Next Article in Journal
One-Pot Aqueous and Template-Free Synthesis of Mesoporous Polymeric Resins
Next Article in Special Issue
Cobalt Oxide Catalysts in the Form of Thin Films Prepared by Magnetron Sputtering on Stainless-Steel Meshes: Performance in Ethanol Oxidation
Previous Article in Journal
(±)-trans-1,2-Cyclohexanediamine-Based Bis(NHC) Ligand for Cu-Catalyzed Asymmetric Conjugate Addition Reaction
Previous Article in Special Issue
Recycling of Gas Phase Residual Dichloromethane by Hydrodechlorination: Regeneration of Deactivated Pd/C Catalysts
 
 
Font Type:
Arial Georgia Verdana
Font Size:
Aa Aa Aa
Line Spacing:
Column Width:
Background:
Article

Effect of Copper Precursors on the Activity and Hydrothermal Stability of CuII−SSZ−13 NH3−SCR Catalysts

1
Key Laboratory of Coal Science and Technology, Ministry of Education and Shanxi Province, Taiyuan University of Technology, Taiyuan 030024, China
2
College of Materials Science and Engineering, Taiyuan University of Technology, Taiyuan 030024, China
3
State Key Laboratory of Coal Conversion, Institute of Coal Chemistry, Chinese Academy of Sciences, Taiyuan 030001, China
*
Author to whom correspondence should be addressed.
Catalysts 2019, 9(9), 781; https://doi.org/10.3390/catal9090781
Submission received: 29 August 2019 / Revised: 12 September 2019 / Accepted: 17 September 2019 / Published: 19 September 2019
(This article belongs to the Special Issue Catalysis for the Removal of Gas-Phase Pollutants)

Abstract

A series of CuII−SSZ−13 catalysts are prepared by in-situ hydrothermal method using different copper precursors (CuII(NO3)2, CuIISO4, CuIICl2) for selective catalytic reduction of NO by NH3 in a simulated diesel vehicle exhaust. The catalysts were characterized by X−ray diffraction (XRD), scanning electron microscope (SEM), X−ray photoelectron spectroscopy (XPS), N2 adsorption-desorption, hydrogen-temperature-programmed reduction (H2−TPR), ammonia temperature-programmed desorption (NH3−TPD), and 27Al and 29Si solid state Nuclear Magnetic Resonance (NMR). The CuII−SSZ−13 catalyst prepared by CuII(NO3)2 shows excellent catalytic activity and hydrothermal stability. The NO conversion of CuII−SSZ−13 catalyst prepared by CuII(NO3)2 reaches 90% at 180 °C and can remain above 90% at a wide temperature range of 180–700 °C. After aging treatment at 800 °C for 20 h, the CuII−SSZ−13 catalyst prepared by CuII(NO3)2 still exhibits above 90% NO conversion under a temperature range of 240–600 °C. The distribution of Cu species and the Si/Al ratios in the framework of the synthesized CuII−SSZ−13 catalysts, which determine the catalytic activity and the hydrothermal stability of the catalysts, are dependent on the adsorption capacity of anions to the cation during the crystallization process due to the so called Hofmeister anion effects, the NO3 ion has the strongest adsorption capacity among the three kinds of anions (NO3, Cl, and SO42−), followed by Cl and SO42– ions. Therefore, the CuII−SSZ−13 catalyst prepared by CuII(NO3)2 possess the best catalytic ability and hydrothermal stability.

Graphical Abstract

1. Introduction

The emission of nitrogen oxides is a major cause of unhealthy air quality and is strictly regulated in many places. To meet regulations, controlling the emission of nitrogen oxides from diesel exhaust is one important topic in catalysis [1,2]. The selective catalytic reduction of NOx by ammonia (NH3-SCR) is one of the most effective approaches to convert NOx due to its high fuel economy, and high denitrification efficiency [3,4]. The core issue of this technology is the development of environmentally friendly SCR catalysts with high activity, wide operating temperature window, and excellent hydrothermal stability. Prior to the application of molecular sieve catalysts, NOx abatement technology relied primarily on V2O5-WO3/TiO2 as a NOx removal catalyst [5,6]. In recent years, the CuII−SSZ−13 molecular sieve used as NH3-SCR catalysts has become a hot topic due to its wide temperature window, high N2 selectivity, and excellent hydrothermal stability [7,8,9]. In addition, CuII−SSZ−13 shows its superiority in hydrothermal stability under moderate aging temperatures (e.g., 750–800 °C) compared to other well-known Cu molecular sieves (e.g., Cu-ZSM-5, Cu-beta, and Cu-Y) [10].
Recently, the CuII−SSZ−13 catalysts are usually synthesized by hydrothermal method and subsequent ion exchange process. Han et al. [11] prepared CuII−SSZ−13 catalyst using N, N, N-trimethyl-1-adamantane ammonium hydroxide (TMAda-OH) as template by microwave, dynamic and static hydrothermal methods, respectively. Shishkiny et al. [12] synthesized functionalized CuII−SSZ−13 catalyst by introducing Cu and Fe ions into the Na-SSZ-13 catalyst during the ion exchange process. The industrial application of SSZ-13 molecular sieve catalyst is limited due to the high costs of TMAda-OH template. Ren et al. [13] developed an in situ method to synthesize CuII−SSZ−13 using low-cost copper teraethylenepentamine (Cu-TEPA) as template, which reduced economic cost the CuII−SSZ−13 catalyst. Zhang et al. [14] compared CuII−SSZ−13 catalysts prepared by ion-exchange (CuII−SSZ−13−I) and in-situ synthesis methods (CuII−SSZ−13−O), and found that CuII−SSZ−13−O showed higher DeNOx activity and stronger Lewis acid site strengths than CuII−SSZ−13−I. CuII−SSZ−13 was prepared by selecting a novel low-temperature solid-state ion-exchange (LT−SSIE) method using CuIIAc2 and CuII(NO3)2 as Cu precursors, showing comparable SCR activity and hydrothermal stability to the traditional solution ion-exchanged CuII−SSZ−13 with a similar Cu loading [15]. Paolucci et al. [16] have worked out a scenario that is based on the formation of the Cu−ammonia complex Cu(NH3)2+ mechanism shows that the actual active sites for NOx reduction are not static structures but dynamic and come and go as the reaction proceeds. Borfecchia et al. [17] provide a comprehensive overview on the structural complexity of Cu−CHA materials, it has been shown that the active site in the low temperature NH3−SCR catalyst is a mobile Cu-molecular entity that ‘‘lives in symbiosis’’ with an inorganic solid framework. Only in the high temperature NH3−SCR regime do the mobile Cu species lose their ligands and find docking sites at the internal walls of the molecular sieve framework. Marberger et al. [18] monitored the evolution of various Cu species in CuII−SSZ−13 and experimentally identified crucial characteristics of the SCR catalyst in the low-temperature regime: the rate-limiting re-oxidation of CuI(NH3)2 is strongly influenced by NH3 inhibition; the active CuII(NH3)4 species are mainly formed below 250 °C; and the modification of the active sites with increasing temperatures is driven by the loss of NH3 coordinating Cu species.
It should be noted that the synthesis of molecular sieves via hydrothermal method is a multi-variable process. The crystallization temperature, duration, dynamic/static, as well as the prescriptions of anions and cations have important influences on the physicochemical properties of the final molecular sieve products, which further determine the performances of the catalysts. In the process of in-situ synthesis of CuII−SSZ−13 catalyst, the distribution of metal cations on the molecular sieve framework determines its structure properties and catalytic performance. The metal cations can affect the aggregation state, condensation rate, and colloidal state of silicate materials in the formation in the reaction system [19]. The anions also have influences on the synthesis of silicon-alumina molecular sieves. It has been reported that the crystallization time of ZSM−5 and TS−1 can be regulated by the oxyacid anion [20]. In the early days, Hofmeister studied the ability of different salt solutions to denature proteins, and called the relative effectiveness of anions to produce different specificities on a wide range of phenomena the Hofmeister anion effect [21]. Alexander V [22] investigated a series of Hofmeister anions that may be arranged in the following sequence: SO42− > Cl ~ NO3 with decreasing zeolite Beta formation potency from left to right. The Hofmeister anion effect can influence the surface activity of the mesoporous materials. The adsorption ability of anion to the cation: NO3 > Cl > SO42− [23,24]. Anion species will change hydrolysis rate of silicate liquid precursor and the size of template agent micelle, which finally results in the differences of the surface properties and the morphology of molecular sieve catalyst after calcination. In short, the anion can change hydrolysis rate of precursor and the structure of colloid formed by the template agent, which affects the framework structure, crystal structure, morphology, and the catalytic properties of the final CuII−SSZ−13 molecular sieve.
In this work, CuII−SSZ−13 catalysts were prepared by in-situ hydrothermal synthesis method for NO selective catalytic reduction with NH3 in simulated diesel vehicles exhaust. Three kinds of copper precursors (CuII(NO3)2, CuIISO4, CuIICl2) were used to investigate the effect of anions on the structure, catalytic activity, and hydrothermal stability of CuII−SSZ−13 catalysts. The NO conversion, N2 selectivity, and the structure characterization of the fresh and aged CuII−SSZ−13 catalysts were investigated in detail.

