Origin of Structural Change Driven by A-Site Lanthanide Doping in ABO3-Type Perovskite Ferroelectrics
Abstract
1. Introduction
2. Materials and Methods
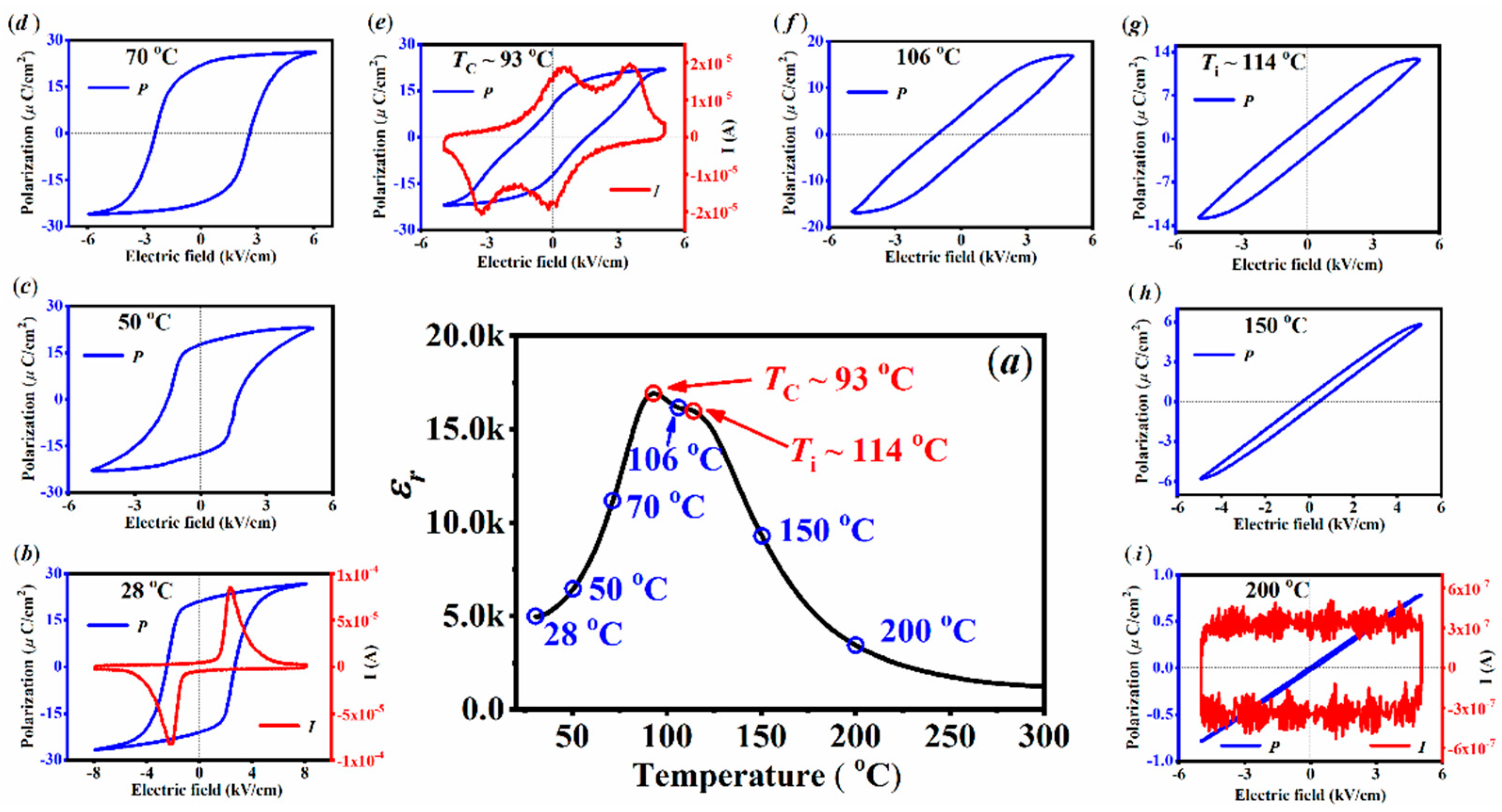
3. Results
4. Discussion
5. Conclusions
Supplementary Materials
Author Contributions
Funding
Conflicts of Interest
References
- Zhang, S.; Rehrig, P.W.; Randall, C.; Shrout, T.R. Crystal growth and electrical properties of Pb(Yb1/2Nb1/2)O3-PbTiO3 perovskite single crystals. J. Cryst. Growth 2002, 234, 415–420. [Google Scholar] [CrossRef]
- Zhang, S.; Lebrun, L.; Jeong, D.Y.; Randall, C.A.; Zhang, Q.; Shrout, T.R. Growth and characterization of Fe-doped Pb(Zn1/3Nb2/3)O3-PbTiO3 single crystals. J. Appl. Phys. 2003, 93, 9257–9262. [Google Scholar] [CrossRef]
- Li, F.; Zhang, S.; Lin, D.; Luo, J.; Xu, Z.; Wei, X.; Shrout, T.R. Electromechanical properties of Pb(In1/2Nb1/2)O3-Pb(Mg1/3Nb2/3) O3-PbTiO3 single crystals. J. Appl. Phys. 2011, 109, 014108. [Google Scholar] [CrossRef] [PubMed]
- Zhang, S.; Li, F. High performance ferroelectric relaxor-PbTiO3 single crystals: Status and perspective. J. Appl. Phys. 2012, 111, 2. [Google Scholar] [CrossRef]
- Song, K.; Li, Z.; Guo, H.; Xu, Z.; Fan, S. Compositional segregation and electrical properties characterization of [001]- and [011]-oriented co-growth Pb(In1/2Nb1/2)O3-Pb(Mg1/3Nb2/3)O3-PbTiO3 single crystal. J. Appl. Phys. 2018, 123, 154107. [Google Scholar] [CrossRef]
- Schader, F.H.; Rossetti, G.A., Jr.; Luo, J.; Webber, K.G. Piezoelectric and ferroelectric properties of <001>C Pb(In1/2Nb1/2)O3-Pb(Mg1/3Nb2/3)O3-PbTiO3 single crystals under combined thermal and mechanical loading. Acta Mater. 2017, 126, 174–181. [Google Scholar] [CrossRef]
- Wang, Z.; He, C.; Li, X.; Liu, Y.; Long, X.; Han, S.; Pan, S. Scandium modified lead magnesium niobate-lead titanate single crystals for high temperature and high power applications. Mater. Lett. 2016, 184, 162–165. [Google Scholar]
- Li, X.; Wang, Z.; Liu, Y.; He, C.; Long, X. A new ternary ferroelectric crystal of Pb(Y1/2Nb1/2)O3–Pb(Mg1/3Nb2/3)O3–PbTiO3. CrystEngComm 2014, 16, 7552–7557. [Google Scholar] [CrossRef]
- Shirane, G.; Pepinsky, R. X-ray and neutron diffraction study of ferroelectric PbTiO3. Acta Cryst. 1956, 9, 131–140. [Google Scholar] [CrossRef]
- Liu, Q.J.; Zhang, N.C.; Liu, F.S.; Wang, H.Y.; Liu, Z.T. BaTiO3: Energy, geometrical and electronic structure, relationship between optical constant and density from first-priciples calculations. Opt. Mater. 2013, 35, 2629–2637. [Google Scholar] [CrossRef]
