Abstract
The etherification of glycerol with tert-butyl alcohol in the presence of acid catalysts gives rise to the production of ethers (monoethers, diethers and triethers) of high added-value, which can be used as oxygenated additives in fuels. This reaction is limited by the thermodynamic equilibrium, which can be modified by the addition of solvents that selectively solubilize the products of interest along with tert-butyl alcohol, leading to the progress of the reaction. In this work, it has been demonstrated that the addition of dibutyl ether allows shifting the reaction equilibrium, increasing the production of diethers. From the study of the main operating conditions, it was determined that an increase in the concentration of the solvent has a positive effect on the selectivity towards the production of diethers, the concentration of the catalyst (a commercial ion exchange resin, Amberlyst 15, named A-15) and the reaction temperature were also determining variables. Working with concentrations of tert-butyl alcohol above the stoichiometric one did not report great advantages. The optimal operating conditions to maximize the conversion of glycerol and the selectivity towards diethers were: 70 °C, 20% catalyst (referred to the total starting mass of the system), the stoichiometric ratio of glycerol:tert-butyl alcohol (G:TB = 1:3) and 1:2 molar ratio of dibutyl ether:tert-butyl alcohol. A study of three consecutive reaction cycles showed the high stability of the catalyst, obtaining identical results.
1. Introduction
The renewable and biodegradable character of biodiesel has made it an interesting alternative to the use of conventional fuels [1,2,3]. Its use as combustible for diesel engines has greatly grown in recent decades [4] and is expected to grow further in the next years [5,6]. Biodiesel is a mixture of methyl esters of fatty acids [7], synthesized from animal or vegetable fats, which are non-toxic, biodegradable and renewable resources [8], obtaining glycerol (G) (about 1 kg of glycerol is generated for every 9 kg of biodiesel) as the main by-product of the process [4,9]. As a direct consequence of the increase in biodiesel production, the price of glycerol has considerably dropped [6]. Therefore, finding solutions for the valorization of this by-product to added value chemicals could improve the economy of the process [10]. Thus, the production of biodiesel on a large scale will be aided if adequate technologies capable of converting glycerol into added value chemicals are developed [11]. There are several industrial processes that use glycerol as raw material (oligomerization/polymerization, pyrolysis and gasification, selective oxidation, steam reforming, selective transesterification, etherification to fuel-oxygenates, etc.) [12,13]. Another alternative is the production of glycerol carbonate (an important glycerol derivative commonly used as a solvent in cosmetics, personal care items and medicine) from the catalytic oxidative carbonylation of the parent compound [14]. Among the existing options, an interesting alternative for the excess of glycerol generated is its transformation into oxygenated additives for liquid fuels [15], which can enhance the combustion efficiency in internal combustion engines and reduce the emission of pollutants, particularly, tert-butyl ethers of glycerol [7]. One possibility for obtaining these oxygenated compounds is the conversion of glycerol