2. Results and Discussion

2.1. Catalytic Activity

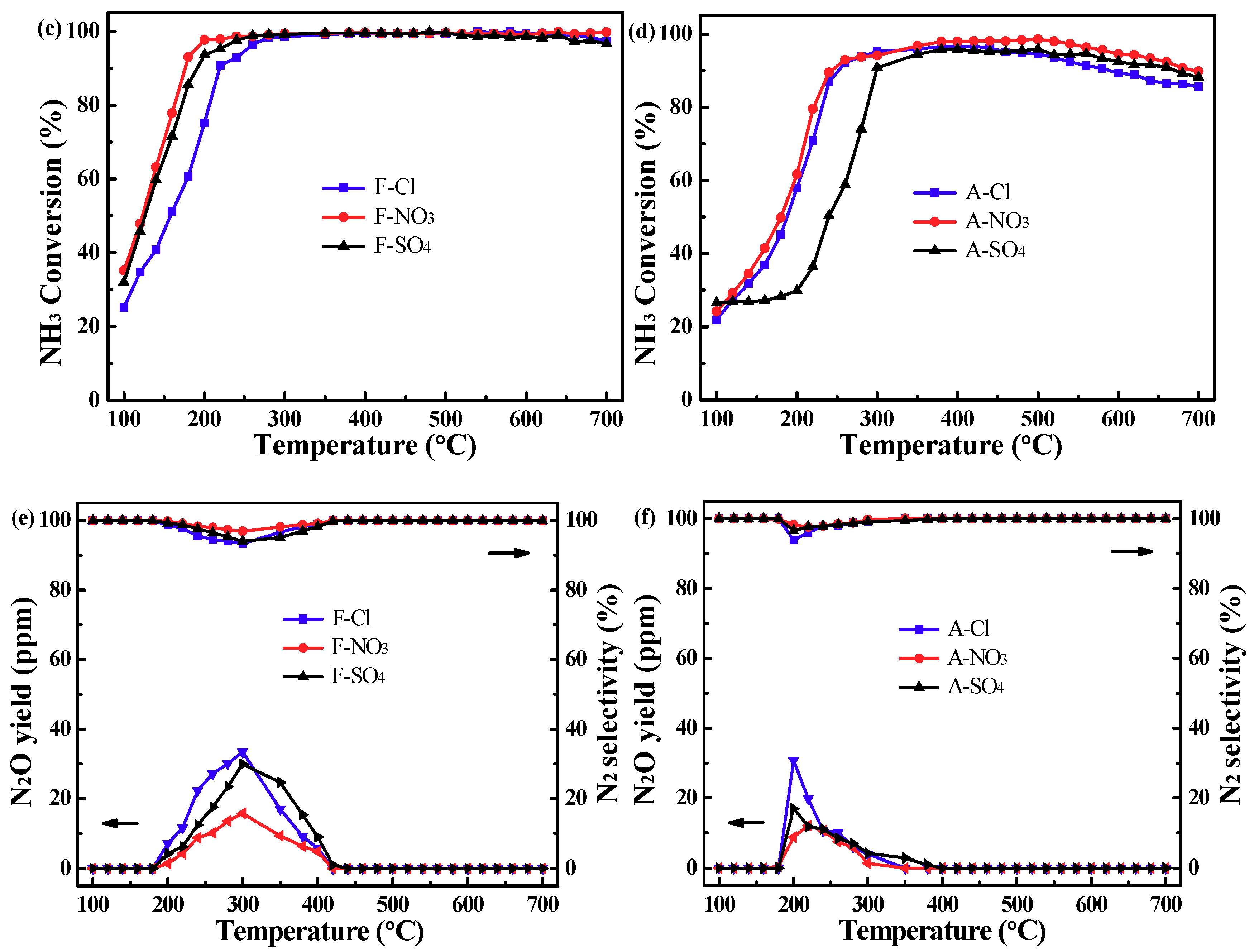
Figure 1 shows the conversion of NO, N2 selectivity, and N2O yield of fresh and aged CuII−SSZ−13 catalysts. As shown in Figure 1a, the CuII−SSZ−13 catalysts prepared by three kinds of copper precursors all exhibit excellent catalytic activity. Compared with the other samples, the NO conversion of the F−NO3 sample reaches 90% at 180 °C and has a widest temperature window (180–700 °C). The CuII−SSZ−13 catalysts prepared by three kinds of copper precursors declines dramatically after aging at 800 °C for 20 h as shown in Figure 1b. However, the NO conversion of the A−NO3 sample exceeds 90% ranging from 140 to 620 °C and just declines a little at the temperature range of 240–600 °C.
Figure 1c,d shows that the ammonia oxidation ability of the fresh and aged CuII−SSZ−13 catalysts is almost the same over below 300 °C. The stoichiometric relationship between ammonia and NOx conversion is 1:1 indicating that standard SCR occurs at this temperature range. However, at the high temperature range, the ammonia conversion rate is significantly higher than the NOx conversion rate, indicating that the ammonia oxidation reaction has occurred [25,26].
The three fresh catalysts exhibit 100% N2 selectivity in the range of 100–200 °C and 440–700 °C as shown in Figure 1d. While, F−NO3 sample has the lowest N2O yield (<15 ppm) among the three samples. Moreover, the amounts of N2O produced in all aged CuII−SSZ−13 catalysts are obviously decreased after 300 °C (Figure 1e). The A−NO3 sample has lower N2O production (<12 ppm), and shows 100% N2 selectivity in the range of 100–180 °C and 340–700 °C. The high N2 selectivity of CuII−SSZ−13 catalysts is affected by the type of molecular sieve structure and ammonia oxidation ability [10,27]. The formation of N2O is mainly related to NOx reacting with proton-adsorbed NH3 in which NH4NO3 that forms on protonic sites could slowly decompose [28].

