Two- and Three-Dimensional Superconducting Phases in the Weyl Semimetal TaP at Ambient Pressure
Abstract
1. Introduction
2. Results
3. Discussion
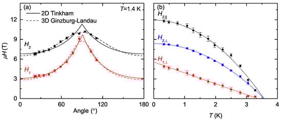
3.1. Dimensionality of the Superconducting Phases
3.2. Critical Currents
3.3. BCS–BEC Crossover Regime
4. Conclusions
5. Materials and Methods
5.1. Sample Preparation
5.2. Resistivity Measurements
5.3. Energy-Dispersive X-ray Analysis (EDX)
5.4. X-ray Diffraction (XRD)
Supplementary Materials
Author Contributions
Funding
Acknowledgments
Conflicts of Interest
References
- Deng, K.; Wan, G.; Deng, P.; Zhang, K.; Ding, S.; Wang, E.; Yan, M.; Huang, H.; Zhang, H.; Xu, Z.; et al. Experimental observation of topological Fermi arcs in type-II Weyl semimetal MoTe2. Nat. Phys. 2016, 12, 1105–1110. [Google Scholar] [CrossRef]
- Lv, B.Q.; Weng, H.M.; Fu, B.B.; Wang, X.P.; Miao, H.; Ma, J.; Richard, P.; Huang, X.C.; Zhao, L.X.; Chen, G.F.; et al. Discovery of Weyl semimetal TaAs. Phys. Rev. X 2015, 5, 031013. [Google Scholar] [CrossRef]
- Xu, S.Y.; Alidoust, N.; Belopolski, I.; Yuan, Z.; Bian, G.; Chang, T.R.; Zheng, H.; Strocov, V.N.; Sanchez, D.S.; Chang, G.; et al. Discovery of a Weyl fermion state with Fermi arcs in niobium arsenide. Nat. Phys. 2015, 11, 748–754. [Google Scholar] [CrossRef]
- Xu, S.Y.; Belopolski, I.; Alidoust, N.; Neupane, M.; Bian, G.; Zhang, C.; Sankar, R.; Chang, G.; Yuan, Z.; Lee, C.C.; et al. Discovery of a Weyl fermion semimetal and topological Fermi arcs. Science 2015, 349, 613–617. [Google Scholar] [CrossRef]
- Xu, D.F.; Du, Y.P.; Wang, Z.; Li, Y.P.; Niu, X.H.; Yao, Q.; Dudin, P.; Xu, Z.A.; Wan, X.G.; Feng, D.L. Observation of Fermi Arcs in non-Centrosymmetric Weyl Semi-metal Candidate NbP. Chin. Phys. Lett. 2015, 32, 107101. [Google Scholar] [CrossRef]
- Souma, S.; Wang, Z.; Kotaka, H.; Sato, T.; Nakayama, K.; Tanaka, Y.; Kimizuka, H.; Takahashi, T.; Yamauchi, K.; Oguchi, T.; et al. Direct Observation of Nonequivalent Fermi-Arc States of Opposite Surfaces in Noncentrosymmetric Weyl Semimetal NbP. Phys. Rev. B 2016, 93, 161112(R). [Google Scholar] [CrossRef]
- Min, C.H.; Bentmann, H.; Neu, J.N.; Eck, P.; Moser, S.; Figgemeier, T.; Ünzelmann, M.; Kissner, K.; Lutz, P.; Koch, R.J.; et al. Orbital Fingerprint of Topological Fermi Arcs in the Weyl Semimetal TaP. Phys. Rev. Lett. 2019, 122, 116402. [Google Scholar] [CrossRef] [PubMed]
- Niemann, A.C.; Gooth, J.; Wu, S.C.; Bäßler, S.; Sergelius, P.; Hühne, R.; Rellinghaus, B.; Shekhar, C.; Süß, V.; Schmidt, M.; et al. Chiral magnetoresistance in the Weyl semimetal NbP. Sci. Rep. 2017, 7, 43394. [Google Scholar] [CrossRef]
- Huang, X.; Zhao, L.; Long, Y.; Wang, P.; Chen, D.; Yang, Z.; Liang, H.; Xue, M.; Weng, H.; Fang, Z.; et al. Observation of the chiral anomaly induced negative magneto-resistance in 3D Weyl semi-metal TaAs. Phys. Rev. X 2015, 5, 031023. [Google Scholar] [CrossRef]
- Zhang, C.; Xu, S.Y.; Belopolski, I.; Yuan, Z.; Lin, Z.; Tong, B.; Bian, G.; Alidoust, N.; Lee, C.C.; Huang, S.M.; et al. Signatures of the Adler-Bell-Jackiw chiral anomaly in a Weyl Fermion semimetal. Nat. Commun. 2016, 7, 10735. [Google Scholar] [CrossRef]