- Goldschmidt, V.M. Die Gesetze der Krystallochemie. Naturwissenschaften 1926, 14, 477–485. [Google Scholar] [CrossRef]
- Rödel, J.; Jo, W.; Seifert, K.T.P.; Anton, E.M.; Granzow, T.; Damjanovic, D. Perspective on the development of lead-free piezoceramics. J. Am. Ceram. Soc. 2009, 92, 1153–1177. [Google Scholar] [CrossRef]
- Suchomel, M.R.; Davies, P.K. Predicting the position of the morphotropic phase boundary in high temperature PbTiO3-Bi(B′B″)O3 based dielectric ceramics. J. Appl. Phys. 2004, 96, 4405–4410. [Google Scholar] [CrossRef]
- Park, S.-E.; Shrout, T.R. Ultrahigh strain and piezoelectric behavior in relaxor based ferroelectric single crystals. J. Appl. Phys. 1997, 82, 1804–1811. [Google Scholar] [CrossRef]
- Li, X.; Wang, Z.; He, C.; Liu, Y.; Long, X.; Han, S.; Pan, S. High piezoelectric response of a new ternary ferroelectric Pb(Ho1/2Nb1/2)O3-Pb(Mg1/3Nb2/3)O3- PbTiO3 single crystal. Mater. Lett. 2015, 143, 88–90. [Google Scholar] [CrossRef]
- He, C.; Li, X.; Wang, Z.; Liu, Y.; Shen, D.; Li, T.; Long, X. Compositional dependence of properties of Pb(Yb1/2Nb1/2)O3-Pb(Mg1/3Nb2/3)O3-PbTiO3 ternary ferroelectric crystals. CrystEngComm 2012, 14, 4513–4519. [Google Scholar] [CrossRef]
- Liu, Y.; He, C.; Yang, X.; Li, X.; Wang, Z.; Huang, Z.; Lai, F.; Long, X. Growth and characterization of Pb(Lu1/2Nb1/2)O3-Pb(Mg1/3Nb2/3)O3-PbTiO3 ternary piezo-/ferroelectric crystals. J. Alloy. Compd. 2016, 675, 8–14. [Google Scholar] [CrossRef]
- Liang, Z.; Sun, E.; Liu, Z.; Zhang, Z.; Zeng, J.; Ruan, W.; Li, G.; Cao, W. Electric field induced upconversion fluorescence enhancement and its mechanism in Er3+ doped 0.75Pb(Mg1/3Nb2/3)O3-0.25PbTiO3 transparent ceramic. Appl. Phys. Lett. 2016, 109, 132904. [Google Scholar] [CrossRef]
- Li, F.; Lin, D.; Chen, Z.; Cheng, Z.; Wang, J.; Li, C.; Xu, Z.; Huang, Q.; Liao, X.; Chen, L.Q.; et al. Ultrahigh piezoelectricity in ferroelectric ceramics by design. Nat. Mater. 2018, 17, 349–354. [Google Scholar] [CrossRef]
- Ji, W.; He, X.; Cheng, W.; Qiu, P.; Zeng, X.; Xia, B.; Wang, D. Effect of La content on dielectric, ferroelectric and electro-optic properties of Pb(Mg1/3Nb2/3)O3-PbTiO3 transparent ceramics. Ceram. Int. 2015, 41, 1950–1956. [Google Scholar] [CrossRef]
- Larson, A.C.; Von Dreele, R.B. General Structure Analysis System (GSAS), Los Alamos National Laboratory Report LAUR 86-748; Los Almos National Laboratory: Los Almos, NM, USA, 2004. [Google Scholar]
