,5-bis{[(1H-imidazol-4-ylmethyl)amino]methyl}-1,3,4-thiadiazole (I4MTD). Figure S3. Field desorption mass spectrum of 2,5-bis{[(1H-imidazol-4-ylmethyl)amino]methyl}-1,3,4-thiadiazole (I4MTD). Figure S4. IR spectrum of air-dried [FeII2(I4MTD)2](F3CSO3)4 (C1). Figure S5. IR spectrum of air-dried [FeII2(I4MTD)2](ClO4)4 (C2). Figure S6. IR spectrum of air-dried [FeII2(I4MTD)2](BF4)4 (C3). Figure S7. Molecular structure of [FeII2(I4MTD)2](F3CSO3)4@solvents (C1@solvents) with thermal ellipsoids at 173 K. Solvent molecules could not be solved. Color code: Fe is dark red, N blue, S yellow, C grey, H white, O red and F light green. Figure S8. Crystal packing and hydrogen bonding (black dashed lines) via anions in [FeII2(I4MTD)2](F3CSO3)4@solvents (C1@solvents) at 173 K. Non-bridging counter ions have been omitted for clarity. a) View along crystallographic b-axis. b) View along crystallographic a-axis. Color code: Fe is dark red, N blue, S yellow, C grey, H white, O red and F light green. Figure S9. Molecular structure of [FeII2(I4MTD)2](ClO4)4@THF (C2@THF) with thermal ellipsoids at 173 K. Color code: Fe is dark red, N blue, S yellow, C grey, H white, O red and Cl green. Figure S10. Crystal packing and hydrogen bonding (black dashed lines) via anions in [FeII2(I4MTD)2](ClO4)4@THF (C2@THF) at 173 K. Non-bridging counter ions and solvent molecules have been omitted for clarity. a) View along crystallographic a-axis. b) View along the angle bisector of the crystallographic a- and b-axis. Color code: Fe is dark red, N blue, S yellow, C grey, H white, O red and Cl green. Figure S11. Molecular structure of [FeII2(I4MTD)2](BF4)4@THF(C3@THF) with thermal ellipsoids at a) 200 K and b) 100 K. Color code: Fe is dark red, N blue, S yellow, C grey, H white, O red, B pink and F light green. Figure S12. χMT vs. T data for the air-dried compounds C1 (squares) and C2 (triangles). The data are given per dinuclear iron(II) molecule. Figure S13. χMT vs. T data for C3 for a freshly taken sample measured from 10–300 K after direct low-temperature freezing within the magnetometer (filled squares), subsequently measured from 300–10 K (empty squares) and for a dried sample from 10–300 K after heating the sample to 400 K for 2 h (filled circles). The data are given per dinuclear iron(II) molecule. Table S1. Crystallographic parameters for all discussed crystal structures of C1C3.

Author Contributions

F.F. performed the synthesis and characterization of the ligand and the complexes. F.F. measured and analyzed the magnetic data. L.M.C. performed the X-ray acquisition data and analysis. F.F. and E.R. finalized the manuscript with contributions from L.M.C. All authors have read and agreed to the published version of the manuscript.

Funding

This research received no external funding.

Conflicts of Interest

The authors declare no conflicts of interest.