2.2. Structure and Morphology

2.2.1. X-ray Diffraction (XRD) Results

The X−ray diffraction (XRD) results of all CuII−SSZ−13 catalysts are shown in Figure S1. The fresh and aged samples exhibit characteristic diffraction peaks of SSZ-13 at 2θ = 9.5°, 14.0°, 16.1°, 17.8°, 20.7°, 25.0°, 30.7° [2,29,30]. The fresh samples show perfect crystal structure and high crystallinity, among which the peaks of the F−Cl sample is stronger than that of F−NO3 and F−SO4 samples (Figure S1a). It can be inferred that the copper precursors can affect the crystallinity and regularity of the fresh samples. No distinct diffraction peaks can be observed for the A−SO4 sample (Figure S1b), which means that the crystal structure of the A−SO4 sample is severely destroyed. The CuII−SSZ−13 prepared by the CuII(NO3)2 sample has the smallest change of characteristic peak after aging, which means the hydrothermal stability of these samples are the best. However, there are no diffraction peaks of CuO observed before and after hydrothermal aging. It means that the Cu content is low, or the Cu species are well-dispersed [4].
The grain size parameters with scanning angle near 20° for all CuII−SSZ−13 catalysts are shown in Table 1. The particle size of F−SO4 and F−Cl samples are 31.21 and 30.51 nm, respectively, while that of F−NO3 sample is 27.93 nm. It indicated that F−NO3 sample has small grains, which may be due to the fact that adsorption capacity of NO3 anions on cationic is much larger than those of the SO42− and Cl anions. NO3 ions easily lose water molecules in the process of crystallization or directly utilize water molecules to dissolve other substances on the interface. Its large molecular weight has little effect on surface active agent charge, leading to form small spherical micelles and finally generate small SSZ−13 grain size. The SO42− ions frequently lead to a higher surface tension and a salting-out effect (aggregation of cations), which may influence the entering of copper ions to the pores of SSZ−13 and gathering on the support surface [23]. After aging, the diameter size of all the samples reduced. The grain parameters of the sample A−SO4 was not calculated because there are no obvious diffraction peaks observed over the scanning angle from 5° to 50°. The particle size of the A−NO3 and A−Cl samples are 23.64 and 27.19 nm, respectively. It shows that the grain size of the A−NO3 sample is also the smallest. The grain size of the F−Cl sample decreases to a smaller extent after aging, which can be used to explain why the CuII(NO3)2 sample has strong anti-aging ability.

2.2.2. N2 Adsorption Results

In order to investigate the effect of different copper precursors on the pore structure of CuII−SSZ−13, CuII(NO3)2, CuIISO4 and CuIICl2 samples were selected for structural analysis. The results are shown in Table 2. The specific surface areas of F-NO3 and F−Cl samples are more than 300 m2/g, while that of F−SO4. sample is only 233.44 m2/g. The pore volume and pore size of the F−Nit. sample are 0.13 cm3/g and 0.65 nm, respectively. After aging, the specific surface area of all samples reduced to varying degrees. The specific surface area and pore volume of the A−SO4 sample decrease significantly, which is consistent with SSZ−13 peaks disappearance in the XRD. The pore volume and pore size of the A−NO3 and A−Cl samples are slightly reduced. It indicates that the CuII(NO3)2 and CuIICl2 samples are beneficial to strengthen the stability of the molecular sieve catalyst framework structure, and improve the anti-aging properties of the catalysts. Moreover, the pore size of the CuII(NO3)2 sample before and after aging are the smallest, showing that it has an excellent shape-selective role during the process of gas reaction.

2.2.3. Scanning Electron Microscope (SEM) Results

Figure 2 shows scanning electron microscope (SEM) pictures of CuII−SSZ−13 catalysts before and after aging. The grain size of F−SO4 and F−Cl samples are relatively large and gather together in clusters. However, the F−NO3 sample presents a neat and angular cubic crystal grain size, large quantity, and good dispersion. Furthermore, the grain sizes of the entire sample are damaged after aging. The A−SO4 and A−Cl samples have no obvious cubic grain size. The agglomeration phenomenon is very serious. Although the grain size of the CuII(NO3)2 sample is slightly damaged, it can still maintain complete cubic shape and relatively uniform distribution.
To sum up, during the process of crystal nucleus growth, the adsorption capacity of different anions on the template micelles is very different due to the effect of Hofmeister anion effects, which has a direct impact on the formation and growth of crystal grain [23]. It causes the diverse skeletal-structure properties of CuII−SSZ−13, thereby making the catalyst form different morphologies.

2.2.4. Hydrogen-Temperature-Programmed Reduction (H2−TPR) Results

The hydrogen-temperature-programmed reduction (H2−TPR) profiles of CuII−SSZ−13 catalysts are displayed in Figure 3. It can be seen that the copper precursors have a significant effect on the distribution of Cu species in CuII−SSZ−13. There are several types of cationic sites in CHA: in [31,32,33] the H2 reduction peaks at 180–200 and 200–280 °C stand for the reduction of isolated CuII ions to CuI ions in the eight ring and CHA cages, respectively; the H2 reduction peaks at 280–500 °C are assigned to the reduction of the stable CuII in double six-rings. The reduction peaks of 500–1000 °C are due to the reduction of CuI to Cu0. As shown in Figure 3, the H2−TPR process of isolated CuII on CuII−SSZ−13 catalysts are divided into two steps: reduction of CuII→CuI at low temperature (<500 °C) and CuI→Cu0 at high temperature (>500 °C) [14]. The fresh samples are shown in Figure 3a, the peak at around 240 °C is assigned to the reduction of isolated CuII→CuI in the CHA cage. Different reduction peaks areas appear at 375 °C, indicating the presence of different isolated CuII ions in the stable six-membered ring. At 500–1000 °C, two different types reduction peaks of CuI into Cu0 appear in three samples, which can be unstable CuI at low temperature (550 °C) and stable CuI at high temperature (850 °C) [30,34].
After hydrothermal aging, the aged sample’s H2 reduction peak decrease and move to the higher temperature, indicating the oxidation capacity of Cu species is weakened (Figure 3b). However, the A−NO3 sample still has significant reduction peaks at 550 and 813 °C. The H2 reduction peak of at 813 °C represents the reduction of extremely stable CuI ions. It is worth noting that the reduction temperature of this kind of stable CuI ion is when the structure of the molecular sieve begins to collapse [30,34]. This is consistent with the XRD results. The A−NO3 sample has higher stable CuI content and therefore it can maintain a stable skeleton structure. The H2 consumption of Cu species in the fresh and aged catalysts is shown in Table 3, the content of isolated CuII ions in the F−NO3 and A−NO3 samples are much higher than the CuIICl2 and CuIISO4 samples. Due to the destruction of the skeleton structure of the A−SO4 sample, the amount of CuI is significantly reduced. During the NH3−SCR reaction, the catalytic performance of the CuII−SSZ−13 catalysts is determined by the reducibility of active metal species in molecular sieves. Many researchers have shown that isolated CuII ion is the main active component [35,36]. Hence, the conversion of CuII−SSZ−13 catalysts will be decreased when the account of isolated CuII ion is lower. Due to the difference of copper precursors, anions may affect the distribution of copper species in the samples. The Pauling radium increased in the order of NO3 (1.79 Å) ≈Cl (1.80 Å) < SO42− (2.30 Å) [23]. Larger anions from the copper precursors can inhibit the entering of copper ions into the SSZ−13 pore during the formation of the colloidal process. However, the copper ions from the precursors with small anions ions like NO3 are more accessible to enter the pore, which generates more isolated CuII, and exhibits excellent NH3−SCR activity.

