Features of the Behavior of the Barocaloric Effect near Ferroelectric Phase Transition Close to the Tricritical Point
Abstract
1. Introduction
2. Experimental Methods
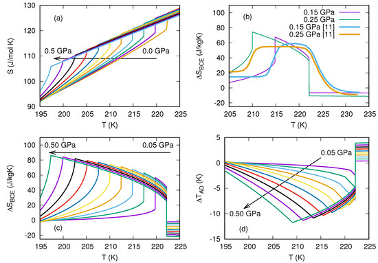
3. Results and Discussion
4. Conclusions
Author Contributions
Funding
Conflicts of Interest
Abbreviations
| AS | ammonium sulfate |
| BCE | barocaloric effect |
| DTA | differential thermal analysis |
| XRD | X-ray diffraction |
References
- Gschneidner, K.A., Jr.; Pecharsky, V.K.; Tsokol, A.O. Recent developments in magnetocaloric materials. Rep. Prog. Phys. 2005, 68, 1479–1539. [Google Scholar] [CrossRef]
- Brown, J.S.; Domanski, P.A. Review of alternative cooling technologies. Appl. Therm. Eng. 2014, 64, 252–262. [Google Scholar] [CrossRef]
- Moya, X.; Kar-Narayan, S.; Mathur, N.D. Caloric materials near ferroic phase transitions. Nat. Mater. 2014, 13, 439–450. [Google Scholar] [CrossRef] [PubMed]
- Plaznik, U.; Vrabelj, M.; Kutnjak, Z.; Malič, B.; Poredoš, A.; Kitanovski, A. Electrocaloric cooling: The importance of electric-energy recovery and heat regeneration. Europhys. Lett. 2015, 111, 57009. [Google Scholar] [CrossRef]
- Kitanovski, A.; Plaznik, U.; Tomc, U.; Poredoš, A. Present and future caloric refrigeration and heat-pump technologies. Int. J. Refrig. 2015, 57, 288–298. [Google Scholar] [CrossRef]
- Liu, Y.; Scott, J.F.; Dkhil, B. Some strategies for improving caloric responses with ferroelectrics. APL Mater. 2016, 4, 064109. [Google Scholar] [CrossRef]
- Mañosa, L.; Planes, A. Materials with giant mechanocaloric effects: Cooling by strength. Adv. Mater. 2017, 29, 1603607. [Google Scholar] [CrossRef]
- Zarkevich, N.A.; Johnson, D.D.; Pecharsky, V.K. High-throughput search for caloric materials: The CaloriCool approach. J. Phys. D Appl. Phys. 2017, 51, 024002. [Google Scholar] [CrossRef]
- Michaelis, N.; Welsch, F.; Kirsch, S.-M.; Schmidt, M.; Seelecke, S.; Schütze, A. Experimental parameter identification for elastocaloric air cooling. Int. J. Refrig. 2019, 100, 167–174. [Google Scholar] [CrossRef]
- Mikhaleva, E.A.; Flerov, I.N.; Gorev, M.V.; Molokeev, M.S.; Cherepakhin, A.V.; Kartashev, A.V.; Mikhashenok, N.V.; Sablina, K.A. Caloric characteristics of PbTiO3 in the temperature range of the ferroelectric phase transition. Phys. Solid State 2012, 54, 1832–1840. [Google Scholar] [CrossRef]
- Lloveras, P.; Stern-Taulats, E.; Barrio, M.; Tamarit, J.-L.; Crossley, S.; Li, W.; Pomjakushin, V.; Planes, A.; Mañosa, L.; Mathur, N.D.; et al. Giant barocaloric effects at low pressure in ferrielectric ammonium sulphate. Nat. Commun. 2015, 6, 8801. [Google Scholar] [CrossRef] [PubMed]
- Khassaf, H.; Patel, T.; Alpay, S.P. Combined intrinsic elastocaloric and electrocaloric properties of ferroelectrics. J. Appl. Phys. 2017, 121, 144102. [Google Scholar] [CrossRef]
- Liu, Y.; Wei, J.; Janolin, P.-E.; Infante, I.C.; Lou, X.; Dkhil, B. Giant room-temperature barocaloric effect and pressure-mediated electrocaloric effect in BaTiO3 single crystal. Appl. Phys. Lett. 2014, 104, 162904. [Google Scholar] [CrossRef]
- Mikhaleva, E.A.; Flerov, I.N.; Bondarev, V.S.; Gorev, M.V.; Vasiliev, A.D.; Davydova, T.N. Electrocaloric and barocaloric effects in some ferroelectric hydrosulfates and triglycinesulfate. Ferroelectrics 2012, 430, 78–83. [Google Scholar] [CrossRef]
- Gorev, M.V.; Mikhaleva, E.A.; Flerov, I.N.; Bogdanov, E.V. Conventional and inverse barocaloric effects in ferroelectric NH4HSO4. J. Alloys Compd. 2019, 806, 1047–1051. [Google Scholar] [CrossRef]
- Landau, L.D.; Lifshitz, E.M. Statistical Physics, 3rd ed.; Butterworth-Heinemann: Oxford, UK, 1980; Volume 5. [Google Scholar]