References

  1. Kahn, O.; Martinez, C.J. Spin-Transition Polymers: From Molecular Materials Toward Memory Devices. Science 1998, 279, 44–48. [Google Scholar] [CrossRef]
  2. Bousseksou, A.; Molnár, G.; Salmon, L.; Nicolazzi, W. Molecular spin crossover phenomenon: Recent achievements and prospects. Chem. Soc. Rev. 2011, 40, 3313–3335. [Google Scholar] [CrossRef] [PubMed]
  3. Halcrow, M.A. Structure:function relationships in molecular spin-crossover complexes. Chem. Soc. Rev. 2011, 40, 4119. [Google Scholar] [CrossRef] [PubMed]
  4. Linares, J.; Codjovi, E.; Garcia, Y. Pressure and Temperature Spin Crossover Sensors with Optical Detection. Sensors 2012, 12, 4479–4492. [Google Scholar] [CrossRef] [PubMed]
  5. Gütlich, P.; Gaspar, A.B.; Garcia, Y. Spin state switching in iron coordination compounds. Beilstein J. Org. Chem. 2013, 9, 342–391. [Google Scholar] [CrossRef]
  6. Halcrow, M.A. Spin-Crossover Materials: Properties and Applications; Halcrow, M.A., Ed.; John Wiley & Sons Ltd.: Oxford, UK, 2013; ISBN 9781118519301. [Google Scholar]
  7. Gütlich, P. Spin Crossover - Quo Vadis? Eur. J. Inorg. Chem. 2013, 2013, 581–591. [Google Scholar] [CrossRef]
  8. Manrique-Juárez, M.D.; Rat, S.; Salmon, L.; Molnár, G.; Quintero, C.M.; Nicu, L.; Shepherd, H.J.; Bousseksou, A. Switchable molecule-based materials for micro- and nanoscale actuating applications: Achievements and prospects. Coord. Chem. Rev. 2016, 308, 395–408. [Google Scholar] [CrossRef]
  9. Sato, O. Dynamic molecular crystals with switchable physical properties. Nat. Chem. 2016, 8, 644–656. [Google Scholar] [CrossRef]
  10. Senthil Kumar, K.; Ruben, M. Emerging trends in spin crossover (SCO) based functional materials and devices. Coord. Chem. Rev. 2017, 346, 176–205. [Google Scholar] [CrossRef]
  11. Ruben, M.; Kumar, K.S. Sublimable Spin Crossover Complexes: From Spin-State Switching to Molecular Devices. Angew. Chemie 2019, ange.201911256. [Google Scholar] [CrossRef]
  12. Gütlich, P.; Hauser, A.; Spiering, H. Thermal and Optical Switching of Iron(II) Complexes. Angew. Chemie Int. Ed. Engl. 1994, 33, 2024–2054. [Google Scholar] [CrossRef]
  13. Gütlich, P.; Goodwin, H.A. Spin Crossover—An Overall Perspective. In Spin Crossover in Transition Metal Compounds I; Gütlich, P., Goodwin, H.A., Eds.; Springer: Berlin/Heidelberg, Germany, 2004; Volume 1, pp. 1–47. [Google Scholar]
  14. Hauser, A. Ligand Field Theoretical Considerations. In Spin Crossover in Transition Metal Compounds I; Gütlich, P., Goodwin, H.A., Eds.; Springer: Berlin/Heidelberg, Germany, 2004; pp. 49–58. [Google Scholar]
  15. Kröber, J.; Codjovi, E.; Kahn, O.; Grolière, F.; Jay, C. A Spin Transition System with a Thermal Hysteresis at Room Temperature. J. Am. Chem. Soc. 1993, 115, 9810–9811. [Google Scholar] [CrossRef]
  16. Brooker, S. Spin crossover with thermal hysteresis: Practicalities and lessons learnt. Chem. Soc. Rev. 2015, 44, 2880–2892. [Google Scholar] [CrossRef] [PubMed]
  17. Ridier, K.; Molnár, G.; Salmon, L.; Nicolazzi, W.; Bousseksou, A. Hysteresis, nucleation and growth phenomena in spin-crossover solids. Solid State Sci. 2017, 74, A1–A22. [Google Scholar] [CrossRef]
  18. Galet, A.; Gaspar, A.B.; Muñoz, M.C.; Real, J.A. Influence of the counterion and the solvent molecules in the spin crossover system [Co(4-terpyridone)2]Xp·nH2O. Inorg. Chem. 2006, 45, 4413–4422. [Google Scholar] [CrossRef]