- Wang, J.; Wang, H.; Li, C.K.; Liu, H.; Yan, J.; Wang, J.; Liu, J.; Lin, Z.; Li, Y.; Wang, Y.; et al. Chiral anomaly and ultrahigh mobility in crystalline HfTe5. Phys. Rev. B 2016, 93, 165127. [Google Scholar] [CrossRef]
- Wang, J.; Li, H.; Chang, C.; He, K.; Lee, J.S.; Lu, H.; Sun, Y.; Ma, X.; Samarth, N.; Shen, S.; et al. Anomalous anisotropic magnetoresistance in topological insulator films. Nano Res. 2012, 5, 739–746. [Google Scholar] [CrossRef]
- Dos Reis, R.D.; Ajeesh, M.O.; Kumar, N.; Arnold, F.; Shekhar, C.; Naumann, M.; Schmidt, M.; Nicklas, M.; Hassinger, E. On the search for the chiral anomaly in Weyl semimetals: The negative longitudinal magnetoresistance. New J. Phys. 2016, 18, 085006. [Google Scholar] [CrossRef]
- Li, Y.; Wang, Z.; Li, P.; Yang, X.; Shen, Z.; Sheng, F.; Li, X.; Lu, Y.; Zheng, Y.; Xu, Z.A. Negative magnetoresistance in Weyl semimetals NbAs and NbP: Intrinsic chiral anomaly and extrinsic effects. Front. Phys. 2017, 12, 127205. [Google Scholar] [CrossRef]
- Naumann, M.; Arnold, F.; Bachmann, M.D.; Modic, K.A.; Moll, P.J.W.; Süß, V.; Schmidt, M.; Hassinger, E. Orbital effect and weak localization physics in the longitudinal magnetoresistance of the Weyl semimetals NbP, NbAs, TaP and TaAs. Phys. Rev. Mater. 2020, 4, 034201. [Google Scholar] [CrossRef]
- Chen, A.; Franz, M. Superconducting proximity effect and Majorana flat bands at the surface of a Weyl semimetal. Phys. Rev. B 2016, 93, 201105. [Google Scholar] [CrossRef]
- Lu, B.; Yada, K.; Sato, M.; Tanaka, Y. Crossed surface flat bands of weyl semimetal superconductors. Phys. Rev. Lett. 2015, 114, 096804. [Google Scholar] [CrossRef]
- Khanna, U.; Kundu, A.; Pradhan, S.; Rao, S. Proximity-induced superconductivity in Weyl semimetals. Phys. Rev. B 2014, 90, 195430. [Google Scholar] [CrossRef]
- Li, Y.; Gu, Q.; Chen, C.; Zhang, J.; Liu, Q.; Hu, X.; Liu, J.; Liu, Y.; Ling, L.; Tian, M.; et al. Nontrivial superconductivity in topological MoTe2−xSx crystals. Proc. Natl. Acad. Sci. USA 2018, 115, 9503–9508. [Google Scholar] [CrossRef]
- Xing, Y.; Shao, Z.; Ge, J.; Wang, J.; Zhu, Z.; Liu, J.; Wang, Y.; Zhao, Z.; Yan, J.; Mandrus, D.; et al. Surface Superconductivity in the type II Weyl Semimetal TaIrTe4. Natl. Sci. Rev. 2019. [Google Scholar] [CrossRef]
- Xu, S.Y.; Belopolski, I.; Sanchez, D.S.; Guo, C.; Chang, G.; Zhang, C.; Bian, G.; Yuan, Z.; Lu, H.; Feng, Y.; et al. Experimental discovery of a topological Weyl semimetal state in TaP. Sci. Adv. 2015, 1, e1501092. [Google Scholar] [CrossRef] [PubMed]
- Huang, S.M.; Xu, S.Y.; Belopolski, I.; Lee, C.C.; Chang, G.; Wang, B.; Alidoust, N.; Bian, G.; Neupane, M.; Zhang, C.; et al. A Weyl Fermion semimetal with surface Fermi arcs in the transition metal monopnictide TaAs class. Nat. Commun. 2015, 6, 7373. [Google Scholar] [CrossRef] [PubMed]