2.2.5. Ammonia Temperature-Programmed Desorption (NH3−TPD) Results

The acid sites of the molecular sieve catalyst are beneficial to adsorption and activation of NH3, which is one of the key steps for the reduction of NO by NH3 molecules [2,37]. The ammonia temperature-programmed desorption (NH3−TPD) spectra of the CuII−SSZ−13 catalysts are shown in Figure 4. The peak at 130 °C (Peak A) and 168 °C (Peak B) are attributed to the physical adsorption and weakly adsorbed NH3 on the weak Lewis acid sites, respectively [38,39]. The peaks at 258 °C (Peak C) and above 420 °C (Peak D) belong to NH3 adsorbed on strong Lewis acid sites originating from the isolated CuII ions and NH3 adsorbed on Brønsted acid sites, respectively. Table 4 shows the adsorption amounts of NH3 on the fresh and aged samples by deconvolution of the NH3−TPD curves. The total acid amounts of all fresh samples are similar. Additionally, the adsorption amount of ammonia decreases and the ammonia oxidation reaction has occurred during temperature increase, causing the activity of the catalyst to decrease. After hydrothermal aging, the NH3 adsorption peaks all decreased due to the destruction of the CHA structure and the loss of the isolated CuII ions, which is demonstrated by the results of H2−TPR and XRD characterization. Many studies have shown that the chemisorption of NH3 plays a significant role in the NH3−SCR performance [2,30,40].

2.2.6. X-ray Photoelectron Spectroscopy (XPS) Results

The CuII−SSZ−13 catalysts are analyzed by Cu2p X−ray photoelectron spectroscopy (XPS) in Figure 5. The fresh and aged samples have a main peak and a satellite peak of Cu 2p3/2 (930–939 and 940–948 eV) and Cu 2p1/2 (950–955 and 960.0–968 eV). The Cu 2p3/2 peaks at 935.9 eV are attributed to the isolated CuII species. The characteristic peak at 933.2 eV is ascribed to the CuI species [41,42].
The CuII/Cusur ratios of all fresh sample are reduced after aging as shown in Table 5. The isolated CuII species facilitate the reduction of NOx at low temperature, which trigger the decrease of catalytic activity of the aged samples [37]. The Cu and Al contents of the A−SO4 sample increase significantly and can be due to the serious destruction of the framework. However, the Cu and Al contents of A−Cl sample decrease obviously. According to the results of the 27Al Nuclear Magnetic Resonance (NMR) spectra, the signal invisible of octahedral aluminum ions in the fresh and aged catalysts prepared by CuIICl2 is because that paramagnetic Cu ions may interact more strongly with the forming octahedral aluminum, which cause the decrease of surface Cu and Al species [10,43]. Furthermore, the change in XPS curve of CuII(NO3)2 sample is the least before and after aging. The Si/Al decreases slightly on the surface after aging, which may be due to aging inducing slight de-alumination. Therefore, a small portion of aluminum migrates to the surface, which maintains good anti-aging properties of the skeleton structure.

2.2.7. NMR Results

In order to further study the effects of different copper precursors on the chemical environment of Si and Al in CuII−SSZ−13 catalysts, and the effect of hydrothermal aging treatment, 29Si NMR and 27Al NMR were performed for the fresh and aged catalysts. It can be seen from the 27Al NMR spectra of Figure 6a–c that fresh samples show significant Al3+ tetrahedral coordination framework features that appear at ∼58.7 ppm [10,11]. The F−SO4 and F−NO3 show one relatively small new resonance peak at ∼−1.3 ppm, which come down the extra-framework Al in octahedral [44]. It is worth noting that hydrothermal aging at 800 °C for 20 h can result in some tetrahedral aluminum transferred into penta-coordinated extra-framework aluminum structure. The resonance peak at −1.3 ppm almost disappears. Note also that the portion of Al detached from the molecular sieve framework does not appear at ∼−1.3 ppm. This portion of Al stays adjacent to paramagnetic Cu sites and thus invisible to NMR [43,45]. To better compare the changes of the Al coordination structure before and after the hydrothermal aging treatment, the tetrahedral Al signal area of the fresh sample is taken as a unity. The amount of framework Al in the aged sample is normalized to reveal the dealumination during the hydrothermal treatment. The proportion of tetrahedral Al in A−Cl sample is 0.74 indicating evident dealumination. In addition, the A−SO4 sample has the strongest pentacoordinated extra-framework aluminum structure resonance peak. The proportion of tetrahedral Al is 0.85. However, the resonance peak intensity of Al3+ tetrahedral coordination structure of the A-Nit. sample at 58.7 ppm is sharper. The proportion of tetrahedral Al in A−NO3 sample is 0.94, which means that the hydrothermal aging process causes little damage to the CuII(NO3)2 sample skeleton structure. It is consistent with the results of XRD. The CuII(NO3)2 sample exhibits slight skeleton dealumination and maintains stable SSZ−13 framework structure. It is further confirmed that the CuII(NO3)2 sample has better resistance to hydrothermal aging.
As seen in Figure 6d–f, wide 29Si-NMR peaks with maxima at −99.8, −105.3, and −110.8 ppm are registered for CuII−SSZ−13 catalysts. These peaks are related to the following types: the structure of Si(2Al), the Si(1Al), and Si(0Al) [46,47]. The F−NO3 sample contains more Si (2Al) and Si (2Al) and Si (1Al) structures. After aging, the peak at −105.3 ppm of three samples is weakened. The Si(1Al) structure of A−SO4 is severely damaged, and the F−Cl sample contains more Si (0Al) structure. However, two peaks at 105.3 and 110.8 ppm become similar shoulder peaks for the A−Nit sample. Si(1Al) and Si (0Al) structures occupy a larger proportion. The catalytic properties of molecular sieves are mainly depending on the skeleton structure and surface acidity. The Si coordination structures have a significant effect on the acid intensity, which is enhanced in the order of Si(0Al) < Si(4Al) < Si(3Al) < Si(2Al) < Si(1Al) [4,27,48]. It is consistent with the results of NH3−TPD.

3. Materials and Methods

3.1. Catalyst Preparation

The CuII−SSZ−13 catalysts were prepared by in-situ hydrothermal synthesis method using three kinds of copper precursors (CuII(NO3)2, CuIISO4, CuIICl2). The copper complex (Cu−TEPA) was used as the template. An appropriate amount of silica sol (30.4%), sodium metaaluminate (99%), sodium hydroxide (96%), tetraethylenepentamine (TEPA, 95%), and deionized water, were mixed at the molar ratios of 2.5Al2O3:2.5Na2O:7.4SiO2:147.7H2O:1.47Cu−TEPA [49,50]. The formed gel was successively transferred into three 100 mL PTFE (polytetrafluoroethylene) autoclaves and crystallized at 140 °C for 72 h. The products were washed by deionized water, and dried at 100 °C for 12 h. Then, the samples was treated by ion exchange with a certain amount of NH4NO3 (1 mol/L) solution for 12 h at 80 °C. Finally, the samples were calcined at 550 °C for 8 h. The obtained CuII−SSZ−13 catalyst using CuIICl2, CuII(NO3)2, and CuIISO4 solution as precursor were labeled as F−Cl, F−NO3, and F−SO4, respectively.