  19. Real, J.A.; Gaspar, A.B.; Niel, V.; Muñoz, M.C. Communication between iron(II) building blocks in cooperative spin transition phenomena. Coord. Chem. Rev. 2003, 236, 121–141. [Google Scholar] [CrossRef]
  20. Carmen Muñoz, M.; Antonio Real, J. Polymeric Spin-Crossover Materials. In Spin-Crossover Materials: Properties and Applications; Halcrow, M.A., Ed.; John Wiley & Sons Ltd.: Oxford, UK, 2013; pp. 121–146. ISBN 9781119998679. [Google Scholar]
  21. Wu, X.-R.; Shi, H.-Y.; Wei, R.-J.; Li, J.; Zheng, L.-S.; Tao, J. Coligand and Solvent Effects on the Architectures and Spin-Crossover Properties of (4,4)-Connected Iron(II) Coordination Polymers. Inorg. Chem. 2015, 54, 3773–3780. [Google Scholar] [CrossRef]
  22. Gaspar, A.B.; Muñoz, M.C.; Real, J.A. Dinuclear iron(ii) spin crossover compounds: Singular molecular materials for electronics. J. Mater. Chem. 2006, 16, 2522–2533. [Google Scholar] [CrossRef]
  23. Murray, K.S. Advances in Polynuclear Iron(II), Iron(III) and Cobalt(II) Spin-Crossover Compounds. Eur. J. Inorg. Chem. 2008, 2008, 3101–3121. [Google Scholar] [CrossRef]
  24. Olguín, J.; Brooker, S. Spin-Crossover in Discrete Polynuclear Complexes. In Spin-Crossover Materials: Properties and Applications; Halcrow, M.A., Ed.; John Wiley & Sons Ltd.: Oxford, UK, 2013; pp. 77–120. ISBN 9781119998679. [Google Scholar]
  25. Hogue, R.W.; Singh, S.; Brooker, S. Spin crossover in discrete polynuclear iron(ii) complexes. Chem. Soc. Rev. 2018, 47, 7303–7338. [Google Scholar] [CrossRef]
  26. Real, J.A.; Bolvin, H.; Bousseksou, A.; Dworkin, A.; Kahn, O.; Varret, F.; Zarembowitch, J. Two-step spin crossover in the new dinuclear compound [Fe(bt)(NCS)2]2bpym, with bt = 2,2’-bi-2-thiazoline and bpym = 2,2’-bipyrimidine: Experimental investigation and theoretical approach. J. Am. Chem. Soc. 1992, 114, 4650–4658. [Google Scholar] [CrossRef]
  27. Ruben, M.; Breuning, E.; Gisselbrecht, J.-P.; Lehn, J.-M. Multilevel Molecular Electronic Species: Electrochemical Reduction of a [2 × 2] CoII4 Grid-Type Complex by 11 Electrons in 10 Reversible Steps. Angew. Chemie 2000, 39, 4139–4142. [Google Scholar] [CrossRef]
  28. Breuning, E.; Ruben, M.; Lehn, J.; Renz, F.; Garcia, Y.; Ksenofontov, V.; Gütlich, P.; Wegelius, E.; Rissanen, K. Spin Crossover in a Supramolecular Fe4II [2 × 2] Grid Triggered by Temperature, Pressure, and Light. Angew. Chemie Int. Ed. 2000, 39, 2504–2507. [Google Scholar] [CrossRef]
  29. Létard, J.-F.; Guionneau, P.; Goux-Capes, L. Towards Spin Crossover Applications. In Spin Crossover in Transition Metal Compounds III; Gütlich, P., Goodwin, H.A., Eds.; Springer: Berlin/Heidelberg, Germany, 2004; Volume 1, pp. 221–249. [Google Scholar]
  30. Klingele, M.H.; Moubaraki, B.; Cashion, J.D.; Murray, K.S.; Brooker, S. The first X-ray crystal structure determination of a dinuclear complex trapped in the [low spin–high spin] state: [Fe II 2 (PMAT) 2](BF 4) 4 ·DMF. Chem. Commun. 2005, 2, 987–989. [Google Scholar] [CrossRef]
  31. Herold, C.F.; Carrella, L.M.; Rentschler, E. A Family of Dinuclear Iron(II) SCO Compounds Based on a 1,3,4-Thiadiazole Bridging Ligand. Eur. J. Inorg. Chem. 2015, 2015, 3632–3636. [Google Scholar] [CrossRef]
  32. Herold, C.F.; Shylin, S.I.; Rentschler, E. Solvent-dependent SCO Behavior of Dinuclear Iron(II) Complexes with a 1,3,4-Thiadiazole Bridging Ligand. Inorg. Chem. 2016, 55, 6414–6419. [Google Scholar] [CrossRef]