into ethers from its etherification with isobutene (IB) [16,17,18,19,20,21,22]. The use of gaseous isobutene involves the typical drawbacks of a complex three-phase system (mass transfer phenomena, security issues, etc.) [7] and other alternatives have been studied. Thus, it has been shown that the use of tert-butyl alcohol (TB), which is a by-product of polypropylene production, instead of isobutene, could be preferable since (i) The reagents are in the same phase, (ii) prevents the oligomerization of isobutene [9,23] and (iii) allows to overcome the technological problems arising from the need to use solvents (i.e., dioxane, dimethyl sulfoxide) able to dissolve glycerol [7,24].
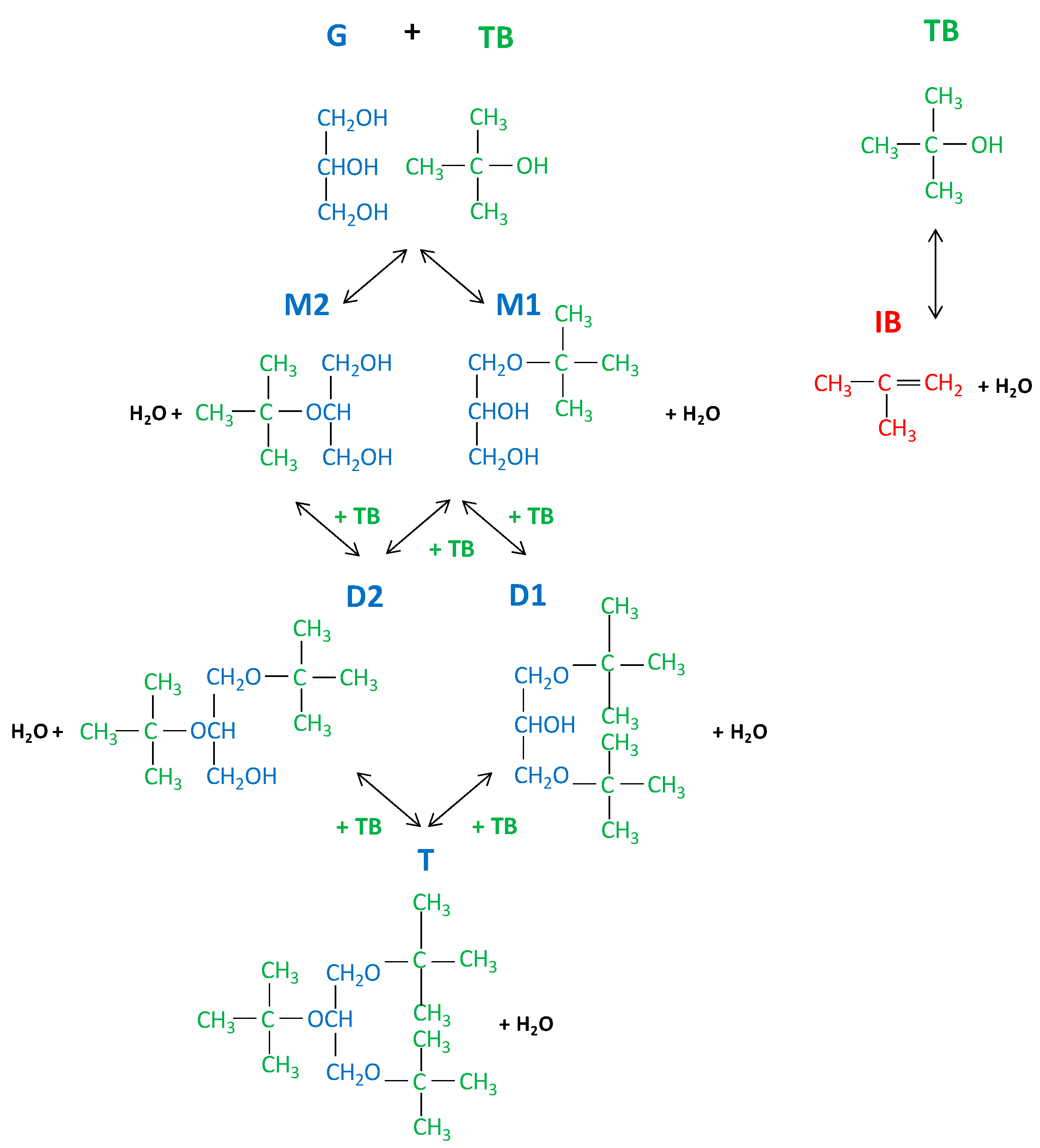
The etherification of glycerol with tert-butyl alcohol proceeds according to a consecutive path giving rise to a mixture of five tert-butyl ethers, namely monoethers (M1, M2), diethers (D1, D2) and, eventually, triether (T) (Figure 1). These compounds, mainly diethers and triethers, are considered excellent additives for diesel fuels (diesel, biodiesel and their mixtures) [9,19,22]. The solubility of monoethers in diesel fuel is quite low. Therefore, in order to avoid an additional separation step, the etherification of glycerol should address the generation of higher glycerol ethers (di- and triethers) [16]. On the other hand, it has been demonstrated that the production of triether is usually highly limited due to steric hindrance [7,9]. Thus, the selectivity of glycerol towards the production of di-substituted ethers should be maximized. Otherwise, it should to be noted the undesired (and inevitable) reaction of dehydration of TB to isobutene (IB) (secondary reaction) and the generation of water in each stage of the reaction, which negatively affects de etherification equilibrium (Figure 1) and competes with the reagents (glycerol and tert-butyl alcohol) for the active adsorption sites of the catalyst [7,25].
Figure 1.
Reaction scheme of glycerol (G) etherification with tert-butyl alcohol (TB) and secondary reaction to isobutene (IB) from TB dehydration. Adapted from Pico et al., 2012 [9].
Interesting results were obtained when water was removed from the reaction medium, leading to an improvement in ethers production [7,25]. The dehydration of the reaction system (etherification of glycerol with tert-butyl alcohol with a commercial ion exchange resin as catalyst) by using zeolites as water adsorbents after 6 h reaction time resulted in a net increase in the yield of diethers from 28.5% to 41.5% [7]. Ozbay et al. (2012) [25] also found a significant enhancement of glycerol conversion and diether yield by the in situ removal of water generated during the sequential etherification reactions (the selectivity towards diether increased from 20 to 33% when a zeolite:catalyst ratio of 4:1 was used). Another possibility (very little studied so far) could be adding a solvent (not miscible with water or with low water solubility) to the reaction medium able to selectively dissolve TB along with the generated ethers, allowing in this way the progress of the reaction. Roze et al. (2013) found that performing the reaction in toluene, which works as a water removing agent, influenced the etherification reaction significantly increasing the conversion of glycerol and the yield of glycerol ethers [26]. Two other solvents, 1,4-dioxane and ethanol, were tested, but lead to worse results [26].
