Immobilization of Phospholipase D on Silica-Coated Magnetic Nanoparticles for the Synthesis of Functional Phosphatidylserine
Abstract
:1. Introduction
2. Results and Discussion
2.1. Characterization of Silica-Coated Magnetic Nanoparticles
2.2. Immobilized Conditions of PLDa2
2.3. Characterization of Immobilized PLDa2
2.3.1. Effect of Temperature on the Activity and Stability of Free and Immobilized PLDa2
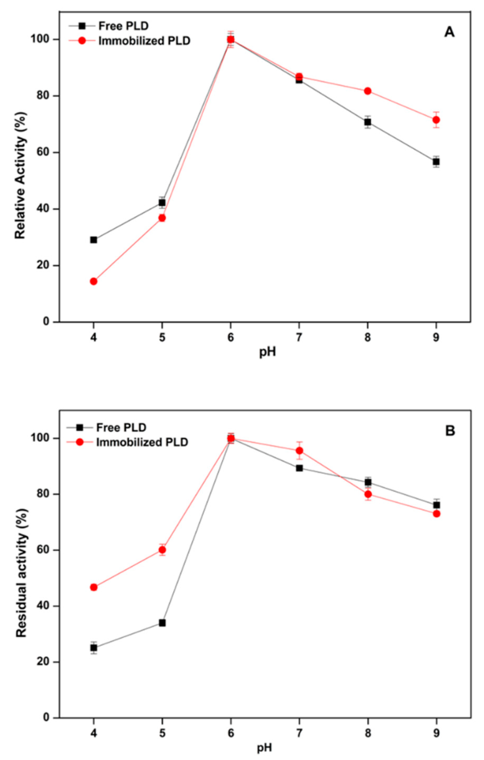
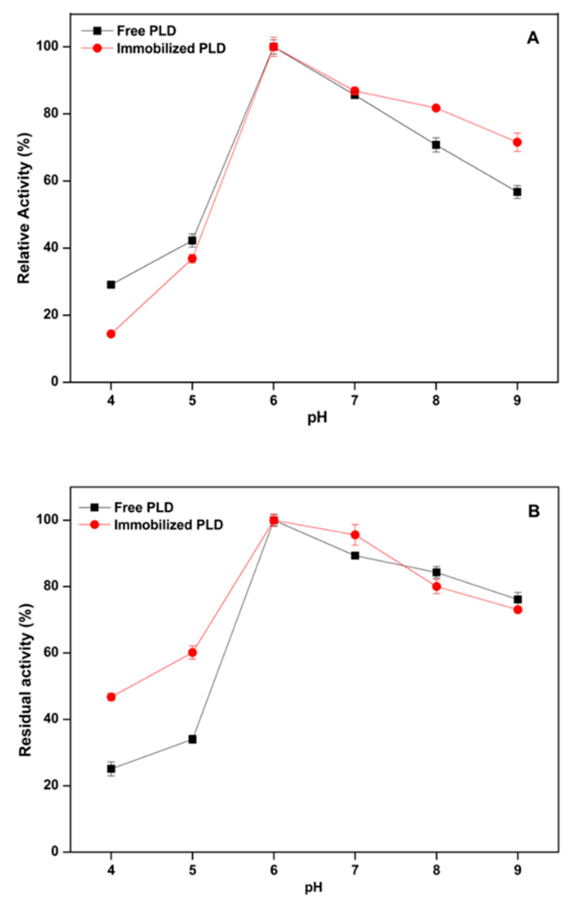
2.3.2. Effect of pH on the Activity and Stability of Free and Immobilized PLDa2
2.3.3. Operational and Storage Stability of Immobilized PLDa2
3. Materials and Methods
3.1. Materials
3.2. Production of Enzyme PLDa2
3.3. Preparation and Characterization of Silica-Coated Magnetic Nanoparticles
3.4. Enzyme Immobilization on Silica-Coated Magnetic Nanoparticles
3.5. Characterization of Free and Immobilized Enzymes
3.6. Operating Stability Assay
3.7. Storage Stability Assay
3.8. Determination of Hydrolysis Activity
3.9. High-Performance Liquid Chromatography (HPLC) Assay
4. Conclusions
Author Contributions
Funding
Conflicts of Interest
References
- Waite, M. The PLD superfamily: Insights into catalysis. Biochim. Biophys. Acta 1999, 1439, 187–197. [Google Scholar] [CrossRef]
- Hanahan, D.J.; Chaikoff, I.L. A new phospholipide-splitting enzyme specific for the ester linkage between the nitrogenous base and the phosphoric acid grouping. J. Biol. Chem. 1947, 169, 699–705. [Google Scholar] [PubMed]
- Khatoon, H.; Mansfeld, J.; Schierhorn, A.; Ulbrich-Hofmann, R. Purification, sequencing and characterization of phospholipase D from Indian mustard seeds. Phytochemistry 2015, 117, 65–75. [Google Scholar] [CrossRef]
- Carrea, G.; D’Arrigo, P.; Piergianni, V.; Roncaglio, S.; Secundo, F.; Servi, S. Purification and properties of two phospholipases D from Streptomyces sp. Biochim. Biophys. Acta 1995, 1255, 273–279. [Google Scholar] [CrossRef]
- Simkhada, J.R.; Cho, S.S.; Hong, S.C.; Si, W.K.; Lee, H.C.; Sohng, J.K.; Jin, C.Y. A new thermolabile alkaline phospholipase D from Streptomyces sp. CS628. Biotechnol. Bioprocess 2010, 15, 595–602. [Google Scholar] [CrossRef]
- Nakazawa, Y.; Sato, H.; Uchino, M.; Takano, K. Purification, characterization and cloning of phospholipase D from peanut seeds. Protein J. 2006, 25, 212–223. [Google Scholar] [CrossRef]
- Yang, N.; Yue, X.L.; Chen, X.L.; Wu, G.F.; Zhang, T.G.; An, L.Z. Molecular cloning and partial characterization of a novel phospholipase D gene from Chorispora bungeana. Plant Cell Tiss. Org. 2012, 108, 201–212. [Google Scholar] [CrossRef]
- Yang, H.Y.; Roberts, M.F. Expression and characterization of a heterodimer of Streptomyces chromofuscus phospholipase D. Biochim. Biophys. Acta 2004, 1703, 43–51. [Google Scholar] [CrossRef] [PubMed]