  33. Köhler, C.; Rentschler, E. The First 1,3,4-Oxadiazole Based Dinuclear Iron(II) Complexes Showing Spin Crossover Behavior with Hysteresis. Eur. J. Inorg. Chem. 2016, 2016, 1955–1960. [Google Scholar] [CrossRef]
  34. Fürmeyer, F.; Carrella, L.M.; Ksenofontov, V.; Möller, A.; Rentschler, E. Phase Trapping in Multistep Spin Crossover Compound. Inorg. Chem. 2020, 59, 2843–2852. [Google Scholar] [CrossRef] [PubMed]
  35. Eaborn, C. Purification of Laboratory Chemicals. J. Organomet. Chem. 1981, 213, C62. [Google Scholar] [CrossRef]
  36. Cobas, J.C.; Sardina, F.J. Nuclear magnetic resonance data processing. MestRe-C: A software package for desktop computers. Concepts Magn. Reson. 2003, 19A, 80–96. [Google Scholar] [CrossRef]
  37. Sheldrick, G.M. SHELXT – Integrated space-group and crystal-structure determination. Acta Crystallogr. Sect. A Found. Adv. 2015, 71, 3–8. [Google Scholar] [CrossRef] [PubMed]
  38. Sheldrick, G.M. Crystal structure refinement with SHELXL. Acta Crystallogr. Sect. C Struct. Chem. 2015, 71, 3–8. [Google Scholar] [CrossRef] [PubMed]
  39. Dolomanov, O.V.; Bourhis, L.J.; Gildea, R.J.; Howard, J.A.K.; Puschmann, H. OLEX2: A complete structure solution, refinement and analysis program. J. Appl. Crystallogr. 2009, 42, 339–341. [Google Scholar] [CrossRef]
  40. Hogue, R.W.; Feltham, H.L.C.; Miller, R.G.; Brooker, S. Spin Crossover in Dinuclear N 4 S 2 Iron(II) Thioether–Triazole Complexes: Access to [HS-HS], [HS-LS], and [LS-LS] States. Inorg. Chem. 2016, 55, 4152–4165. [Google Scholar] [CrossRef] [PubMed]
  41. Van der Sluis, P.; Spek, A.L. BYPASS: An effective method for the refinement of crystal structures containing disordered solvent regions. Acta Crystallogr. Sect. A Found. Crystallogr. 1990, 46, 194–201. [Google Scholar] [CrossRef]
  42. Kitchen, J.A.; Olguín, J.; Kulmaczewski, R.; White, N.G.; Milway, V.A.; Jameson, G.N.L.; Tallon, J.L.; Brooker, S. Effect of N 4 -Substituent Choice on Spin Crossover in Dinuclear Iron(II) Complexes of Bis-Terdentate 1,2,4-Triazole-Based Ligands. Inorg. Chem. 2013, 52, 11185–11199. [Google Scholar] [CrossRef]
  43. Ortega-Villar, N.; Thompson, A.L.; Muñoz, M.C.; Ugalde-Saldívar, V.M.; Goeta, A.E.; Moreno-Esparza, R.; Real, J.A. Solid- and Solution-State Studies of the Novel μ-Dicyanamide-Bridged Dinuclear Spin-Crossover System {[(Fe(bztpen)]2[μ-N(CN)2]}(PF6)3⋅n H2O. Chem.-A Eur. J. 2005, 11, 5721–5734. [Google Scholar] [CrossRef]
  44. Gaspar, A.B.; Ksenofontov, V.; Reiman, S.; Gütlich, P.; Thompson, A.L.; Goeta, A.E.; Muñoz, M.C.; Real, J.A. Mössbauer Investigation of the Photoexcited Spin States and Crystal Structure Analysis of the Spin-Crossover Dinuclear Complex [{Fe(bt)(NCS)2}2bpym] (bt=2,2′-Bithiazoline, bpym=2,2′-Bipyrimidine). Chem.-A Eur. J. 2006, 12, 9289–9298. [Google Scholar] [CrossRef]
  45. Verat, A.Y.; Ould-Moussa, N.; Jeanneau, E.; Le Guennic, B.; Bousseksou, A.; Borshch, S.A.; Matouzenko, G.S. Ligand Strain and the Nature of Spin Crossover in Binuclear Complexes: Two-Step Spin Crossover in a 4,4′-Bipyridine-Bridged Iron(II) Complex [{Fe(dpia)(NCS) 2} 2 (4,4′-bpy)] (dpia=di(2-picolyl)amine; 4,4′-bpy=4,4′-bipyridine). Chem.-A Eur. J. 2009, 15, 10070–10082. [Google Scholar] [CrossRef] [PubMed]
  46. Matouzenko, G.S.; Jeanneau, E.; Verat, A.Y.; Bousseksou, A. Spin crossover and polymorphism in a family of 1,2-bis(4-pyridyl)ethene-bridged binuclear iron(ii) complexes. A key role of structural distortions. Dalt. Trans. 2011, 40, 9608. [Google Scholar] [CrossRef]