This reaction requires the use of acid catalysts, such as sulfuric acid, ion exchange resins, zeolites, mesostructured silicas, etc. [9,26]. Amongst the heterogeneous catalysts (more advantageous from an environmental point of view due to their easy separation at the end of the process and its possible reuse), the most convenient ones have turned out to be ion exchange resins [27]. Among them, the commercial Amberlite 15 resin (A-15) has given interesting results in the etherification of glycerol with tert-butyl alcohol [7,9,23] due to its high acidity and good stability. This catalyst exhibited higher activity than other acid systems such as Nafion® on amorphous silica and a home-made mesoestructurated silica supported acid catalyst because of the wider pore diameter of the A-15, which allowed easier accessibility of the reagent molecules [7]. Pico et al. (2013) [23] found that this catalyst also showed better performance in the etherification of glycerol with tert-butyl alcohol (higher glycerol conversion and selectivity towards diethers) than other commercial ion-exchange resins (Ambertite 200 and Amberlite IRC-50) because of its higher acidity and better textural properties. However, the maximum selectivity of glycerol towards the products of interest (diethers) in the presence of A-15 catalyst was relatively low (28.5% [7] and 21% [23]). The explanation to this fact was that the thermodynamic equilibrium was reached. Accordingly, further research to modify this equilibrium and increase the yield to di- and triethers is required.
The objective of the present work is to shift the equilibrium of the glycerol etherification reaction with TB towards the production of diethers. To do this, dibutyl ether (DBE), non-miscible with water (DBE solubility in water = 0.113 g L−1), has been introduced as a solvent into the reaction system to selectively solubilize the ethers, partially solubilize TB and minimize the presence of water in this phase. Dibutyl ether was selected among other organic solvents due to its interesting properties: Non-polar nature, low solubility in water, low reactivity, low toxicity, high flash point, etc.
In this way, working with a biphasic system, the progress of the reaction from monoethers to diethers could be favored. A-15 heterogeneous catalyst, a commercial ion-exchange resin, accepted as the most suitable catalyst for this reaction, has been used in this study. The influence of the main operating variables (DBE concentration, catalyst concentration, reaction temperature and TB concentration) has been evaluated with the aim of finding the optimal conditions to maximize the yield of the reaction and the selectivity towards the products of interest. Finally, the stability of the catalyst in three consecutive reaction cycles has been demonstrated.
2. Results and Discussion
The results obtained have been discussed and evaluated according to the conversion of reagents, glycerol (G) and tert-butyl alcohol (TB) (Equations (1) and (2)) and the selectivity towards the generated ethers (M, D and T) at different reaction times, calculated from the following expressions:
The terms SM and SD include the selectivity towards the two monoethers (M1 + M2) and diethers (D1 + D2), respectively (see Figure 1). The sum of selectivities (SM + SD + ST) is equal to 100%. The selectivity towards the triether (T) was in all the experiments below 1% (probably due to steric hindrance [7,9]) so it has not been considered in the discussion of results.
In addition to the parameters discussed above, the selectivity towards the production isobutene (IB), an undesired product of the reaction (Figure 1), and calculated from Equation (6) at 360 min of reaction time, has also been taken into account:
2.1. Preliminary Results: Solubility Study
The aim of introducing DBE as a solvent in the etherification reaction between TB and G is to improve the production of diethers (compounds with higher added value than monoethers). For that purpose, it is necessary that the first products of the reaction (M1 and M2), as well as a fraction of TB (to continue the etherification reaction), are selectively solubilized in the organic phase (DBE), keeping most of the water generated in the other phase. In this way, the reaction equilibrium could be modified.
The distribution of the different compounds selected to carry out this essay (see Section 4.3.1. Solubility test) in the two phases (named as hydrophilic and hydrophobic phases), determined by gas-chromatographic and Karl Fischer analyses, is collected in Table 1. As can be seen, 100% of G remained in the hydrophilic phase, while most of TB (77%) and M1 (61%) were solubilized in the hydrophobic phase. Thus, the presence of DBE led to a different compounds-distribution, obtaining M1 (reaction product) and TB (reagent necessary for the progress of the reaction) preferentially in the hydrophobic phase. In view of these results, most of the water (84%) was removed from the reaction phase, an improvement in the selectivity towards the products of interest can be expected.
Table 1.
Distribution of the compounds involved in the etherification of G in the hydrophilic and hydrophobic phases.
2.2. Role of DBE as Solvent in the Etherification of Glycerol
To verify this hypothesis (modification of the reaction equilibrium and positive effect of DBE on the etherification reaction of G with TB), the selectivity of G towards the reaction products (M and D) obtained in the presence of DBE (experiment R5, Table 3, Materials and Methods section) was compared, for the same glycerol conversion value (XG = 82%), with that obtained in the absence of DBE (data obtained elsewhere at similar operating conditions [9]). The results are depicted in Figure 2. As can be seen, the introduction of DBE into the reaction system led to a substantial increase in the selectivity towards the diethers (SD increased from 21% to 40% when DBE was added to the system), confirming the positive role of this solvent.
Table 3.
Operating conditions of the etherification runs.
Figure 2.
Effect of DBE on the selectivity towards the reaction products (M and D).
On the other hand, the equilibrium constants of reactions giving rise to the generation of M and D (Keq,M and Keq,D, respectively) in the absence and the presence of DBE have been also compared. The expression of the equilibrium constants without were obtained from Pico et al. (2012) [9] (Equations (7) and (8)), whereas the corresponding equilibrium constants in the presence of DBE were experimentally obtained by using the Equations (9) and (10) (R1, t = 360 min):
In Equations (9) and (10), the concentration of reactants and products have been calculated considering a pseudo-homogeneous phase, being expressed all of them in mmol kg−1. The values obtained for the equilibrium constants are summarized in Table 2.