- Zambonelli, C.; Morandi, P.; Vanoni, M.A.; Tedeschi, G.; Servic, S.; Curti, B. Cloning and expression in Escherichia coli of the gene encoding Streptomyces PMF PLD, a phospholipase D with high transphosphatidylation activity. Enzym. Microb. Technol. 2003, 33, 676–688. [Google Scholar] [CrossRef]
- Ogino, C.; Kanemasu, M.; Hayashi, Y.; Kondo, A.; Shimizu, N.; Tokuyama, S.; Tahara, Y.; Kuroda, S.; Tanizawa, K.; Fukuda, H. Over-expression system for secretory phospholipase D by Streptomyces lividans. J. Biotechnol. 2004, 64, 823–828. [Google Scholar] [CrossRef] [PubMed]
- Simkhada, J.R.; Lee, H.J.; Jang, S.Y.; Kim, J.H.; Lee, H.C.; Sohng, J.K.; Yoo, J.C. A novel low molecular weight phospholipase D from Streptomyces sp. CS684. Bioresour. Technol. 2009, 99, 1388–1393. [Google Scholar] [CrossRef]
- Hosokawa, M.; Shimatani, T.; Kanada, T.; Inoue, Y.; Takahashi, K. Conversion to docosahexaenoic acid-containing phosphatidylserine from squid skin lecithin by phospholipase D-mediated transphosphatidylation. J. Agric. Food Chem. 2000, 48, 4550–4554. [Google Scholar] [CrossRef]
- Song, S.; Cheong, L.Z.; Guo, Z.; Kristensen, K.; Glasius, M.; Jensen, H.M.; Bertelsen, K.; Tan, T.; Xu, X. Phospholipase D (PLD) catalyzed synthesis of phosphatidyl-glucose in biphasic reaction system. Food Chem. 2012, 135, 373–379. [Google Scholar] [CrossRef] [PubMed]
- Vance, J.E. Phosphatidylserine and phosphatidylethanolamine in mammalian cells: Two metabolically related aminophospholipids. J. Lipid Res. 2008, 49, 1377–1387. [Google Scholar] [CrossRef]
- D’Arrigo, P.; Cerioli, L.; Chiappe, C.; Panzeri, W.; Tessaro, D.; Mele, A. Improvements in the enzymatic synthesis of phosphatidylserine employing ionic liquids. J. Mol. Catal. B Enzym. 2012, 84, 132–135. [Google Scholar] [CrossRef]
- Jesionowski, T.; Zdarta, J.; Krajewska, B. Enzyme immobilization by adsorption: A review. Adsorption 2014, 20, 801–821. [Google Scholar] [CrossRef]
- Urszula, G.; Katarzyna, H.-K.; Danuta, W. Immobilization as a strategy for improving enzyme properties-application to oxidoreductases. Molecules 2014, 19, 8995–9018. [Google Scholar]
- Wang, W.; Guo, N.; Huang, W.; Zhang, Z.; Mao, X. Immobilization of chitosanases onto magnetic nanoparticles to enhance enzyme performance. Catalysts 2018, 8, 401. [Google Scholar] [CrossRef]
- Juneja, L.R.; Hibi, N.; Yamane, T.; Shimizu, S. Repeated batch and continuous operations for phosphatidylglycerol synthesis from phosphatidylcholine with immobilized phospholipase D. Appl. Microbiol. Biotechnol. 1987, 27, 146–151. [Google Scholar] [CrossRef]
- Lambrecht, R.; Ulbrich-Hofmann, R. The adsorptive immobilization of phospholipids D mediated by calcium ions. Biotechnol. Bioeng. 1993, 41, 833–836. [Google Scholar] [CrossRef]