- Shannon, R.D. Revised effective ionic radii and systematic studies of interatomic distances in halides and chalcogenides. Acta Cryst. 1976, A32, 751–767. [Google Scholar] [CrossRef]
- Sayouri, S.; Kellati, M.; Taibi, M.; Moudden, N.E.; Tlemçani, M.; Ghazouali, A.E.; Kaal, A. Diffuse phase transition and relaxor behavior in (Pb,La)TiO3 ceramics. Phys. Stat. Sol. A 2004, 201, 3001–3009. [Google Scholar] [CrossRef]
- Kim, T.Y.; Jang, H.M.; Cho, S.M. Effects of La doping on the cubic-tetragonal phase transition and short-range ordering in PbTiO3. J. Appl. Phys. 2002, 91, 336–343. [Google Scholar] [CrossRef]
- Kalyani, A.K.; Garg, R.; Ranjan, R. Tendency to promote ferroelectric distortion in Pr-modified PbTiO3. Appl. Phys. Lett. 2009, 95, 222904. [Google Scholar] [CrossRef]
- Bouwma, J.; Heilbron, M.A. Non-stoichiometry and optical spectra of Nd(III) substituted PbTiO3. Mater. Res. Bull. 1976, 11, 663–668. [Google Scholar] [CrossRef]
- Xue, W.R.; Schulze, W.A.; Newnham, R.E. Effects of Sm2O3 and Gd2O3 + Nd2O3 on electromechanical properties of PbTiO3 ceramics. J. Am. Ceram. Soc. 1990, 73, 1783–1784. [Google Scholar] [CrossRef]
- Kchikech, M.; Maglione, M. Electronic and lattice excitations in BaTiO3: La. J. Phys. Condens. Matter 1994, 6, 10159–10170. [Google Scholar] [CrossRef]
- Yao, Z.; Liu, H.; Liu, Y.; Wu, Z.; Shen, Z.; Liu, Y.; Cao, M. Structure and dielectric behavior of Nd-doped BaTiO3 perovskites. Mater. Chem. Phys. 2008, 109, 475–481. [Google Scholar] [CrossRef]
- Park, I.J.; Han, Y.H. Effects of synthesized method on the properties of Sm-doped BaTiO3. Met. Mater. Int. 2014, 20, 1157–1161. [Google Scholar] [CrossRef]
- Ganguly, M.; Rout, S.K.; Woo, W.S.; Ahn, C.W.; Kim, I.W. Characterization of A-site deficient samarium doped barium titanate. Physica B 2013, 411, 26–34. [Google Scholar] [CrossRef]
- Petrović, M.M.V.; Grigalaitis, R.; Ilic, N.; Bobić, J.D.; Dzunuzovic, A.; Banys, J.; Stojanović, B.D. Interdependence between structure and electrical characteristics in Sm-doped barium titanate. J. Alloy. Compd. 2017, 724, 959–968. [Google Scholar] [CrossRef]
- Hwang, J.H.; Han, Y.H. Electrical properties of cerium-doped BaTiO3. J. Am. Ceram. Soc. 2001, 84, 1750–1754. [Google Scholar] [CrossRef]
- Xie, S.; Bai, Y.; Han, F.; Qin, S.; Li, J.; Qiao, L.; Guo, D. Distinct effects of Ce doping in A or B sites on the electrocaloric effect of BaTiO3 ceramics. J. Alloy. Compd. 2017, 724, 163–168. [Google Scholar] [CrossRef]