- Shekhar, C.; Nayak, A.K.; Sun, Y.; Schmidt, M.; Nicklas, M.; Leermakers, I.; Zeitler, U.; Skourski, Y.; Wosnitza, J.; Liu, Z.; et al. Extremely large magnetoresistance and ultrahigh mobility in the topological Weyl semimetal candidate NbP. Nat. Phys. 2015, 11, 645–649. [Google Scholar] [CrossRef]
- Aggarwal, L.; Gayen, S.; Das, S.; Kumar, R.; Süß, V.; Shekhar, C.; Felser, C.; Sheet, G. Mesoscopic superconductivity and high spin polarization coexisting at metallic point contacts on the Weyl semimetal TaAs. Nat. Commun. 2017, 8, 13974. [Google Scholar] [CrossRef] [PubMed]
- Wang, H.; Wang, H.; Chen, Y.; Luo, J.; Yuan, Z.; Liu, J.; Wang, Y.; Jia, S.; Liu, X.-J.; Wei, J.; et al. Discovery of tip induced unconventional superconductivity on Weyl semimetal. Sci. Bull. 2017, 62, 425–430. [Google Scholar] [CrossRef]
- Wang, H.; He, Y.; Liu, Y.; Yuan, Z.; Jia, S.; Ma, L.; Liu, X.-J.; Wang, J. Ferromagnetic tip induced unconventional superconductivity in Weyl semimetal. Sci. Bull. 2020, 65, 21–26. [Google Scholar] [CrossRef]
- Luo, J.; Li, Y.; Li, J.; Hashimoto, T.; Kawakami, T.; Lu, H.; Jia, S.; Sato, M.; Wang, J. Surface superconductivity on Weyl semimetal induced by nonmagnetic and ferromagnetic tips. Phys. Rev. Mater. 2019, 3, 124201. [Google Scholar] [CrossRef]
- Li, Y.; Zhou, Y.; Guo, Z.; Chen, X.; Lu, P.; Wang, X.; An, C.; Zhou, Y.; Xing, J.; Du, G.; et al. Concurrence of superconductivity and structure transition in Weyl semimetal TaP under pressure. NPJ Quantum Mater. 2017, 2, 66. [Google Scholar] [CrossRef]
- Kumar, P.; Bhalothia, S.; Patnaik, S. Possible superconductivity in Weyl semimetal NbP. AIP Conf. Proc. 2016, 1731, 140063. [Google Scholar] [CrossRef]
- Baenitz, M.; Schmidt, M.; Suess, V.; Felser, C.; Lüders, K. Superconductivity in Weyl Semimetal NbP: Bulk vs. Surface. J. Phys. Conf. Ser. 2019, 1293, 012002. [Google Scholar] [CrossRef]
- Bachmann, M.D.; Nair, N.; Flicker, F.; Ilan, R.; Meng, T.; Ghimire, N.J.; Bauer, E.D.; Ronning, F.; Analytis, J.G.; Moll, P.J.W. Inducing superconductivity in Weyl semi-metal microstructures by selective ion sputtering. Sci. Adv. 2017, 3, e1602983. [Google Scholar] [CrossRef] [PubMed]
- Arnold, F.; Shekhar, C.; Wu, S.C.; Sun, Y.; dos Reis, R.D.; Kumar, N.; Naumann, M.; Ajeesh, M.O.; Schmidt, M.; Grushin, A.G.; et al. Negative magnetoresistance without well-defined chirality in the Weyl semimetal TaP. Nat. Commun. 2016, 7, 11615. [Google Scholar] [CrossRef] [PubMed]
- Besara, T.; Rhodes, D.A.; Chen, K.W.; Das, S.; Zhang, Q.R.; Sun, J.; Zeng, B.; Xin, Y.; Balicas, L.; Baumbach, R.E.; et al. Coexistence of Weyl Physics and Planar Defects in Semimetals TaP and TaAs. Phys. Rev. B 2016, 93, 245152. [Google Scholar] [CrossRef]
- Du, J.; Wang, H.; Mao, Q.; Khan, R.; Xu, B.; Zhou, Y.; Zhang, Y.; Yang, J.; Chen, B.; Feng, C.; et al. Unsaturated both large positive and negative magnetoresistance in Weyl Semimetal TaP. Sci. China 2016, 59, 657406. [Google Scholar] [CrossRef]
- Hu, J.; Liu, J.Y.; Graf, D.; Radmanesh, S.M.A.; Adams, D.J.; Chuang, A.; Wang, Y.; Chiorescu, I.; Wei, J.; Spinu, L.; et al. π Berry phase and Zeeman splitting of Weyl semimetal TaP. Sci. Rep. 2016, 6, 18674. [Google Scholar] [CrossRef]