Table 2.
Equilibrium constants in the absence and presence of DBE as solvent.
2.3. Operation Condition Study
Once the positive effect of DBE on the etherification of glycerol with TB was confirmed, a study of the main operating variables was carried out, including the concentration of the solvent and the catalyst, the operating temperature and the concentration of TB.
2.3.1. Effect of DBE Concentration
The effect of DBE concentration was evaluated by working at 70 °C, 4 bar, the stoichiometric reagents molar ratio (G:TB = 1:3) and a catalyst concentration of 20% (referred to the initial mass of the system) using two molar ratios of DBE:TB, 1:2 and 1:5. The results of reagents conversion (XG, XTB) and products selectivity (SM, SD) with reaction time are depicted in Figure 3a,b, respectively.
Figure 3.
Influence of DBE concentration on G and TB conversion (a) and M and D selectivity (b) with reaction time. Operating conditions: 70 °C, 4 bar, G:TB = 1:3, Ccat = 20% (runs R1 and R2 of Table 3).
The reagents conversion (G and TB) was very fast in the early stages of the reaction (t < 60 min) (Figure 3a). From this reaction time, the conversion of glycerol hardly changed until the end of the experiment (XG ≈ 85%, t = 360 min) and that of TB progressively increased. G conversion was always higher than TB conversion since the stoichiometric dose of these reagents were used and G only participates in the first step of the reaction (Figure 1).
As the etherification of G with TB is a series reaction, it is considered that the selectivity towards M is maximum at zero reaction time. Once produced, M1 and M2 react with TB giving rise to the generation of D1 and D2 (Figure 1). Thus, as the reaction proceeds, the selectivity towards M decreases, while the selectivity towards D increases (Figure 3b).
An increase in DBE concentration led to higher conversions of both reagents (Figure 3a) and therefore, greater production of the interest compounds. Thus, the conversion of G and TB at 360 min increased from 74 and 48% to 84 and 62%, respectively, when using a DBE:TB ratio = 1:5 and 1:2. As can be seen in Figure 3b, the selectivity towards the diethers was also favored when increasing the solvent concentration (from 35 to 44%, at 360 min reaction time). Therefore, a higher proportion of DBE in the reaction medium (with respect to the reagents) increased the production of diethers (greater conversion of reagents and selectivity towards these compounds).
The selectivity towards the production of IB at 360 min reaction time slightly increased with the concentration of DBE (from 35 to 39 when using a ratio DBE:TB of 1:5 and 1:2, respectively), as can be seen in Figure 4a.
Figure 4.
Effect of different operating variables on IB selectivity. Operating conditions: 70 °C, G:TB = 1:3, Ccat = 20% (a), 70 °C, G:TB = 1:3, DBE:TB = 1:2 (b), G:TB = 1:3, DBE:TB = 1:2, Ccat = 20% (c) 70 °C, DBE:TB = 1:2, Ccat = 20% (d).
Finally, it must be pointed out that the addition of DBE to the reaction system is not a major problem because TB and DBE can be easily recycled from the hydrophobic phase (by distillation) and being reused in a new cycle. Besides, this leads to the recovery of purified ethers from the reaction media. Thus, it was decided to work with the highest concentration tested of this solvent in the following experiments (DBE:TB = 1:2).
2.3.2. Effect of Catalyst Concentration
In previous works, it was found that the optimal concentration of A-15 in the etherification of G with TB was 7.5% [9]. However, considering that the reaction equilibrium has been modified due to the addition of DBE, this parameter may have been affected and it must be studied again.
Thus, the influence of A-15 concentration working with three catalyst loads (10, 20 and 30%) and maintaining constant the other operating variables (70 °C, 4 bar, G:TB = 1:3, DBE:TB = 1:2) has been evaluated. A control experiment without catalyst was also performed, obtaining negligible conversions of the reagents during 360 min (data not shown), which is in agreement with the results previously published in the absence of co-solvent [7]. As can be seen in Figure 5a, the conversion of G greatly increased by increasing the concentration of A-15 from 10 to 20%, but this increase was negligible for higher concentrations. Surprisingly, the conversion of TB when using a catalyst concentration of 20% (R1) was higher than the corresponding to a catalyst load of 30% (R4). A catalyst content in the reaction medium of 30% could be excessive, resulting probably in the formation of aggregates, which reduces the active area of the catalyst and therefore, part of the catalytic surface could remain inaccessible to the reagents.
Figure 5.
Influence of catalyst concentration on G and TB conversion (a) and M and D selectivity (b) with reaction time. Operating conditions: 70 °C, 4 bar, G:TB = 1:3, DBE:TB = 1:2 (R3, R1 and R4).
Furthermore, the selectivity towards the diethers greatly improved (from 26 to 44% at 360 min reaction time) by increasing the concentration of the catalyst from 10 to 20%, but no improvement was obtained when operating with higher catalyst concentrations (Figure 5b).