- Yon, J.O.; Ji, S.L.; Bo, G.K.; Sang, D.K.; Nam, D.H. Immobilization of Streptomyces phospholipase D on a Dowex macroporous resin. Biotechnol. Bioprocess 2008, 13, 102–107. [Google Scholar] [CrossRef]
- Wang, X.G.; Qui, A.Y.; Tao, W.Y.; Shen, P.Y. Synthesis of phosphatidylglycerol from soybean lecithin with immobilized phospholipase D. J. Am. Oil Chem. Soc. 1997, 74, 87–91. [Google Scholar] [CrossRef]
- Dittrich, N.; Ulbrich-Hofmann, R. Transphosphatidylation by immobilized phospholipase D in aqueous media. Biotechnol. Appl. Biochem. 2001, 34, 189–194. [Google Scholar] [CrossRef]
- Younus, H.; Rajcani, J.; Ulbrich-Hofmann, R.; Saleemuddin, M. Behaviour of a recombinant cabbage (Brassica oleracea) phospholipase D immobilized on CNBr-activated and antibody supports. Biotechnol. Appl. Biochem. 2004, 40, 95–99. [Google Scholar] [PubMed]
- Xu, J.; Sun, J.; Wang, Y.; Sheng, J.; Wang, F.; Sun, M. Application of iron magnetic nanoparticles in protein immobilization. Molecules 2014, 19, 11465–11486. [Google Scholar] [CrossRef]
- Liao, M.H.; Chen, D.H. Immobilization of yeast alcohol dehydrogenase on magnetic nanoparticles for improving its stability. Biotechnol. Lett. 2001, 23, 1723–1727. [Google Scholar] [CrossRef]
- Johnson, A.K.; Zawadzka, A.M.; Deobald, L.A.; Crawford, R.L.; Paszczynski, A.J. Novel method for immobilization of enzymes to magnetic nanoparticles. J. Nanopart. Res. 2008, 10, 1009–1025. [Google Scholar] [CrossRef]
- Wang, T.H.; Lee, W.C. Immobilization of proteins on magnetic nanoparticles. Biotechnol. Bioprocess 2003, 8, 263–267. [Google Scholar] [CrossRef]
- Li, D.; Teoh, W.Y.; Gooding, J.J.; Selomulya, C.; Amal, R. Functionalization Strategies for Protease Immobilization on Magnetic Nanoparticles. Adv. Funct. Mater. 2010, 20, 1767–1777. [Google Scholar] [CrossRef]
- Ranjbakhsh, E.; Bordbar, A.K.; Abbasi, M.; Khosropour, A.R.; Shams, E. Enhancement of stability and catalytic activity of immobilized lipase on silica-coated modified magnetite nanoparticles. Chem. Eng. J. 2012, 179, 272–276. [Google Scholar] [CrossRef]
- Cui, J.; Cui, L.; Jia, S.; Su, Z.; Zhang, S. Hybrid cross-linked lipase aggregates with magnetic nanoparticles: A robust and recyclable biocatalysis for epoxidation of oleic acid. J. Agric. Food Chem. 2016, 64, 7179–7187. [Google Scholar] [CrossRef] [PubMed]
- Gao, J.; Kong, W.; Zhou, L.; He, Y.; Ma, L.; Wang, Y.; Yin, L.; Jiang, Y. Monodisperse core-shell magnetic organosilica nanoflowers with radial wrinkle for lipase immobilization. Chem. Eng. J. 2017, 309, 70–79. [Google Scholar] [CrossRef]
- Huang, J.; Zhao, R.; Wang, H.; Zhao, W.; Ding, L. Immobilization of glucose oxidase on Fe3O4/SiO2 magnetic nanoparticles. Biotechnol. Lett. 2010, 32, 817–821. [Google Scholar] [CrossRef] [PubMed]