- Willerström, J.O. Stacking disorder in NbP, TaP, NbAs and TaAs. J. Less-Common Met. 1984, 99, 273–283. [Google Scholar] [CrossRef]
- Xu, N.; Wang, Z.J.; Weber, A.P.; Magrez, A.; Bugnon, P.; Berger, H.; Matt, C.E.; Ma, J.Z.; Fu, B.B.; Lv, B.Q.; et al. Discovery of Weyl semimetal state violating Lorentz invariance in MoTe2. arXiv 2016, arXiv:1604.02116. [Google Scholar]
- Jaroszynski, J.; Hunte, F.; Balicas, L.; Jo, Y.; Raičević, I.; Gurevich, A.; Larbalestier, D.; Balakirev, F.; Fang, L.; Cheng, P.; et al. Upper critical fields and thermally-activated transport of NdFeAsO0.7F0.3 single crystal. Phys. Rev. B 2008, 78, 174523. [Google Scholar] [CrossRef]
- Santhanam, P.; Chi, C.C.; Wind, S.J.; Brady, M.J.; Bucchignano, J.J. Resistance anomaly near the superconducting transition temperature in short aluminum wires. Phys. Rev. Lett. 1991, 66, 2254. [Google Scholar] [CrossRef]
- Nordström, A.; Rapp, Ö. Resistance-peak anomaly in metallic glasses: Dependence on currents and contact arrangement. Phys. Rev. B 1992, 45, 12577. [Google Scholar] [CrossRef]
- Klimczuk, T.; Plackowski, T.; Sadowski, W.; Plebańczyk, M. A resistivity peak close to Tc in Nd2−xCexCuO4−y single crystals. Phys. C Supercond. 2003, 387, 203–207. [Google Scholar] [CrossRef]
- Wang, J.; Singh, M.; Tian, M.; Kumar, N.; Liu, B.; Shi, C.; Jain, J.K.; Samarth, N.; Mallouk, T.E.; Chan, M.H.W. Interplay between superconductivity and ferromagnetism in crystalline nanowires. Nat. Phys. 2010, 6, 389–394. [Google Scholar] [CrossRef]
- Vaglio, R.; Attanasio, C.; Maritato, L.; Ruosi, A. Explanation of the resistance-peak anomaly in nonhomogeneous superconductors. Phys. Rev. B 1993, 47, 15302. [Google Scholar] [CrossRef] [PubMed]
- Chi, Z.; Chen, X.; An, C.; Yang, L.; Zhao, J.; Feng, Z.; Zhou, Y.; Zhou, Y. Pressure-induced superconductivity in MoP. NPJ Quantum Mater. 2018, 3, 28. [Google Scholar] [CrossRef]
- Tinkham, M. Effect of fluxoid quantization on transition of superconducting films. Phys. Rev. 1963, 129, 2413. [Google Scholar] [CrossRef]
- Tinkham, M. Introduction to Superconductivity, 2nd ed.; McGraw-Hill, Inc.: New York, NY, USA, 1996. [Google Scholar]
- Yamafuji, K.; Kawashima, T.; Irie, F. On the angular dependence of the upper critical field in thin films. Phys. Lett. 1966, 20, 122–123. [Google Scholar] [CrossRef]
- Yamafuji, K.; Kusayanagi, E.; Irie, F. On the angular dependence of the surface superconducting critical field. Phys. Lett. 1966, 21, 11–13. [Google Scholar] [CrossRef]
- Zhang, H.M.; Sun, Y.; Li, W.; Peng, J.P.; Song, C.L.; Xing, Y.; Zhang, Q.; Guan, J.; Li, Z.; Zhao, Y.; et al. Detection of a superconducting phase in a two-atom layer of hexagonal Ga film grown on semiconducting GaN(0001). Phys. Rev. Lett. 2015, 114, 107003. [Google Scholar] [CrossRef]
- Xing, Y.; Zhao, K.; Shan, P.; Zheng, F.; Zhang, Y.; Fu, H.; Liu, Y.; Tian, M.; Xi, C.; Liu, H.; et al. Ising Superconductivity and Quantum Phase Transition in Macro-Size Monolayer NbSe2. Nano Lett. 2017, 17, 6802–6807. [Google Scholar] [CrossRef]