On the other hand, the concentration of catalyst seems to have no significant effect on the selectivity towards isobutene (Figure 4b). Consequently, it has been estimated that the optimal catalyst concentration in this system is 20%.
2.3.3. Effect of Operating Temperature
The equilibrium of the reaction is determined by the operating temperature, so this variable plays a key role. Thus, knowing the effect of this parameter on the etherification of G with TB in the presence of DBE is necessary. The etherification reaction was carried out at three different temperatures (60, 70 and 80 °C), always below the maximum temperature at which the catalyst can be subjected to (120 °C, property provided by the supplier) and maintaining invariable the other operating conditions (4 bar, G:TB = 1:3, DBE:TB = 1:2, Ccat = 20%). Moreover, it has been previously observed that when working at higher temperatures (≥ 90 °C), glycerol was not totally converted due to the occurrence of de-etherification reactions [7,19].
As expected, an increase in the operating temperature led to higher reaction rates and consequently, higher conversions of G and TB at the equilibrium, due to the endothermic nature of the reactions (this effect was especially notable in the case of TB, Figure 6a). These results are in agreement with those published when no solvent was added to the reaction medium. Similarly, as the reaction temperature increased, the selectivity towards the formation of diethers also increased (Figure 6b). Once the reaction equilibrium was reached (360 min) at 80 °C (R6), SD was higher than SM (Figure 6b). The introduction of DBE in the reaction system led to a new reaction equilibrium that allowed operating at higher temperatures. It should be noted that at this temperature (80 °C), in the absence of DBE, the selectivity towards the diethers was only 23% [9].
Figure 6.
Influence of reaction temperature on G and TB conversion (a) and M and D selectivity (b) with reaction time. Operating conditions: 4 bar, G:TB = 1:3, DBE:TB = 1:2, Ccat = 20% (R5, R1 and R6).
Otherwise, the secondary reaction of IB production was also favored by an increase in temperature (Figure 4c), and the yield of the reaction towards the products of interest decreased. For this reason, and in order to reach a compromise between the conversion of reagents, the selectivity towards the products of interest and the selectivity towards IB, 70 °C has been selected as the most convenient reaction temperature.
2.3.4. Effect of Tert-Butyl Alcohol (TB) Concentration
Three G:TB molar ratios have been tested, one corresponding to the stoichiometric ratio between both reagents for a total conversion to triether (G:TB = 1:3, R1) and two others in which TB was in excess (G:TB = 1:4 and 1:5, R7 and R8, respectively), maintaining constant the other operating conditions (70 °C, 4 bar, DBE:TB = 1:2, Ccat = 20%). The results have been depicted in Figure 7a,b. The conversion of G was hardly affected by the concentration of TB (≈ 85% at 360 min, regardless of the G:TB ratio, Figure 7a). Consequently, the extension of the reaction did not change when working with an excess of TB. As expected, the conversion of TB decreased when increasing the concentration of this reagent.
Figure 7.
Influence of reaction temperature on G and TB conversion (a) and M and D selectivity (b) with reaction time. Operating conditions: 70 °C, 4 bar, DBE:TB = 1:2, Ccat = 20% (R1, R7 and R8).
Regarding the selectivity towards mono and diethers, it has been shown that a modification in the G:TB ratio did not affect the reaction in terms of products distribution and therefore, no significant changes were observed in the selectivity towards M and D (Figure 7b). These results are in agreement with those obtained by Frustreri et al. (2009) when working with a similar reaction system in the absence of DBE [7]. Finally, the generation of non-desired reaction products, IB (Figure 4d) and water (data do not shown) increased when increasing TB concentration. The selectivity towards IB increased from 39 to 48% when the ratio G:TB was 1:3 and 1:5, respectively (Figure 4d). Thus, it was determined that working with an excess of TB is not necessary in this system, thus reducing the costs of the process.
2.4. Catalyst Stability
The stability of the catalyst is a key factor for the economy of the process, especially taking into account the high concentration of catalyst used in the present study (20%, referred to the total starting mass of the system).
Once the reaction was stopped (360 min), the catalyst was filtered (by using a vacuum pump), washed with distilled water and stored in methanol [22,23]. Before undergoing a new catalytic cycle, the catalyst was separated from methanol and dried for 12 h at 60 °C. The stability study was carried out under the experimental conditions of R1 (70 °C, 4 bar, DBE:TB = 1:3, DBE:TB = 1:2 and Ccat = 20%), considered the most appropriate conditions from the previous results (2.3. Operation Condition Study). As can be seen in Figure 8a,b, the evolution of the conversion of both reagents (G and TB) and the selectivity towards the products of interest (M and D) with reaction time were constant during the three consecutive reaction cycles. Moreover, the selectivity towards secondary reactions (IB production) was not modified (data not shown). Thus, A-15 showed excellent stability under the selected operating conditions.
Figure 8.
Influence of reaction temperature on G and TB conversion (a) and M and D selectivity (b) with reaction time. Operating conditions: 70 °C, 4 bar, G:TB = 1:3, DBE:TB = 1:2, Ccat=20% (R1, R9 and R10).