- Zhang, Y.; Sun, X.; Lu, D. Effects of cerium doping at Ti sites and europium doping at Ba sites on dielectric properties of BaTiO3 ceramics. Chem. Res. Chinese Univ. 2006, 22, 515–519. [Google Scholar] [CrossRef]
- Lu, D.Y.; Koda, T.; Suzuki, H.; Toda, M. Structure and dielectric properties of Eu-doped barium titanate ceramics. J. Ceram. Soc. Jpn. 2005, 113, 721–727. [Google Scholar] [CrossRef][Green Version]
- Sitko, D.; Garbarz-Glos, B.; Piekarczyk, W.; Śmiga, W.; Antonova, M. The effects of the additive of Eu ions on elastic and electric properties of BaTiO3 ceramics. Integr. Ferroelectr. 2016, 173, 31–37. [Google Scholar] [CrossRef]
- Mizuno, Y.; Kishi, H.; Ohnuma, K.; Ishikawa, T.; Ohsato, H. Effect of site occupancies of rare earth ions on electrical properties in Ni-MLCC based on BaTiO3. J. Eur. Ceram. Soc. 2007, 27, 4017–4020. [Google Scholar] [CrossRef]
- Ben, L.; Sinclair, D.C. Anomalous Curie temperature behavior of A-site Gd-doped BaTiO3 ceramics: The influence of strain. Appl. Phys. Lett. 2011, 98, 092907. [Google Scholar] [CrossRef]
- Buscaglia, M.T.; Buscaglia, V.; Viviani, M.; Nanni, P.; Hanuskova, M. Influence of foreign ions on the crystal structure of BaTiO3. J. Eur. Ceram. Soc. 2000, 20, 1997–2007. [Google Scholar] [CrossRef]
- Lee, E.J.; Jeong, J.; Han, Y.H. Electrical Properties of Dy2O3-doped BaTiO3. Jpn. J. Appl. Phys. 2004, 43, 8126–8129. [Google Scholar] [CrossRef]
- Lu, D.Y.; Cui, S.Z. Defects characterization of Dy-doped BaTiO3 ceramics via electron paramagnetic resonance. J. Eur. Ceram. Soc. 2014, 34, 2217–2227. [Google Scholar] [CrossRef]
- Paunović, V.; Mitić, V.V.; Miljković, M.; Pavlović, V.; Živković, L. Ho2O3 additive effects on BaTiO3 ceramics microstructure and dielectric properties. Sci. Sinter. 2012, 44, 223–233. [Google Scholar] [CrossRef]
- Jeong, J.; Lee, E.J.; Han, Y.H. Effects of Ho2O3 addition on defects of BaTiO3. Mater. Chem. Phys. 2006, 100, 434–437. [Google Scholar] [CrossRef]
- Lu, D.Y.; Gao, X.L.; Wang, S. Abnormal Curie-temperature shift in Ho-doped BaTiO3 ceramics with the self-compensation mode. Results Phys. 2019, 12, 585–591. [Google Scholar] [CrossRef]
- Hwang, J.H.; Han, Y.H. Dielectric properties of erbium doped barium titanate. Jpn. J. Appl. Phys. 2001, 40, 676–679. [Google Scholar] [CrossRef]
- Song, Y.H.; Han, Y.H. Effects of rare-earth oxides on temperature stability of acceptor-doped BaTiO3. Jpn. J. Appl. Phys. 2005, 44, 6143–6147. [Google Scholar] [CrossRef]