  47. Matouzenko, G.S.; Jeanneau, E.; Verat, A.Y.; de Gaetano, Y. The Nature of Spin Crossover and Coordination Core Distortion in a Family of Binuclear Iron(II) Complexes with Bipyridyl-Like Bridging Ligands. Eur. J. Inorg. Chem. 2012, 2012, 969–977. [Google Scholar] [CrossRef]
  48. De Gaetano, Y.; Jeanneau, E.; Verat, A.Y.; Rechignat, L.; Bousseksou, A.; Matouzenko, G.S. Ligand-Induced Distortions and Magneto-Structural Correlations in a Family of Dinuclear Spin Crossover Compounds with Bipyridyl-Like Bridging Ligands. Eur. J. Inorg. Chem. 2013, 2013, 1015–1023. [Google Scholar] [CrossRef]
  49. Schneider, C.J.; Cashion, J.D.; Chilton, N.F.; Etrillard, C.; Fuentealba, M.; Howard, J.A.K.; Létard, J.-F.; Milsmann, C.; Moubaraki, B.; Sparkes, H.A.; et al. Spin Crossover in a 3,5-Bis(2-pyridyl)-1,2,4-triazolate-Bridged Dinuclear Iron(II) Complex [{Fe(NCBH 3)(py)} 2 (μ-L 1) 2]-Powder versus Single Crystal Study. Eur. J. Inorg. Chem. 2013, 2013, 850–864. [Google Scholar] [CrossRef]
  50. Singh, S.; Brooker, S. Extension of Azine-Triazole Synthesis to Azole-Triazoles Reduces Ligand Field, Leading to Spin Crossover in Tris-L Fe(II). Inorg. Chem. 2020, 59, 1265–1273. [Google Scholar] [CrossRef] [PubMed]
  51. Chernyshov, D.; Hostettler, M.; Törnroos, K.W.; Bürgi, H.-B. Ordering Phenomena and Phase Transitions in a Spin-Crossover Compound—Uncovering the Nature of the Intermediate Phase of[Fe(2-pic)3]Cl2⋅EtOH. Angew. Chemie Int. Ed. 2003, 42, 3825–3830. [Google Scholar] [CrossRef] [PubMed]
  52. Yamada, M.; Ooidemizu, M.; Ikuta, Y.; Osa, S.; Matsumoto, N.; Iijima, S.; Kojima, M.; Dahan, F.; Tuchagues, J.-P. Interlayer Interaction of Two-Dimensional Layered Spin Crossover Complexes [Fe II H 3 L Me][Fe II L Me]X (X = ClO4, BF4, PF6, AsF6, and SbF6; H3LMe = Tris[2-(((2-methylimidazol-4-yl)methylidene)amino)ethyl]amine). Inorg. Chem. 2003, 42, 8406–8416. [Google Scholar] [CrossRef]
  53. Yamada, M.; Hagiwara, H.; Torigoe, H.; Matsumoto, N.; Kojima, M.; Dahan, F.; Tuchagues, J.P.; Re, N.; Iijima, S. A variety of spin-crossover behaviors depending on the counter anion: Two-dimensional complexes constructed by NH⋯Cl- hydrogen bonds, [FeIIH3LMe]Cl·X (X = PF6-, AsF6-, SbF6-, CF3SO3-; H3LMe = tris[2-{[(2methylimidazol-4-yl)methylidene]amino}ethyl]amine). Chem.-A Eur. J. 2006, 12, 4536–4549. [Google Scholar] [CrossRef]
  54. Sheu, C.-F.; Pillet, S.; Lin, Y.-C.; Chen, S.-M.; Hsu, I.-J.; Lecomte, C.; Wang, Y. Magnetostructural Relationship in the Spin-Crossover Complex t-{Fe(abpt) 2 [N(CN) 2 ] 2 }: Polymorphism and Disorder Phenomenon. Inorg. Chem. 2008, 47, 10866–10874. [Google Scholar] [CrossRef] [PubMed]
  55. Li, B.; Wei, R.-J.; Tao, J.; Huang, R.-B.; Zheng, L.-S.; Zheng, Z. Solvent-Induced Transformation of Single Crystals of a Spin-Crossover (SCO) Compound to Single Crystals with Two Distinct SCO Centers. J. Am. Chem. Soc. 2010, 132, 1558–1566. [Google Scholar] [CrossRef]
  56. Luan, J.; Zhou, J.; Liu, Z.; Zhu, B.; Wang, H.; Bao, X.; Liu, W.; Tong, M.L.; Peng, G.; Peng, H.; et al. Polymorphism-dependent spin-crossover: Hysteretic two-step spin transition with an ordered [HS-HS-LS] intermediate phase. Inorg. Chem. 2015, 54, 5145–5147. [Google Scholar] [CrossRef]

Article Metrics

Citations

Article Access Statistics

Multiple requests from the same IP address are counted as one view.