- Lu, J.M.; Zheliuk, O.; Leermakers, I.; Yuan, N.F.Q.; Zeitler, U.; Law, K.T.; Ye, J.T. Evidence for two-dimensional Ising superconductivity in gated MoS2. Science 2015, 350, 1353–1357. [Google Scholar] [CrossRef]
- Ziegler, J.F.; Ziegler, M.D.; Biersack, J.P. SRIM—The stopping and range of ions in matter (2010). Nucl. Instrum. Methods Phys. Res. B 2010, 268, 1818–1823. [Google Scholar] [CrossRef]
- Lin, X.; Zhu, Z.; Fauqué, B.; Behnia, K. Fermi surface of the most dilute superconductor. Phys. Rev. X 2013, 3, 021002. [Google Scholar] [CrossRef]
- Yang, H.; Chen, G.; Zhu, X.; Xing, J.; Wen, H.H. BCS-like critical fluctuations with limited overlap of Cooper pairs in FeSe. Phys. Rev. B 2017, 96, 064501. [Google Scholar] [CrossRef]
- Kasahara, S.; Watashige, T.; Hanaguri, T.; Kohsaka, Y.; Yamashita, T. Field-induced superconducting phase of FeSe in the BCS-BEC cross-over. Proc. Natl. Acad. Sci. USA 2014, 111, 16309–16313. [Google Scholar] [CrossRef] [PubMed]
- Kasahara, S.; Yamashita, T.; Shi, A.; Kobayashi, R.; Shimoyama, Y.; Watashige, T.; Ishida, K.; Terashima, T.; Wolf, T.; Hardy, F.; et al. Giant superconducting fluctuations in the compensated semimetal FeSe at the BCS-BEC crossover. Nat. Commun. 2016, 7, 12843. [Google Scholar] [CrossRef] [PubMed]
- Watashige, T.; Arsenijević, S.; Yamashita, T.; Terazawa, D.; Onishi, T.; Opherden, L.; Kasahara, S.; Tokiwa, Y.; Kasahara, Y.; Shibauchi, T.; et al. Quasiparticle excitations in the superconducting state of FeSe probed by thermal hall conductivity in the vicinity of the BCS-BEC crossover. J. Phys. Soc. Jpn. 2017, 86, 014707. [Google Scholar] [CrossRef]
- Sheldrick, G.M. CELL_NOW; Georg-August-Universität Göttingen: Göttingen, Germany, 2008. [Google Scholar]




© 2020 by the authors. Licensee MDPI, Basel, Switzerland. This article is an open access article distributed under the terms and conditions of the Creative Commons Attribution (CC BY) license (http://creativecommons.org/licenses/by/4.0/).
Share and Cite
van Delft, M.R.; Pezzini, S.; König, M.; Tinnemans, P.; Hussey, N.E.; Wiedmann, S. Two- and Three-Dimensional Superconducting Phases in the Weyl Semimetal TaP at Ambient Pressure. Crystals 2020, 10, 288. https://doi.org/10.3390/cryst10040288
van Delft MR, Pezzini S, König M, Tinnemans P, Hussey NE, Wiedmann S. Two- and Three-Dimensional Superconducting Phases in the Weyl Semimetal TaP at Ambient Pressure. Crystals. 2020; 10(4):288. https://doi.org/10.3390/cryst10040288
Chicago/Turabian Stylevan Delft, Maarten R., Sergio Pezzini, Markus König, Paul Tinnemans, Nigel E. Hussey, and Steffen Wiedmann. 2020. "Two- and Three-Dimensional Superconducting Phases in the Weyl Semimetal TaP at Ambient Pressure" Crystals 10, no. 4: 288. https://doi.org/10.3390/cryst10040288
APA Stylevan Delft, M. R., Pezzini, S., König, M., Tinnemans, P., Hussey, N. E., & Wiedmann, S. (2020). Two- and Three-Dimensional Superconducting Phases in the Weyl Semimetal TaP at Ambient Pressure. Crystals, 10(4), 288. https://doi.org/10.3390/cryst10040288