3.2. Hydrothermal Aging Treatment of Catalysts

To investigate the hydrothermal stability of the prepared CuII−SSZ−13 catalysts, they were aged in a fixed bed reactor containing 10 vol% H2O under Ar atmosphere at 800 °C for 20 h. The aged catalysts were labeled as A−Cl, A−NO3, and A−SO4, respectively.

3.3. Catalyst Activity Evaluation

The catalytic activity was evaluated using a temperature-programmed fixed bed reactor at a gaseous hourly space velocity (GHSV) of 40,000 h−1. As shown in Figure S2, the gaseous hourly space velocity (GHSV) of 40,000 h−1 is preferentially used as the optimal space velocity for the F−NO3 sample. The reactor contained 0.05% NO, 0.05% NH3, 5 vol% O2, and 10 vol% H2O. He was used as balance gas. The total flow rate 400 mL min−1. The concentrations of NO, NH3, N2O, and NO2 gases were measured in situ by a NICOLET IS10 FTIR spectrometer. The NO conversion and the N2 selectivity were calculated based on the following equation:
X NO   =   C NO ,   in     C NO ,   out   C NO ,   out   ×   100 % ,
S N 2   =   ( 1     2 C N 2 O ,   out   +   C NO 2 ,   out   C NO , in   +   C NH 3 ,   in     C NO , out     C NH 3 ,   out ) ×   100 % .

3.4. Catalyst Characterization

The XRD analysis was carried out on a DX−2700 diffractometer (Dangdong, Dandong Aolong Ray Instrument Group Co., Ltd. China) with Cu Kα radiation (λ = 1.54184 nm) at 40 kV and 30 mA. The dates were collected with a scanning speed of 8°·min−1 that ranged from 5° to 60°. The SEM images of samples were obtained via a Japanese Jeol JSM-7001F instrument (JEOL, Japan) at 10 kV. H2−TPR and NH3−TPD experiments were carried out on the Autochem II 2920 instrument (Micromeritics, Norcross, GA, USA). For H2−TPR measurement, 100 mg of sample was set into a quartz reactor and pretreated at 300 °C for 0.5 h in Ar atmosphere. After cooling to room temperature (25 °C), the gas was switched to a 10 vol% H2−Ar mixture gas with the temperature increased from 50 to 1000 °C at a rate of 10 °C min−1. For NH3−TPD measurement, the pretreatment was as same as the H2−TPR process and then exposed to 10% NH3/He at 50 °C for 30 min, followed by a temperature ramp to 600 °C at a rate of 10 °C min−1. The pore structure analysis of the samples was acquired on a JW-BK122W N2 adsorption-desorption instrument (Beijing, JWGB Sci. & Tech. Co., Ltd., China) by using liquid nitrogen at 77 K (−196 °C). XPS measurements were performed on an AXIS ULTRA DLD electron spectrometer (Kratos corporation, UK) with a monochromatic Al Kα (hv = 1486.6 eV) as excitation source. 27Al and 29Si solid state NMR spectra were collected by an Avance Ⅲ 600 MHz instrument (Bruker, UK). 29Si MAS NMR spectra were recorded at a rate of 5 kHz and 7 mm probe. 27Al MAS NMR spectra were recorded at a rate of 13 kHz using a 4 mm probe.

4. Conclusions

In summary, the CuII−SSZ−13 catalysts were prepared by in-situ hydrothermal synthesis method using various copper precursors (CuII(NO3)2, CuIISO4, CuIICl2) for NO selective catalytic reduction with NH3 in simulated diesel vehicle exhausts. The CuII(NO3)2 sample not only exhibits outstanding catalytic activity and N2 selectivity, but also has higher anti-aging properties. The F−NO3 sample exceeded 90% conversion at a wide range of 180~700 °C. After aging for 20 h at 800 °C, the A−NO3 sample still exhibits above 90% NO conversion in the temperature range of 240–600 °C. The difference of deNOx activity and anti-aging performance can be tuned by copper precursor due to the anion’s effect. The Pauling radium of the anion affects the distribution of copper species in the CuII-SSZ-13 catalyst. The larger anions could impede the entry of copper ions into the pores and gathered on the out surface of the molecular sieve. In addition, the adsorption capacity of different anions to the cations will affect the nucleation, and the growth process of SSZ−13 can affect the crystallization process. More isolated CuII ions are adsorbed in the framework of the CuII−SSZ−13 catalyst and served as active sites for the NH3−SCR reaction resulting in excellent catalytic activity. Furthermore, after hydrothermal aging treatment, the CuII(NO3)2 sample remains stable in the SSZ-13 framework resulting in maintaining its high catalytic activity. Our work can help to understand the effect of anions originating from copper precursors on the structure and catalytic property and rational design of a CuII−SSZ−13 catalyst for NO selective catalytic reduction with NH3 in diesel vehicle exhausts.

Supplementary Materials

The following are available online at https://www.mdpi.com/2073-4344/9/9/781/s1, Figure S1: XRD patterns of CuII−SSZ−13 catalysts before (a) and after (b) hydrothermal aging treatment. Figure S2: Gaseous hourly space velocity (GHSV) of fresh CuII−SSZ−13 catalyst synthesized by CuII(NO3)2 as copper precursors.

Author Contributions

The experimental work was conceived and designed by M.W. and J.W.; M.W. and Z.P. performed the experiments; M.W. and M.L. analyzed the data and M.W. drafted the paper. The manuscript was amended through the comments of C.Z., W.B., L.C., L.H., Y.H., Z.H. and. All authors have given approval for the final version of the manuscript.

Funding

The authors gratefully thank the Project funded by China Postdoctoral Science Foundation (2019M651077).

Conflicts of Interest

The authors declare no conflict of interest.