- Ganguly, M.; Rout, S.K.; Ahn, C.W.; Kim, I.W.; Kar, M. Structural, electrical and optical properties of Ba(Ti1-xYb4x/3)O3 ceramics. Ceram. Int. 2013, 39, 9511–9524. [Google Scholar] [CrossRef]
- Hahn, D.W.; Han, Y.H. Electrical Properties of Yb-Doped BaTiO3. Jpn. J. Appl. Phys. 2009, 48, 111406. [Google Scholar] [CrossRef]
- Molokhia, N.M.; Issa, M.A.A.; Nasser, S.A. Dielectric and X-Ray diffraction studies of barium titanate doped with ytterbium. J. Am. Ceram. Soc. 1984, 67, 289–291. [Google Scholar] [CrossRef]
- Yakovlev, S.; Solterbeck, C.H.; Skou, E.; Es-Souni, M. Structural and dielectric properties of Er substituted sol-gel fabricated PbTiO3 thin films. Appl. Phys. A 2006, 82, 727–731. [Google Scholar] [CrossRef]
- Peláiz-Barranco, A.; Méndez-González, Y.; Arnold, D.C.; Saint-Grégoire, P.; Keeble, D.J. Incorporation of lanthanide ions in lead titanate. J. Mater. Sci. 2012, 47, 1094–1099. [Google Scholar] [CrossRef]
- Ganguly, M.; Rout, S.K.; Sinha, T.P.; Sharma, S.K.; Park, H.Y.; Ahn, C.W.; Kim, I.W. Characterization and Rietveld refinement of A-site deficient lanthanum doped barium titanate. J. Alloy. Compd. 2013, 579, 473–484. [Google Scholar] [CrossRef]
- Cohen, R.E. Origin of ferroelectricity in perovskite oxides. Nature 1992, 358, 136–138. [Google Scholar] [CrossRef]
- Culberson, J.C.; Knappe, P.; Rӧsch, N.; Zerner, M.C. An intermediate neglect of differential overlao (INDO) technique for lanthanide complexes: Studies on lanthanide halides. Theor. Chim. Acta 1987, 71, 21–39. [Google Scholar] [CrossRef]
- Lide, D.R. CRC Handbook of Chemistry and Physics; CRC Press: Boca Raton, FL, USA, 2002; pp. 9–51. [Google Scholar]
- Warren, W.L.; Dimos, D.; Tuttle, B.A.; Pike, G.E.; Schwartz, R.W.; Clews, P.J.; Mclntyre, D.C. Polarization suppression in Pb(Zr,Ti)O3 thin films. J. Appl. Phys. 1995, 77, 6695–6702. [Google Scholar] [CrossRef]
- Tagantsev, A.K.; Stolichnov, I.; Colla, E.L.; Setter, N. Polarization fatigue in ferroelectric films: Basic experimental findings, phenomenological scenarios, and microscopic features. J. Appl. Phys. 2001, 90, 1387–1402. [Google Scholar] [CrossRef]
- Schenk, T.; Yurchuk, E.; Mueller, S.; Schroeder, U.; Starschich, S.; Bӧttger, U.; Mikolajick, T. About the deformation of ferroelectric hysteresis. Appl. Phys. Rev. 2014, 1, 041103. [Google Scholar] [CrossRef]
- Slodczyk, A.; Daniel, P.; Kania, A. Local phenomena of (1-x)PbMg1/3Nb2/3O3-xPbTiO3 single crystals (0≤x≤0.38) studied by Raman scattering. Phys. Rev. B 2008, 77, 184114. [Google Scholar] [CrossRef]