- Aleksandrov, K.S.; Flerov, I.N. Ranges of applicability of thermodynamic theory of structural phase transitions near the tricritical point. Sov. Phys. Solid State 1979, 21, 195–200. [Google Scholar]
- Aleksandrov, K.S.; Beznosikov, B.V. Strukturnye Fazovie Perehody v Kristallah (Semeistvo Sulfata Kaliya); Nauka: Novosibirsk, Russia, 1993. [Google Scholar]
- Mikhaleva, E.; Flerov, I.; Kartashev, A.; Gorev, M.; Bogdanov, E.; Bondarev, V. Thermal, dielectric and barocaloric properties of NH4HSO4 crystallized from an aqueous solution and the melt. Solid State Sci. 2017, 67, 1–7. [Google Scholar] [CrossRef]
- Hoshino, S.; Vedam, K.; Okaya, Y.; Pepinsky, R. Dielectric and thermal study of (NH4)2SO4 and (NH4)2BeF4 transitions. Phys. Rev. 1958, 11, 405–412. [Google Scholar] [CrossRef]
- Shmyt’ko, I.M.; Afonikova, N.S.; Torgashev, V.I. Anomalous states of the structure of (NH4)2SO4 crystals in the temperature range 4.2–300 K. Phys. Solid State 2002, 44, 2309–2317. [Google Scholar] [CrossRef]
- Kartashev, A.V.; Flerov, I.N.; Volkov, N.V.; Sablina, K.A. Adiabatic calorimetric study of the intense magnetocaloric effect and the heat capacity of (La0.4Eu0.6)0.7Pb0.3MnO3. Phys. Solid State 2008, 50, 2115–2120. [Google Scholar] [CrossRef]
- Flerov, I.N.; Gorev, M.V.; Fokina, V.D.; Bovina, A.F.; Laptash, N.M. Calorimetric and X-ray diffraction studies of the (NH4)3WO3F3 and (NH4)3TiOF5 perovskite-like oxyfluorides. Phys. Solid State 2004, 46, 915–921. [Google Scholar] [CrossRef]
- O’Reilly, D.E.; Tsang, T. Order–disorder transition in ferroelectric ammonium sulfate. J. Chem. Phys. 1969, 50, 2274–2275. [Google Scholar] [CrossRef]
- Gorev, M.V.; Flerov, I.N.; Bogdanov, E.V.; Voronov, V.N.; Laptash, N.M. Barocaloric effect near the structural phase transition in the Rb2KTiOF5 oxyfluoride. Phys. Solid State 2010, 52, 377–383. [Google Scholar] [CrossRef]
- Kobayashi, J.; Enomoto, Y.; Sato, Y. A phenomenological theory of dielectric and mechanical properties of improper ferroelectric crystals. Phys. Stat. Solidi 1972, 50, 335–343. [Google Scholar] [CrossRef]
- Romanyuk, N.A.; Gaba, V.M.; Ursul, Z.M. Optic and temperature anomalies of ammonium sulfate in phase transitions. Ukr. Fiz. Zhurnal 1988, 33, 1381–1388. [Google Scholar]
- Flerov, I.; Gorev, M.; Kartashev, A.; Pogorel’tsev, E.; Laptash, N. Heat capacity, thermal expansion and barocaloric effect in fluoride K2TaF7. J. Mat. Sci. 2019, 54, 14287–14295. [Google Scholar] [CrossRef]




© 2020 by the authors. Licensee MDPI, Basel, Switzerland. This article is an open access article distributed under the terms and conditions of the Creative Commons Attribution (CC BY) license (http://creativecommons.org/licenses/by/4.0/).
Share and Cite
Mikhaleva, E.A.; Flerov, I.N.; Gorev, M.V.; Bondarev, V.S.; Bogdanov, E.V. Features of the Behavior of the Barocaloric Effect near Ferroelectric Phase Transition Close to the Tricritical Point. Crystals 2020, 10, 51. https://doi.org/10.3390/cryst10010051
Mikhaleva EA, Flerov IN, Gorev MV, Bondarev VS, Bogdanov EV. Features of the Behavior of the Barocaloric Effect near Ferroelectric Phase Transition Close to the Tricritical Point. Crystals. 2020; 10(1):51. https://doi.org/10.3390/cryst10010051
Chicago/Turabian StyleMikhaleva, E.A., I.N. Flerov, M.V. Gorev, V.S. Bondarev, and E.V. Bogdanov. 2020. "Features of the Behavior of the Barocaloric Effect near Ferroelectric Phase Transition Close to the Tricritical Point" Crystals 10, no. 1: 51. https://doi.org/10.3390/cryst10010051
APA StyleMikhaleva, E. A., Flerov, I. N., Gorev, M. V., Bondarev, V. S., & Bogdanov, E. V. (2020). Features of the Behavior of the Barocaloric Effect near Ferroelectric Phase Transition Close to the Tricritical Point. Crystals, 10(1), 51. https://doi.org/10.3390/cryst10010051