References

  1. Liu, F.; Yu, Y.; He, H. Environmentally-benign catalysts for the selective catalytic reduction of NOx from diesel engines: Structure–activity relationship and reaction mechanism aspects. Chem. Commun. 2014, 50, 8445–8463. [Google Scholar] [CrossRef] [PubMed]
  2. Han, S.; Ye, Q.; Cheng, S.; Kang, T.; Dai, H. Effect of the hydrothermal aging temperature and Cu/Al ratio on the hydrothermal stability of CuSSZ-13 catalysts for NH3-SCR. Catal. Sci. Technol. 2017, 7, 703–717. [Google Scholar] [CrossRef]
  3. Xin, Y.; Li, Q.; Zhang, Z. Zeolitic materials for DeNOx selective catalytic reduction. ChemCatChem 2018, 10, 29–41. [Google Scholar] [CrossRef]
  4. Wang, J.; Peng, Z.; Chen, Y.; Bao, W.; Chang, L.; Feng, G. In-situ hydrothermal synthesis of Cu-SSZ-13/cordierite for the catalytic removal of NOx from diesel vehicles by NH3. Chem. Eng. J. 2015, 263, 9–19. [Google Scholar] [CrossRef]
  5. Kwon, D.W.; Nam, K.B.; Hong, S.C. The role of ceria on the activity and SO2 resistance of catalysts for the selective catalytic reduction of NOx by NH3. Appl. Catal. B 2015, 166, 37–44. [Google Scholar] [CrossRef]
  6. He, Y.; Ford, M.E.; Zhu, M.; Liu, Q.; Tumuluri, U.; Wu, Z.; Wachs, I.E. Influence of catalyst synthesis method on selective catalytic reduction (SCR) of no by NH3 with V2O5-WO3/TiO2 catalysts. Appl. Catal. B 2016, 193, 141–150. [Google Scholar] [CrossRef]
  7. Joshi, S.Y.; Kumar, A.; Luo, J.; Kamasamudram, K.; Currier, N.W.; Yezerets, A. New insights into the mechanism of NH3-SCR over Cu- and Fe-zeolite catalyst: Apparent negative activation energy at high temperature and catalyst unit design consequences. Appl. Catal. B 2018, 226, 565–574. [Google Scholar] [CrossRef]
  8. Xie, K.; Woo, J.; Bernin, D.; Kumar, A.; Kamasamudram, K.; Olsson, L. Insights into hydrothermal aging of phosphorus-poisoned Cu-SSZ-13 for NH3-SCR. Appl. Catal. B 2019, 241, 205–216. [Google Scholar] [CrossRef]
  9. Cheng, J.; Han, S.; Ye, Q.; Cheng, S.; Kang, T.; Dai, H. Selective catalytic reduction of NO with NH3 over the Cu/SAPO-34 catalysts derived from different Cu precursors. Microporous Mesoporous Mater. 2019, 278, 423–434. [Google Scholar] [CrossRef]
  10. Kwak, J.H.; Tran, D.; Burton, S.D.; Szanyi, J.; Lee, J.H.; Peden, C.H.F. Effects of hydrothermal aging on NH3-SCR reaction over Cu/zeolites. J. Catal. 2012, 287, 203–209. [Google Scholar] [CrossRef]
  11. Han, L.; Zhao, X.; Yu, H.; Hu, Y.; Li, D.; Sun, D.; Liu, M.; Chang, L.; Bao, W.; Wang, J. Preparation of SSZ-13 zeolites and their NH3-selective catalytic reduction activity. Microporous Mesoporous Mater. 2018, 261, 126–136. [Google Scholar] [CrossRef]
  12. Shishkin, A.; Kannisto, H.; Carlsson, P.-A.; Härelind, H.; Skoglundh, M. Synthesis and functionalization of SSZ-13 as an NH3-SCR catalyst. Catal. Sci. Technol. 2014, 4, 3917–3926. [Google Scholar] [CrossRef]
  13. Ren, L.; Zhu, L.; Yang, C.; Chen, Y.; Sun, Q.; Zhang, H.; Li, C.; Nawaz, F.; Meng, X.; Xiao, F.S. Designed copper-amine complex as an efficient template for one-pot synthesis of Cu-SSZ-13 zeolite with excellent activity for selective catalytic reduction of NOx by NH3. Chem. Commun. 2011, 47, 9789–9791. [Google Scholar] [CrossRef] [PubMed]
  14. Zhang, T.; Qiu, F.; Chang, H.; Li, X.; Li, J. Identification of active sites and reaction mechanism on low-temperature SCR activity over Cu-SSZ-13 catalysts prepared by different methods. Catal. Sci. Technol. 2016, 6, 6294–6304. [Google Scholar] [CrossRef]
  15. Ma, Y.; Cheng, S.; Wu, X.; Shi, Y.; Cao, L.; Liu, L.; Ran, R.; Si, Z.; Liu, J.; Weng, D. Low-temperature solid-state ion-exchange method for preparing Cu-SSZ-13 selective catalytic reduction catalyst. ACS Catal. 2019, 9, 6962–6973. [Google Scholar] [CrossRef]
  16. Paolucci, C.; Khurana, I.; Parekh, A.A.; Li, S.; Shih, A.J.; Li, H.; di Iorio, J.R.; Albarracin-Caballero, J.D.; Yezerets, A.; Miller, J.T.; et al. Dynamic multinuclear sites formed by mobilized copper ions in NOx selective catalytic reduction. Science 2017, 357, 898–903. [Google Scholar] [CrossRef]
  17. Borfecchia, E.; Beato, P.; Svelle, S.; Olsbye, U.; Lamberti, C.; Bordiga, S. Cu-cha—A model system for applied selective redox catalysis. Chem. Soc. Rev. 2018, 47, 8097–8133. [Google Scholar] [CrossRef] [PubMed]
  18. Marberger, A.; Petrov, A.W.; Steiger, P.; Elsener, M.; Kröcher, O.; Nachtegaal, M.; Ferri, D. Time-resolved copper speciation during selective catalytic reduction of no on Cu-SSZ-13. Nat. Catal. 2018, 1, 221–227. [Google Scholar] [CrossRef]
  19. Xu, R.; Pang, W.; Yu, J.; Huo, Q.; Chen, J. Molecular Sieves and Porous Materials Chemietry; Science Press: Beijing, China, 2004. [Google Scholar]
  20. Kumar, R.; Mukherjee, P.; Pandey, R.K.; Rajmohanan, P.; Bhaumik, A. Role of oxyanions as promoter for enhancing nucleation and crystallization in the synthesis of MFI-type microporous materials. Microporous Mesoporous Mater. 1998, 22, 23–31. [Google Scholar] [CrossRef]
  21. López-León, T.; Santander-Ortega, M.J.; Ortega-Vinuesa, J.L.; Bastos-González, D. Hofmeister Effects in Colloidal Systems: Influence of the Surface Nature. J. Phys. Chem. C 2008, 112, 16060–16069. [Google Scholar] [CrossRef]
  22. Toktarev, A.V.; Echevskii, G.V. Hofmeister anion effect on the formation of zeolite beta. Stud. Surf. Sci. Catal. 2008, 174, 167–172. [Google Scholar]
  23. Leontidis, E. Hofmeister anion effects on surfactant self-assembly and the formation of mesoporous solids. Curr. Opin. Colloid Interface Sci. 2002, 7, 81–91. [Google Scholar] [CrossRef]
  24. Yang, Z. Hofmeister effects: An explanation for the impact of ionic liquids on biocatalysis. J. Biotechnol. 2009, 144, 12–22. [Google Scholar] [CrossRef] [PubMed]
  25. Gao, F.; Walter, E.D.; Kollar, M.; Wang, Y.; Szanyi, J.; Peden, C.H.F. Understanding ammonia selective catalytic reduction kinetics over Cu/SSZ-13 from motion of the Cu ions. J. Catal. 2014, 319, 1–14. [Google Scholar] [CrossRef]
  26. Ma, L.; Cheng, Y.; Cavataio, G.; McCabe, R.W.; Fu, L.; Li, J. Characterization of commercial Cu-SSZ-13 and Cu-SAPO-34 catalysts with hydrothermal treatment forNH3-SCR of NOx in diesel exhaust. Chem. Eng. J. 2013, 225, 323–330. [Google Scholar] [CrossRef]
  27. Kwak, J.H.; Tonkyn, R.G.; Kim, D.H.; Szanyi, J.; Peden, C.H.F. Excellent activity and selectivity of Cu-SSZ-13 in the selective catalytic reduction of NOx with NH3. J. Catal. 2010, 275, 187–190. [Google Scholar] [CrossRef]
  28. Zhu, H.; Kwak, J.H.; Peden, C.H.F.; Szanyi, J. In situ DRIFTS-MS studies on the oxidation of adsorbed NH3 by NOx over a Cu-SSZ-13 zeolite. Catal. Today 2013, 205, 16–23. [Google Scholar] [CrossRef]
  29. Wang, J.; Peng, Z.; Qiao, H.; Yu, H.; Hu, Y.; Chang, L.; Bao, W. Cerium-Stabilized Cu-SSZ-13 Catalyst for the Catalytic Removal of NOx by NH3. Ind. Eng. Chem. Res. 2016, 55, 1174–1182. [Google Scholar] [CrossRef]
  30. Fan, C.; Chen, Z.; Pang, L.; Ming, S.; Dong, C.; Brou Albert, K.; Liu, P.; Wang, J.; Zhu, D.; Chen, H.; et al. Steam and alkali resistant Cu-SSZ-13 catalyst for the selective catalytic reduction of NOx in diesel exhaust. Chem. Eng. J. 2018, 334, 344–354. [Google Scholar] [CrossRef]
  31. Xie, L.; Liu, F.; Ren, L.; Shi, X.; Xiao, F.S.; He, H. Excellent performance of one-pot synthesized Cu-SSZ-13 catalyst for the selective catalytic reduction of NOx with NH3. Environ. Sci. Technol. 2014, 48, 566–572. [Google Scholar] [CrossRef]
  32. Zhang, T.; Qiu, F.; Li, J. Design and synthesis of core-shell structured meso-Cu-SSZ-13@mesoporous aluminosilicate catalyst for SCR of NOx with NH3: Enhancement of activity, hydrothermal stability and propene poisoning resistance. Appl. Catal. B 2016, 195, 48–58. [Google Scholar] [CrossRef]
  33. Xu, M.; Wang, J.; Yu, T.; Wang, J.; Shen, M. New insight into Cu/SAPO-34 preparation procedure: Impact of NH4-SAPO-34 on the structure and Cu distribution in Cu-SAPO-34 NH3-SCR catalysts. Appl. Catal. B 2018, 220, 161–170. [Google Scholar] [CrossRef]
  34. Chen, Z.; Fan, C.; Pang, L.; Ming, S.; Liu, P.; Li, T. The influence of phosphorus on the catalytic properties, durability, sulfur resistance and kinetics of Cu-SSZ-13 for NOx reduction by NH3-SCR. Appl. Catal. B 2018, 237, 116–127. [Google Scholar] [CrossRef]
  35. Fickel, D.W.; Lobo, R.F. Coordination in Cu-SSZ-13 and Cu-SSZ-16 Investigated by Variable-Temperature XRD. J. Phys. Chem. C 2009, 114, 1633–1640. [Google Scholar] [CrossRef]