3. Conclusions
It has been demonstrated that the addition of dibutyl ether (DBE) as solvent in the etherification of glycerol (G) with tert-butyl alcohol (TB) in the presence of an acid solid catalyst (ion exchange commercial resin Amberlyst, A-15) had a positive effect since this compound allowed shifting the reaction equilibrium towards the formation of diethers (D).
The study of the main operating conditions revealed that an increase in the concentration of DBE improved the conversion of reagents (G and TB) and the selectivity towards the products of interest (D) without modifying the production of isobutene (IB), an undesired by-product. The concentration of catalyst played an important role, increasing the production and selectivity to diethers. It has been determined that the optimal concentration of A-15 was 20%. On the other hand, an increase in the operating temperature (from 60 to 80 °C) greatly increased the selectivity towards diethers. However, it is necessary to reach a compromise value (Ta = 70 °C) to minimize the undesired production of IB. Finally, the molar ratio G:TB had negligible influence on the performance of the reaction. Therefore, it has been concluded that working with the stoichiometric ratio (G:TB = 1:3) is the most convenient option.
The reuse of the catalyst in three consecutive reaction cycles showed its high stability, achieving identical results in terms of reagents conversion and selectivity towards the products of interest.
4. Materials and Methods
4.1. Reagents
Anhydrous glycerol (G, C3H8O3, purity ≥ 99.8%), supplied by Fluka (Bucharest, Romania), and anhydrous tert-butyl alcohol (TB, C4H10O, purity ≥ 99.5%), provided by Sigma-Aldrich (Darmstadt, Germany), were employed as reagents. Dibutyl ether (DBE, C8H18O, purity ≥ 99.3%), purchased by Sigma-Aldrich was used as solvent to improve the performance of the etherification reaction. Pyridine reagent grade (C5H5N, purity ≥ 99.5%), supplied by Scharlau (Madrid, Spain), was used as solvent for the preparation of the samples before analysis. 1-terbutoxipropano-2,3-diol (M1) was used for the calibration of the gas chromatograph (GC). 1-Pentanol (C5H12O, purity ≥ 99%) supplied by Sigma-Aldrich (Darmstadt, Germany), was employed as internal standard compound (ISTD) in the GC analysis. Hydranal-Composite 5 and dry Hydranal-Methanol, both from Sigma-Aldrich (Darmstadt, Germany), were used as reactive compound and solvent, respectively, for the water analysis. Methanol (CH4O, purity ≥ 99.8%, Sigma-Aldrich, -Darmstadt, Germany) was used to wash the catalyst between successive reactions.
4.2. Catalyst
Commercial acid ion-exchange resin Amberlyst 15 (A-15) was supplied by Fluka (Bucharest, Romania) and used as received, without further treatments. This catalyst was selected by Pico et al. (2012) as the most interesting material among three types of commercial ion exchange resins (i.e., Amberlyst 15, Amberlite 200 and Amberlite IRC-50) tested in the etherification of glycerol [9]. The A-15 resin showed the highest activity (glycerol conversion) and selectivity towards the desired product (diethers, D).
The BET surface area, average pore volume, external surface area, and average pore diameter are SBET = 44 m2 g−1, Vp = 0.338 cm3 g−1, At = 44 m2 g−1, and dp = 50 × 10−8 m, respectively. The exchange capacity of the catalysts studied (NaCl 0.5 mol L−1 and NaOH 0.1 mol L−1) is 4.05 eq Kg−1. Further information and details about A-15 characterization can be found elsewhere [9].
4.3. Etherification Experiments
4.3.1. Solubility Test
Firstly, a solubility test of the compounds involved in the reaction (G, TB), as well as the only ether commercially available (M1), was carried out in a water:DBE system (1:1). The aim of this preliminary experiment is to study the distribution of reagents and products between both phases aqueous (hydrophilic) and organic (hydrophobic). This test was carried out at atmospheric pressure and ambient temperature, so the quantitative results could not be directly extrapolated to those obtained under the reaction conditions, but they will be representative to know the distribution of these compounds between both phases.
The reagents were added to a glass reactor and stirred vigorously with a vortex-type stirrer during 10 min. After that, the aqueous and organic phases were separated with the aid of a decanter and immediately analyzed.
4.3.2. Etherification Reactions
Etherification reactions were carried out batch-wise in an autoclave reactor (BüchiGlasUster. Uster Switzerland, 50 mL) with magnetic stirring at constant temperature and pressure (N2, 4 bar). The stirring speed selected (1000 rpm) guarantee the absence of external mass-transfer resistances [9]. At these conditions, internal mass-transfer limitations were discarded in a previous work [9]. The reactor was held at constant temperature by immersion in a hot water bath. The reactor temperature was continuously measured and controlled with a thermocouple immersed in the liquid reaction medium.
In a typical run, the catalyst was charged into the vessel of the reactor with the appropriate volume of the solvent (DBE). Then, the reactor was stoppered, heated and pressurized under nitrogen atmosphere to the desired conditions. When the selected temperature was reached, the reagents (G and TB) were injected and the stirring started (the total mass of the system was fixed at 40 g). This time was considered the starting point of the reaction. During reaction time, liquid samples (emulsified) were periodically withdrawn from the reactor and immediately injected in a vial (submerged in crushed ice) containing a known volume of cold pyridine. The diluted samples were subsequently analyzed. Gaseous isobutylene (IB), continuously generated from TB dehydration (Figure 1), was recovered with a cold trap filled with pyridine (located just after the reactor to liquefy the sample) during the whole reaction time. The concentration of IB was measured at the end of the run to check the mass balance and calculate the selectivity of TB towards this non-desired compound. After 360 min, the reaction was finally stopped by cooling the reactor.