- Zdarta, J.; Meyer, A.S.; Jesionowski, T.; Pinelo, M. Developments in support materials for immobilization of oxidoreductases: A comprehensive review. Adv. Colloid Interface 2018, 258, 1–20. [Google Scholar] [CrossRef] [PubMed]
- Yu, D.; Ma, Y.; Xue, S.J.; Jiang, L.; Shi, J. Characterization of immobilized phospholipase A1 on magnetic nanoparticles for oil degumming application. LWT Food Sci. Technol. 2013, 50, 519–525. [Google Scholar] [CrossRef]
- Qu, Y.; Sun, L.; Li, X.; Zhou, S.; Zhang, Q.; Sun, L.; Yu, D.; Jiang, L.; Tian, B. Enzymatic degumming of soybean oil with magnetic immobilized phospholipase A2. LWT Food Sci. Technol. 2016, 73, 290–295. [Google Scholar] [CrossRef]
- Mao, X.Z.; Liu, Q.Q.; Qiu, Y.Q.; Fan, X.Q.; Han, Q.Q.; Liu, Y.J.; Zhang, L.J.; Xue, C.H. Identification of a novel phospholipase D with high transphosphatidylation activity and its application in synthesis of phosphatidylserine and DHA-phosphatidylserine. J. Biotechnol. 2017, 249, 51–58. [Google Scholar] [CrossRef] [PubMed]
- Li, B.L.; Wang, J.; Zhang, X.L.; Zhao, B.X. An enzyme net coating the surface of nanoparticles: A simple and efficient method for the immobilization of phospholipase D. Ind. Eng. Chem. Res. 2016, 55, 10555–10565. [Google Scholar] [CrossRef]
- Imamura, S.; Horiuti, Y. Enzymatic determination of phospholipase D activity with choline oxidase. J. Biochem. 1978, 83, 677–680. [Google Scholar] [CrossRef] [PubMed]








© 2019 by the authors. Licensee MDPI, Basel, Switzerland. This article is an open access article distributed under the terms and conditions of the Creative Commons Attribution (CC BY) license (http://creativecommons.org/licenses/by/4.0/).
Share and Cite
Han, Q.; Zhang, H.; Sun, J.; Liu, Z.; Huang, W.-c.; Xue, C.; Mao, X. Immobilization of Phospholipase D on Silica-Coated Magnetic Nanoparticles for the Synthesis of Functional Phosphatidylserine. Catalysts 2019, 9, 361. https://doi.org/10.3390/catal9040361
Han Q, Zhang H, Sun J, Liu Z, Huang W-c, Xue C, Mao X. Immobilization of Phospholipase D on Silica-Coated Magnetic Nanoparticles for the Synthesis of Functional Phosphatidylserine. Catalysts. 2019; 9(4):361. https://doi.org/10.3390/catal9040361
Chicago/Turabian StyleHan, Qingqing, Haiyang Zhang, Jianan Sun, Zhen Liu, Wen-can Huang, Changhu Xue, and Xiangzhao Mao. 2019. "Immobilization of Phospholipase D on Silica-Coated Magnetic Nanoparticles for the Synthesis of Functional Phosphatidylserine" Catalysts 9, no. 4: 361. https://doi.org/10.3390/catal9040361
APA StyleHan, Q., Zhang, H., Sun, J., Liu, Z., Huang, W.-c., Xue, C., & Mao, X. (2019). Immobilization of Phospholipase D on Silica-Coated Magnetic Nanoparticles for the Synthesis of Functional Phosphatidylserine. Catalysts, 9(4), 361. https://doi.org/10.3390/catal9040361