  36. Deka, U.; Juhin, A.; Eilertsen, E.A.; Emerich, H.; Green, M.A.; Korhonen, S.T.; Weckhuysen, B.M.; Beale, A.M. Confirmation of Isolated Cu2+ Ions in SSZ-13 Zeolite as Active Sites in NH3-Selective Catalytic Reduction. J. Phys. Chem. C 2012, 116, 4809–4818. [Google Scholar] [CrossRef]
  37. Chen, J.; Zhao, R.; Zhou, R. A new insight into active Cu2+ Species Properties in One-Pot Synthesized Cu-SSZ-13 Catalysts for NOx Reduction by NH3. ChemCatChem 2018, 10, 5182–5189. [Google Scholar] [CrossRef]
  38. Gao, F.; Washton, N.M.; Wang, Y.; Kollár, M.; Szanyi, J.; Peden, C.H.F. Effects of Si/Al ratio on Cu/SSZ-13 NH3-SCR catalysts: Implications for the active Cu species and the roles of Brønsted acidity. J. Catal. 2015, 331, 25–38. [Google Scholar] [CrossRef]
  39. Gao, F.; Wang, Y.; Washton, N.M.; Kollár, M.; Szanyi, J.; Peden, C.H.F. Alkali and Alkaline Earth Cocations on the Activity and Hydrothermal Stability of Cu/SSZ-13 NH3–SCR Catalysts. ACS Catal. 2015, 5, 6780–6791. [Google Scholar] [CrossRef]
  40. Lezcano-Gonzalez, I.; Deka, U.; van der Bij, H.E.; Paalanen, P.; Arstad, B.; Weckhuysen, B.M.; Beale, A.M. Chemical deactivation of Cu-SSZ-13 ammonia selective catalytic reduction (NH3-SCR) systems. Appl. Catal. B 2014, 154, 339–349. [Google Scholar] [CrossRef]
  41. Wang, J.; Liu, Z.; Feng, G.; Chang, L.; Bao, W. In situ synthesis of CuSAPO-34/cordierite and its selective catalytic reduction of nitrogen oxides in vehicle exhaust: The effect of HF. Fuel 2013, 109, 101–109. [Google Scholar] [CrossRef]
  42. Chen, B.; Xu, R.; Zhang, R.; Liu, N. Economical Way to Synthesize SSZ-13 with abundant ion-exchanged Cu+ for an extraordinary performance in selective catalytic reduction (SCR) of NOx by ammonia. Environ. Sci. Technol. 2014, 48, 13909–13916. [Google Scholar] [CrossRef] [PubMed]
  43. Song, J.; Wang, Y.; Walter, E.D.; Washton, N.M.; Mei, D.; Kovarik, L.; Engelhard, M.H.; Prodinger, S.; Wang, Y.; Peden, C.H.F.; et al. Toward rational design of Cu/SSZ-13 selective catalytic reduction catalysts: Implications from atomic-level understanding of hydrothermal stability. ACS Catal. 2017, 7, 8214–8227. [Google Scholar] [CrossRef]
  44. Wu, L.; Degirmenci, V.; Magusin, P.C.M.M.; Lousberg, N.J.H.G.M.; Hensen, E.J.M. Mesoporous SSZ-13 zeolite prepared by a dual-template method with improved performance in the methanol-to-olefins reaction. J. Catal. 2013, 298, 27–40. [Google Scholar] [CrossRef]
  45. Prodinger, S.; Derewinski, M.A.; Wang, Y.; Washton, N.M.; Walter, E.D.; Szanyi, J.; Gao, F.; Wang, Y.; Peden, C.H.F. Sub-micron Cu/SSZ-13: Synthesis and application as selective catalytic reduction (SCR) catalysts. Appl. Catal. B 2017, 201, 461–469. [Google Scholar] [CrossRef]
  46. Martins, G.A.V.; Berlier, G.; Coluccia, S.; Pastore, H.O.; Superti, G.B.; Gatti, G.; Marchese, L. Revisiting the nature of the acidity in chabazite-related Silicoaluminophosphates: Combined FTIR and 29Si MAS NMR study. J. Phys. Chem. C 2007, 111, 330–339. [Google Scholar] [CrossRef]
  47. Xu, L.; Du, A.; Wei, Y.; Wang, Y.; Yu, Z.; He, Y.; Zhang, X.; Liu, Z. Synthesis of SAPO-34 with only Si(4Al) species: Effect of Si contents on Si incorporation mechanism and Si coordination environment of SAPO-34. Microporous and Mesoporous Mater. 2008, 115, 332–337. [Google Scholar] [CrossRef]
  48. Barthomeuf, D. Topological model for the compared acidity of SAPOs and SiAl zeolites. Zeolites 1994, 14, 394–401. [Google Scholar] [CrossRef]
  49. Ren, L.; Zhang, Y.; Zeng, S.; Zhu, L.; Sun, Q.; Zhang, H.; Yang, C.; Meng, X.; Yang, X.; Xiao, F.-S. Design and synthesis of a catalytically active Cu-SSZ-13 zeolite from a copper-amine complex template. Chin. J. Catal. 2012, 33, 92–105. [Google Scholar] [CrossRef]
  50. Wang, J.; Peng, Z.; Qiao, H.; Han, L.; Bao, W.; Chang, L.; Feng, G.; Liu, W. Influence of aging on in situ hydrothermally synthesized Cu-SSZ-13 catalyst for NH3-SCR reaction. RSC Adv. 2014, 4, 42403–42411. [Google Scholar] [CrossRef]
Figure 1. NO conversion (a,b), NH3 conversion (c,d), N2 selectivity and N2O yield (e,f) of CuII−SSZ−13 catalysts before and after hydrothermal aging treatment. (Feed gas: 0.05% NO, 0.05% NH3, 5% O2, 10% H2O, He balance, gaseous hourly space velocity (GHSV) = 40,000 h−1).
Figure 1. NO conversion (a,b), NH3 conversion (c,d), N2 selectivity and N2O yield (e,f) of CuII−SSZ−13 catalysts before and after hydrothermal aging treatment. (Feed gas: 0.05% NO, 0.05% NH3, 5% O2, 10% H2O, He balance, gaseous hourly space velocity (GHSV) = 40,000 h−1).
Catalysts 09 00781 g001aCatalysts 09 00781 g001b
Figure 2. Scanning electron microscope (SEM) images of CuII−SSZ−13 catalysts before and after hydrothermal aging treatment.
Figure 2. Scanning electron microscope (SEM) images of CuII−SSZ−13 catalysts before and after hydrothermal aging treatment.
Catalysts 09 00781 g002
Figure 3. Hydrogen-temperature-programmed reduction (H2-TPR) profiles of CuII−SSZ−13 catalysts before (a) and after (b) hydrothermal aging treatment.
Figure 3. Hydrogen-temperature-programmed reduction (H2-TPR) profiles of CuII−SSZ−13 catalysts before (a) and after (b) hydrothermal aging treatment.
Catalysts 09 00781 g003
Figure 4. Ammonia temperature-programmed desorption (NH3−TPD) profiles of CuII−SSZ−13 catalysts before (a) and after (b) hydrothermal aging treatment.
Figure 4. Ammonia temperature-programmed desorption (NH3−TPD) profiles of CuII−SSZ−13 catalysts before (a) and after (b) hydrothermal aging treatment.
Catalysts 09 00781 g004
Figure 5. Cu 2p XPS spectra of CuII−SSZ−13 catalysts before and after hydrothermal aging treatment.
Figure 5. Cu 2p XPS spectra of CuII−SSZ−13 catalysts before and after hydrothermal aging treatment.
Catalysts 09 00781 g005
Figure 6. Solid state 27Al-Nuclear Magnetic Resonance (NMR) (ac) and 29Si-NMR (df) spectra of CuII−SSZ−13 catalysts before and after hydrothermal aging treatment.
Figure 6. Solid state 27Al-Nuclear Magnetic Resonance (NMR) (ac) and 29Si-NMR (df) spectra of CuII−SSZ−13 catalysts before and after hydrothermal aging treatment.
Catalysts 09 00781 g006
Table 1. Grain size parameters of CuII−SSZ−13 catalysts before and after hydrothermal aging treatment.
Table 1. Grain size parameters of CuII−SSZ−13 catalysts before and after hydrothermal aging treatment.
SamplesAngle (°)FWHMDiameter (nm)Area (m2)
F−Cl20.930.2630.513024
A−Cl20.960.2927.191925
F−NO320.690.2927.932620
A−NO320.870.3423.641761
F−SO420.690.2631.212639
A−SO4----
Table 2. Pore structure results of CuII−SSZ−13 catalysts before and after hydrothermal aging treatment.
Table 2. Pore structure results of CuII−SSZ−13 catalysts before and after hydrothermal aging treatment.
SamplesSBET (m2/g)V (cm3/g)D (nm)
F−Cl363.990.150.77
A−Cl242.150.100.67
F−NO3301.640.130.65
A−NO3145.840.080.56
F−SO4233.440.121.07
A−SO411.640.010.49
Table 3. H2 consumption of CuII−SSZ−13 catalysts before and after hydrothermal aging treatment.
Table 3. H2 consumption of CuII−SSZ−13 catalysts before and after hydrothermal aging treatment.
SamplesH2 Consumption (μmol g−1)Total H2 Consumption
(μmol g−1)
CuII→CuI
(CHA Cages)
CuII→CuI
(D6R)
CuII→CuI
(Total)
CuI→Cu0
F−Cl53.6928.7182.40163.34245.74
A−Cl4.3225.5629.8832.8962.77
F−NO334.75136.46171.21152.76323.97
A−NO325.74111.43137.1779.50216.67
F−SO428.6187.35115.96133.87249.83
A−SO44.1758.4862.65062.65
Table 4. The adsorbed NH3 amount of CuII−SSZ−13 catalysts before and after hydrothermal aging treatment.
Table 4. The adsorbed NH3 amount of CuII−SSZ−13 catalysts before and after hydrothermal aging treatment.
SamplesAdsorbed NH3 Amount (mmol g−1)Total Amount
(mmol g−1)
Physical
Adsorption
Weak Lewis
Acid Sites
Strong Lewis
Acid Sites
Brønsted
Acid Sites
F−Cl0.180.230.330.451.19
A−Cl0.080.100.170.210.56
F−NO30.200.210.320.541.27
A−NO30.140.190.210.280.82
F−SO40.180.230.310.471.19
A−SO40.090.110.160.230.59
Table 5. Cu 2p3/2 XPS curve-fitting results of CuII−SSZ−13 catalysts before and after hydrothermal aging treatment.
Table 5. Cu 2p3/2 XPS curve-fitting results of CuII−SSZ−13 catalysts before and after hydrothermal aging treatment.
SamplesCusur (wt%)CuII/CusurCuII/CuISisur (wt%)Alsur (wt%)Si/Alsur
F−Cl0.560.440.636.593.421.93
A−Cl0.290.150.356.302.662.37
F−NO30.340.300.616.362.442.61
A−NO30.570.170.396.662.952.26
F−SO40.260.380.526.942.502.78
A−SO40.770.240.356.653.361.98