Table 3 summarizes the operating conditions selected for each experiment. Etherification runs were performed with two solvent concentrations (DBE:TB molar ratios used were 1:2 and 1:5), three different catalyst loading (from 10 to 30 %, referred to the total starting mass, G + TB + DBE), three temperatures within the range 60–80 °C, and three different concentrations of TB (the G:TB molar ratios used were 1:3, 1:4 and 1:5). The molar ratio G:TB = 1:3 corresponds to the stoichiometric ratio. Once the optimum reaction conditions have been selected, the stability of the catalyst was studied during three consecutive reaction cycles.
4.3.3. Analytical Methods
The progress of the reaction was followed by analyzing liquid samples at different reaction times.
The reactor composition (TB, G, IB and the different ethers generated, M1, M2, D1, D2 and T) was analyzed by means of an Agilent 6850 gas chromatograph (Santa Clara, CA, USA) fitted with a flame ionization detector (GC-FID). An HP Innowax chromatography column (30 m length × 0.32 mm internal diameter) was used as stationary phase. The chromatographic conditions selected were the following: Initial oven temperature 40 °C, final oven temperature 220 °C, program rate 20 °C min−1. 1-Pentanol was used as internal standard, ISTD, to minimize the error in the quantification of the different compounds. Commercial 1-tert-butoxypropane-2,3-diol (M1) was employed to obtain the corresponding response factor for this compound, which was extrapolated to the non-commercial products such as 2-tert-butoxypropane-1,3-diol (M2), 1,3-di-tert-butoxypropan-2-ol (D1), 1,2-di-tert-butoxypropan-3-ol (D2), and 1,2,3- tri-tert-butoxypropane (T).
Water concentration (generated in the different steps of the reaction) was measured at the end of the experiment (360 min) with a quantitative Karl Fischer analyzer (Titromatic 1S Crison, Barcelona, Spain).
Author Contributions
A.S. and A.R. made substantive intellectual contributions to this study, especially with the conceptualization and the methodology used. C.M.D. conceived and performed the experiments and wrote the paper. All the authors have been also involved in drafting and revising the manuscript, so that everyone has given final approval of the current version to be published in Catalysts Journal.
Funding
This research received no external funding.
Acknowledgments
Carmen M. Domínguez acknowledges the Spanish MICINN for the “Juan de la Cierva” post-doctoral grant (FJCI-2016-28462).
Conflicts of Interest
The authors declare no conflict of interest.
References
- Demirbas, A. Progress and recent trends in biofuels. Prog. Energy Combust. Sci. 2007, 33, 1–18. [Google Scholar] [CrossRef]
- Sani, Y.M.; Daud, W.M.A.W.; Aziz, A.R.A. Activity of solid acid catalysts for biodiesel production: A critical review. Appl. Catal. A 2014, 470, 140–161. [Google Scholar] [CrossRef]
- Knothe, G.; Krahl, J.; Van Gerpen, J. The Biodiesel Handbook; Elsevier: Amsterdam, The Netherlands, 2015. [Google Scholar]
- Meher, L.; Sagar, D.V.; Naik, S. Technical aspects of biodiesel production by transesterification—A review. Renew. Sustain. Energy Rev. 2006, 10, 248–268. [Google Scholar] [CrossRef]
- Melero, J.A.; Vicente, G.; Paniagua, M.; Morales, G.; Muñoz, P. Etherification of biodiesel-derived glycerol with ethanol for fuel formulation over sulfonic modified catalysts. Bioresour. Technol. 2012, 103, 142–151. [Google Scholar] [CrossRef]
- Jaworski, M.A.; Vega, S.R.; Siri, G.J.; Casella, M.L.; Salvador, A.R.; López, A.S. Glycerol etherification with benzyl alcohol over sulfated zirconia catalysts. Appl. Catal. A 2015, 505, 36–43. [Google Scholar] [CrossRef]
- Frusteri, F.; Arena, F.; Bonura, G.; Cannilla, C.; Spadaro, L.; Di Blasi, O. Catalytic etherification of glycerol by tert-butyl alcohol to produce oxygenated additives for diesel fuel. Appl. Catal. A 2009, 367, 77–83. [Google Scholar] [CrossRef]
- Bozbas, K. Biodiesel as an alternative motor fuel: Production and policies in the European Union. Renew. Sustain. Energy Rev. 2008, 12, 542–552. [Google Scholar] [CrossRef]