- Welsch, A.M.; Maier, B.J.; Mihailova, B.; Angel, R.J.; Zhao, J.; Paulmann, C.; Engel, J.M.; Gospodinov, M.; Marinova, V.; Bismayer, U. Transformation processes in relaxor ferroelectric PbSc0.5Ta0.5O3 heavily doped with Nb and Sn. Z. Krist. Cryst. Mater. 2011, 226, 126–137. [Google Scholar] [CrossRef]
- Deluca, M.; Fukumura, H.; Tonari, N.; Capiani, C.; Hasuike, N.; Kisoda, K.; Galassi, C.; Harima, H. Raman spectroscopic study of phase transitions in undoped morphotropic PbZr1-xTiO3. J. Raman Spectrosc. 2011, 42, 488–495. [Google Scholar] [CrossRef]
- Husson, E.; Abello, L.; Morell, A. Short-range order in PbMg1/3Nb2/3O3 ceramics by Raman spectroscopy. Mater. Res. Bull. 1990, 25, 539–545. [Google Scholar] [CrossRef]
- Igarashi, K.; Koumoto, K.; Yanagida, H. Ferroelectric Curie points at perovskite-type oxides. J. Mater. Sci. 1987, 22, 2828–2832. [Google Scholar] [CrossRef]
- Sinclair, D.C.; Attfiled, J.P. The influence of A-cation disorder on the Curie temperature of ferroelectric ATiO3 perovskites. Chem. Commun. 1999, 16, 1497–1498. [Google Scholar] [CrossRef]
- Attfield, J.P. Structure–property relations in doped perovskite oxides. Inter. J. Inorg. Mater. 2001, 3, 1147–1152. [Google Scholar] [CrossRef]







© 2020 by the authors. Licensee MDPI, Basel, Switzerland. This article is an open access article distributed under the terms and conditions of the Creative Commons Attribution (CC BY) license (http://creativecommons.org/licenses/by/4.0/).
Share and Cite
Xu, L.; Wang, Z.; Su, B.; Wang, C.; Yang, X.; Su, R.; Long, X.; He, C. Origin of Structural Change Driven by A-Site Lanthanide Doping in ABO3-Type Perovskite Ferroelectrics. Crystals 2020, 10, 434. https://doi.org/10.3390/cryst10060434
Xu L, Wang Z, Su B, Wang C, Yang X, Su R, Long X, He C. Origin of Structural Change Driven by A-Site Lanthanide Doping in ABO3-Type Perovskite Ferroelectrics. Crystals. 2020; 10(6):434. https://doi.org/10.3390/cryst10060434
Chicago/Turabian StyleXu, Lan, Zujian Wang, Bin Su, Chenxi Wang, Xiaoming Yang, Rongbing Su, Xifa Long, and Chao He. 2020. "Origin of Structural Change Driven by A-Site Lanthanide Doping in ABO3-Type Perovskite Ferroelectrics" Crystals 10, no. 6: 434. https://doi.org/10.3390/cryst10060434
APA StyleXu, L., Wang, Z., Su, B., Wang, C., Yang, X., Su, R., Long, X., & He, C. (2020). Origin of Structural Change Driven by A-Site Lanthanide Doping in ABO3-Type Perovskite Ferroelectrics. Crystals, 10(6), 434. https://doi.org/10.3390/cryst10060434