Share and Cite

MDPI and ACS Style

Wang, M.; Peng, Z.; Zhang, C.; Liu, M.; Han, L.; Hou, Y.; Huang, Z.; Wang, J.; Bao, W.; Chang, L. Effect of Copper Precursors on the Activity and Hydrothermal Stability of CuII−SSZ−13 NH3−SCR Catalysts. Catalysts 2019, 9, 781. https://doi.org/10.3390/catal9090781

AMA Style

Wang M, Peng Z, Zhang C, Liu M, Han L, Hou Y, Huang Z, Wang J, Bao W, Chang L. Effect of Copper Precursors on the Activity and Hydrothermal Stability of CuII−SSZ−13 NH3−SCR Catalysts. Catalysts. 2019; 9(9):781. https://doi.org/10.3390/catal9090781

Chicago/Turabian Style

Wang, Meixin, Zhaoliang Peng, Changming Zhang, Mengmeng Liu, Lina Han, Yaqin Hou, Zhanggen Huang, Jiancheng Wang, Weiren Bao, and Liping Chang. 2019. "Effect of Copper Precursors on the Activity and Hydrothermal Stability of CuII−SSZ−13 NH3−SCR Catalysts" Catalysts 9, no. 9: 781. https://doi.org/10.3390/catal9090781

APA Style

Wang, M., Peng, Z., Zhang, C., Liu, M., Han, L., Hou, Y., Huang, Z., Wang, J., Bao, W., & Chang, L. (2019). Effect of Copper Precursors on the Activity and Hydrothermal Stability of CuII−SSZ−13 NH3−SCR Catalysts. Catalysts, 9(9), 781. https://doi.org/10.3390/catal9090781

Note that from the first issue of 2016, this journal uses article numbers instead of page numbers. See further details here.

Article Metrics

Back to TopTop