- Pico, M.P.; Romero, A.; Rodríguez, S.; Santos, A. Etherification of glycerol by tert-butyl alcohol. Ind. Eng. Chem. Res. 2012, 51, 9500–9509. [Google Scholar] [CrossRef]
- Pico, M.P.; Rodríguez, S.; Santos, A.; Romero, A. Etherification of glycerol with benzyl alcohol. Ind. Eng. Chem. Res. 2013, 52, 14545–14555. [Google Scholar] [CrossRef]
- Marchetti, J.; Miguel, V.; Errazu, A. Possible methods for biodiesel production. Renew. Sustain. Energy Rev. 2007, 11, 1300–1311. [Google Scholar] [CrossRef]
- Silva, P.H.R.; Gonçalves, V.L.C.; Mota, C.J.A. Glycerol acetals as anti-freezing additives for biodiesel. Bioresour. Technol. 2010, 101, 6225–6229. [Google Scholar] [CrossRef]
- Sivaiah, M.V.; Robles-Manuel, S.; Valange, S.; Barrault, J. Recent developments in acid and base-catalyzed etherification of glycerol to polyglycerols. Catal. Today 2012, 198, 305–313. [Google Scholar] [CrossRef]
- Gabriele, B.; Mancuso, R.; Salerno, G.; Veltri, L.; Costa, M.; Dibenedetto, A. A general and expedient synthesis of 5-and 6-membered cyclic carbonates by palladium-catalyzed oxidative carbonylation of 1, 2-and 1, 3-diols. ChemSusChem 2011, 4, 1778–1786. [Google Scholar] [CrossRef]
- Karinen, R.; Krause, A. New biocomponents from glycerol. Appl. Catal. A 2006, 306, 128–133. [Google Scholar] [CrossRef]
- Klepáčová, K.; Mravec, D.; Kaszonyi, A.; Bajus, M. Etherification of glycerol and ethylene glycol by isobutylene. Appl. Catal. A 2007, 328, 1–13. [Google Scholar] [CrossRef]
- Klepáčová, K.; Mravec, D.; Bajus, M. Tert-butylation of glycerol catalysed by ion-exchange resins. Appl. Catal. A. 2005, 294, 141–147. [Google Scholar] [CrossRef]
- Izquierdo, J.F.; Montiel, M.; Pales, I.; Outon, P.R.; Galan, M.; Jutglar, L.; Villarrubia, M.; Izquierdo, M.; Hermo, M.P.; Ariza, X. Fuel additives from glycerol etherification with light olefins: State of the art. Renew. Sust. Energ. Rev. 2012, 16, 6717–6724. [Google Scholar] [CrossRef]
- Melero, J.A.; Vicente, G.; Morales, G.; Paniagua, M.; Moreno, J.M.; Roldán, R.; Ezquerro, A.; Pérez, C. Acid-catalyzed etherification of bio-glycerol and isobutylene over sulfonic mesostructured silicas. Appl. Catal. A 2008, 346, 44–51. [Google Scholar] [CrossRef]
- Zhao, W.; Yang, B.; Yi, C.; Lei, Z.; Xu, J. Etherification of glycerol with isobutylene to produce oxygenate additive using sulfonated peanut shell catalyst. Ind. Eng. Chem. Res. 2010, 49, 12399–12404. [Google Scholar] [CrossRef]
- Lee, H.J.; Seung, D.; Filimonov, I.N.; Kim, H. Etherification of glycerol by isobutylene. Effects of the density of acidic sites in ion-exchange resin on the distribution of products. Korean J. Chem. Eng. 2011, 28, 756–762. [Google Scholar] [CrossRef]
- Lee, H.J.; Seung, D.; Jung, K.S.; Kim, H.; Filimonov, I.N. Etherification of glycerol by isobutylene: Tuning the product composition. Appl. Catal. A 2010, 390, 235–244. [Google Scholar] [CrossRef]
- Pico, M.P.; Rosas, J.M.; Rodríguez, S.; Santos, A.; Romero, A. Glycerol etherification over acid ion exchange resins: Effect of catalyst concentration and reusability. J. Chem. Technol. Biotechnol. 2013, 88, 2027–2038. [Google Scholar] [CrossRef]
- Chang, J.; Chen, D. Optimization on the etherification of glycerol with tert-butyl alcohol. J. Taiwan Inst. Chem. Eng. 2011, 42, 760–767. [Google Scholar] [CrossRef]
- Ozbay, N.; Oktar, N.; Dogu, G.; Dogu, T. Effects of sorption enhancement and isobutene formation on etherification of glycerol with tert-butyl alcohol in a flow reactor. Ind. Eng. Chem. Res. 2012, 26, 8788–8795. [Google Scholar] [CrossRef]
- Roze, M.; Kampars, V.; Teivena, K.; Kampare, R.; Liepiņš, E. Catalytic etherification of glycerol with alcohols. Mat. Sci. Appl. Chem. 2013, 28, 67–72. [Google Scholar] [CrossRef]
- Melero, J.A.; Iglesias, J.; Morales, G. Heterogeneous acid catalysts for biodiesel production: Current status and future challenges. Green Chem. 2009, 11, 1285–1308. [Google Scholar] [CrossRef]
© 2019 by the authors. Licensee MDPI, Basel, Switzerland. This article is an open access article distributed under the terms and conditions of the Creative Commons Attribution (CC BY) license (http://creativecommons.org/licenses/by/4.0/).







